Foram encontradas 230 questões.
Disciplina: Inglês (Língua Inglesa)
Banca: FUNDATEC
Orgão: Pref. São Leopoldo-RS
Instructions: Question are based on the following text.


Source: http://languagemagazine.com/?page_id=124967
Provas
Disciplina: Inglês (Língua Inglesa)
Banca: FUNDATEC
Orgão: Pref. São Leopoldo-RS
Instructions: Question are based on the following text.


Source: http://languagemagazine.com/?page_id=124967
Provas
Disciplina: Inglês (Língua Inglesa)
Banca: FUNDATEC
Orgão: Pref. São Leopoldo-RS
- Voz Ativa e Passiva | Passive and Active Voice
- Gramática - Língua InglesaVerbos | VerbsPresente perfeito | Present perfect
- Gramática - Língua InglesaVerbos | VerbsPresente simples | Simple present
- Gramática - Língua InglesaVerbos | VerbsPassado simples | Simple past
- Gramática - Língua InglesaVerbos | VerbsPassado perfeito | Past perfect
Instructions: Question are based on the following text.


Source: http://languagemagazine.com/?page_id=124967
Provas
Disciplina: Inglês (Língua Inglesa)
Banca: FUNDATEC
Orgão: Pref. São Leopoldo-RS
Instructions: Question are based on the following text.


Source: http://languagemagazine.com/?page_id=124967
Provas
Disciplina: Inglês (Língua Inglesa)
Banca: FUNDATEC
Orgão: Pref. São Leopoldo-RS
- Sinônimos | Synonyms
- Gramática - Língua InglesaAdjetivos | Adjectives
- Gramática - Língua InglesaVerbos | Verbs
- Gramática - Língua InglesaSubstantivos e compostos | Nouns and compounds
Instructions: Question are based on the following text.


Source: http://languagemagazine.com/?page_id=124967
Provas
Disciplina: Inglês (Língua Inglesa)
Banca: FUNDATEC
Orgão: Pref. São Leopoldo-RS
Instructions: Question are based on the following text.


Source: http://languagemagazine.com/?page_id=124967
Provas
Disciplina: Inglês (Língua Inglesa)
Banca: FUNDATEC
Orgão: Pref. São Leopoldo-RS
Instructions: Question are based on the following text.


Source: http://languagemagazine.com/?page_id=124967
I. The understandings of literacy are different than they used to be. II. Young children are used to technology and this knowledge has an impact on the learning process. III. Half of kindergarten children use the internet regularly to interact with family and friends.
Which ones are correct?
Provas
Considerando a Figura 1 abaixo, deduzimos que a medida da diagonal do quadrilátero CBEF é:

Provas
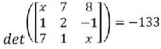
Os valores de x ∈
que
satisfazem a equação:
são:
Provas
Provas
Caderno Container