Magna Concursos

Foram encontradas 1.025 questões.

3595130 Ano: 2025
Disciplina: Matemática
Banca: SELECON
Orgão: Pref. Sinop-MT
A base plana de uma escultura de madeira tem a forma de um triângulo retângulo cuja hipotenusa mede 15 dm. Se a medida do menor cateto desse triângulo é 9 dm, a medida do maior cateto, em dm, é:
 

Provas

Questão presente nas seguintes provas
3595129 Ano: 2025
Disciplina: Matemática
Banca: SELECON
Orgão: Pref. Sinop-MT
Um trabalhador escolheu como senha de sua conta bancária o maior múltiplo de 5 com 4 algarismos diferentes. A soma desses 4 algarismos é igual a:
 

Provas

Questão presente nas seguintes provas
3595128 Ano: 2025
Disciplina: Matemática
Banca: SELECON
Orgão: Pref. Sinop-MT
Um grande grupo varejista da internet adquiriu um produto por 2.600 reais e o revendeu com 32% de lucro sobre esse valor. O preço de venda desse produto, em reais, foi igual a:
 

Provas

Questão presente nas seguintes provas
3595127 Ano: 2025
Disciplina: Estatística
Banca: SELECON
Orgão: Pref. Sinop-MT

A seguir temos a arrecadação mensal, em reais, de uma pequena empresa no primeiro semestre de um determinado ano:

Janeiro: R$ 8.500

Fevereiro: R$ 6.400

Março: R$ 10.200

Abril: R$ 9.000

Maio: R$ 4.800

Junho: R$ 6.100

A arrecadação média dessa empresa, em reais, nesse semestre correspondeu a:

 

Provas

Questão presente nas seguintes provas
3595126 Ano: 2025
Disciplina: Matemática
Banca: SELECON
Orgão: Pref. Sinop-MT

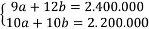
Uma concessionária de automóveis, em 2024, vendeu 9 carros do modelo A e 12 carros do modelo B, arrecadando um total de dois milhões e quatrocentos mil reais. Com isso, superou suas vendas em 2023, ano em que vendeu 10 carros do modelo A e 10 carros do modelo B, cujo total arrecadado foi de dois milhões e duzentos mil reais. Sabendo que os valores desses dois modelos de automóveis não sofreram alterações nesses dois anos e assumindo que as incógnitas “a” e “b” representam o preço, em reais, dos modelos de carro A e B respectivamente, o Sistema de equações que nos fornece os valores corretos das incógnitas “a” e “b” é:

 

Provas

Questão presente nas seguintes provas
3595125 Ano: 2025
Disciplina: Matemática
Banca: SELECON
Orgão: Pref. Sinop-MT
Para fazer farinha de rosca, basta torrar uma certa quantidade de pães num forno comum com temperatura constante de 180°C por 10 minutos. Se a temperatura constante do forno fosse de 240°C, o tempo que seria necessário, em minutos, para torrar a mesma quantidade de pães seria igual a:
 

Provas

Questão presente nas seguintes provas
3595124 Ano: 2025
Disciplina: Matemática
Banca: SELECON
Orgão: Pref. Sinop-MT
Segundo o IBGE, em 2023, o PIB do Brasil foi de R$ 10,9 trilhões. Esse valor pode ser representado, em reais, por:
 

Provas

Questão presente nas seguintes provas
3595123 Ano: 2025
Disciplina: Matemática
Banca: SELECON
Orgão: Pref. Sinop-MT
Em uma determinada cidade, a partir de 6 de janeiro, a passagem de ônibus aumentou de R$ 4,40 para R$ 5,00. Considere uma pessoa que trabalha 24 dias em um mesmo mês e paga duas dessas passagens para ir e duas para voltar do trabalho. Essa pessoa pagará a mais, mensalmente, em reais, um total de:
 

Provas

Questão presente nas seguintes provas
3595122 Ano: 2025
Disciplina: Português
Banca: SELECON
Orgão: Pref. Sinop-MT
A única frase em que o acento grave, indicador de crase, está adequadamente empregado é:
 

Provas

Questão presente nas seguintes provas
3595121 Ano: 2025
Disciplina: Português
Banca: SELECON
Orgão: Pref. Sinop-MT
A palavra ASSOMBRO é:
 

Provas

Questão presente nas seguintes provas