Foram encontradas 405 questões.
Considere o número de três algarismos 8A1 onde A só assume algarismos ímpares.
Então, a probabilidade do número 8A1, ao ser dividido por 3, resultar em um número inteiro é de:
Provas
Questão presente nas seguintes provas
Considerando 3 pontos no plano dados por (2,1)(−1,5) e (0, a), é possível afirmar que
os valores que o número real positivo a pode assumir para que esses 3 pontos sejam colineares são:
Provas
Questão presente nas seguintes provas
Uma ampulheta é composta por duas pirâmides quadrangulares regulares idênticas
e uma invertida em relação a outra, conforme a figura abaixo:

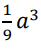
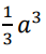
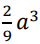
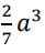
Se a quantidade volumétrica de areia que vai dentro da ampulheta é de 1/3 do seu volume total, então pode-se dizer que o volume de areia é de:

Se a quantidade volumétrica de areia que vai dentro da ampulheta é de 1/3 do seu volume total, então pode-se dizer que o volume de areia é de:
Provas
Questão presente nas seguintes provas
Uma quadra de basquete de formato retangular tem medidas não oficiais de 13 m de
largura e 24 m de comprimento. Sabendo que ambas as medidas representam 85% da medida oficial,
é correto afirmar que a área dessa quadra não oficial representa aproximadamente:
Provas
Questão presente nas seguintes provas
Analise as afirmações abaixo, em que x e y são reais positivos:

As afirmações sempre verdadeiras são:
Provas
Questão presente nas seguintes provas
3335119
Ano: 2022
Disciplina: Artes Visuais
Banca: FUNDATEC
Orgão: Pref. São Martinho Serra-RS
Disciplina: Artes Visuais
Banca: FUNDATEC
Orgão: Pref. São Martinho Serra-RS
Provas:
Ao desenvolver o seu próprio processo de criação, a partir de uma obra de arte ou
temática, o aluno vivencia e concretiza sua própria experiência em arte. Essa experiência do fazer,
aliada à apreciação e à história da arte, possibilita uma experiência com início, meio e fim,
proporcionando a reelaboração e transformação do sujeito. Ao proporcionar essas possibilidades na
sala de aula, estamos desenvolvendo a percepção dos alunos através da:
Provas
Questão presente nas seguintes provas
3335118
Ano: 2022
Disciplina: Artes Visuais
Banca: FUNDATEC
Orgão: Pref. São Martinho Serra-RS
Disciplina: Artes Visuais
Banca: FUNDATEC
Orgão: Pref. São Martinho Serra-RS
Provas:
Os dois elementos da linguagem visual que se encontram mais frequentemente
implícitos do que explícitos no modo visual e que necessitam, muitas vezes, do mecanismo da ilusão
para que apareçam nas manifestações visuais estáticas são:
Provas
Questão presente nas seguintes provas
3335117
Ano: 2022
Disciplina: Educação Artística
Banca: FUNDATEC
Orgão: Pref. São Martinho Serra-RS
Disciplina: Educação Artística
Banca: FUNDATEC
Orgão: Pref. São Martinho Serra-RS
Provas:
O estudo da história da arte e a educação estética passaram a fazer parte do
currículo escolar brasileiro a partir dos anos 1990. Até então, o maior foco de ensino era na
aprendizagem mais técnica da arte, visando à preparação do aluno para o trabalho. Na história do
ensino das artes no Brasil, antes dos anos 1990, o ensino da história da arte só teve espaço nas
salas de aula na:
Provas
Questão presente nas seguintes provas
3335116
Ano: 2022
Disciplina: Educação Artística
Banca: FUNDATEC
Orgão: Pref. São Martinho Serra-RS
Disciplina: Educação Artística
Banca: FUNDATEC
Orgão: Pref. São Martinho Serra-RS
Provas:
A representação propriamente dita do espaço no desenho da criança só começa
quando:
Provas
Questão presente nas seguintes provas
3335115
Ano: 2022
Disciplina: Artes Visuais
Banca: FUNDATEC
Orgão: Pref. São Martinho Serra-RS
Disciplina: Artes Visuais
Banca: FUNDATEC
Orgão: Pref. São Martinho Serra-RS
Provas:
Os estilos pictóricos da “Action Painting” (Pintura de Ação) e da “Color Field
Painting” (Pintura do Campo de Cor) são característicos dos artistas do movimento da década de
1940, conhecido como:
Provas
Questão presente nas seguintes provas
Cadernos
Caderno Container