Magna Concursos

Foram encontradas 50 questões.

846028 Ano: 2019
Disciplina: Matemática
Banca: VUNESP
Orgão: Pref. São José Campos-SP
Provas:

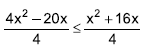
Ao resolver a inequação enunciado 846028-1 apresentou os seguintes passos:

Passo 1) 4x2 – 20x ≤ x2 + 16x

Passo 2) x · (4x – 20) ≤ x · (x + 16)

Passo 3) 4x – 20 ≤ x + 16

Passo 4) 3x ≤ 36

Resposta: x ≤ 12

Avaliando-se o procedimento apresentado pelo aluno, é correto afirmar que existe erro na passagem do

 

Provas

Questão presente nas seguintes provas
846027 Ano: 2019
Disciplina: Matemática
Banca: VUNESP
Orgão: Pref. São José Campos-SP
Provas:
Avalie os procedimentos utilizados por 2 alunos, na simplificação da seguinte expressão algébrica:
enunciado 846027-1

É correto afirmar que
 

Provas

Questão presente nas seguintes provas
846026 Ano: 2019
Disciplina: Matemática
Banca: VUNESP
Orgão: Pref. São José Campos-SP
Provas:

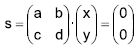
Considere o sistema linear S, representado da seguinte forma matricial:

enunciado 846026-1

O sistema linear S é:
 

Provas

Questão presente nas seguintes provas
846025 Ano: 2019
Disciplina: Estatística
Banca: VUNESP
Orgão: Pref. São José Campos-SP
Provas:
O gráfico apresenta as razões das peças que foram aprovadas e das peças que foram reprovadas pelo controle de qualidade, em relação ao número de peças produzidas nos meses de agosto e de setembro.
enunciado 846025-1

Com base nas informações apresentadas, assinale a alternativa que contém uma informação necessariamente verdadeira.
 

Provas

Questão presente nas seguintes provas
846024 Ano: 2019
Disciplina: Matemática
Banca: VUNESP
Orgão: Pref. São José Campos-SP
Provas:
A tabela apresenta o número de acertos em 20 provas, cada uma delas contendo 5 questões de múltipla escolha.
enunciado 846024-1

Escolhendo-se, aleatoriamente, uma dessas provas, a probabilidade de a prova escolhida ter uma quantidade de 3 ou mais acertos é de:
 

Provas

Questão presente nas seguintes provas

Faz alguns anos que um grupo de amigos se reúne comigo para ler poesia. Numa dessas reuniões nos deparamos com esta afirmação de Gandhi: “Eu nunca acreditei que a sobrevivência fosse um valor último. A vida, para ser bela, deve estar cercada de vontade, de bondade e de liberdade. Essas são coisas pelas quais vale a pena morrer”. Essas palavras provocaram um silêncio meditativo, até que um dos membros do grupo, que se chama Canoeiros, sugeriu que fizéssemos um exercício espiritual. Um joguinho de “faz de conta”. “Vamos fazer de conta que sabemos que temos apenas um ano a mais de vida. Como é que viveremos sabendo que o tempo é curto?”

A consciência da morte nos dá uma maravilhosa lucidez. D. Juan, o bruxo do livro de Carlos Castañeda, Viagem a Ixtlan, advertia seu discípulo: “Essa bem pode ser a sua última batalha sobre a terra”. Sim, bem pode ser. Somente os tolos pensam de outra forma. E se ela pode ser a última batalha, que seja uma batalha que valha a pena. E, com isso, nos libertamos de uma infinidade de coisas ptolas e mesquinhas que permitimos se aninhem em nossos pensamentos e coração. Resta então a pergunta: “O que é o essencial?”. Um conhecido meu, ao saber que tinha um câncer no cérebro e que lhe restavam não mais que seis meses de vida, começou uma vida nova. As etiquetas sociais não mais faziam sentido. Passou a receber somente as pessoas que desejava receber, os amigos, com quem podia compartilhar seus sentimentos. Eliot se refere a um tempo em que ficamos livres da compulsão prática – fazer, fazer, fazer. Não havia mais nada a fazer. Era hora de se entregar inteiramente ao deleite da vida: ver os cenários que ele amava, ouvir as músicas que lhe davam prazer, ler os textos antigos que o haviam alimentado.

O fato é que, sem que o saibamos, todos nós estamos enfermos de morte e é preciso viver a vida com sabedoria para que ela, a vida, não seja estragada pela loucura que nos cerca.

(Rubem Alves. Variações sobre o prazer: Santo Agostinho, Nietzsche, Marx e Babette. São Paulo, Editora Planeta do Brasil, 2011. Adaptado)

Apresentam sentidos opostos na construção da argumentação as seguintes expressões do 2° parágrafo:
 

Provas

Questão presente nas seguintes provas

Faz alguns anos que um grupo de amigos se reúne comigo para ler poesia. Numa dessas reuniões nos deparamos com esta afirmação de Gandhi: “Eu nunca acreditei que a sobrevivência fosse um valor último. A vida, para ser bela, deve estar cercada de vontade, de bondade e de liberdade. Essas são coisas pelas quais vale a pena morrer”. Essas palavras provocaram um silêncio meditativo, até que um dos membros do grupo, que se chama Canoeiros, sugeriu que fizéssemos um exercício espiritual. Um joguinho de “faz de conta”. “Vamos fazer de conta que sabemos que temos apenas um ano a mais de vida. Como é que viveremos sabendo que o tempo é curto?”

A consciência da morte nos dá uma maravilhosa lucidez. D. Juan, o bruxo do livro de Carlos Castañeda, Viagem a Ixtlan, advertia seu discípulo: “Essa bem pode ser a sua última batalha sobre a terra”. Sim, bem pode ser. Somente os tolos pensam de outra forma. E se ela pode ser a última batalha, que seja uma batalha que valha a pena. E, com isso, nos libertamos de uma infinidade de coisas ptolas e mesquinhas que permitimos se aninhem em nossos pensamentos e coração. Resta então a pergunta: “O que é o essencial?”. Um conhecido meu, ao saber que tinha um câncer no cérebro e que lhe restavam não mais que seis meses de vida, começou uma vida nova. As etiquetas sociais não mais faziam sentido. Passou a receber somente as pessoas que desejava receber, os amigos, com quem podia compartilhar seus sentimentos. Eliot se refere a um tempo em que ficamos livres da compulsão prática – fazer, fazer, fazer. Não havia mais nada a fazer. Era hora de se entregar inteiramente ao deleite da vida: ver os cenários que ele amava, ouvir as músicas que lhe davam prazer, ler os textos antigos que o haviam alimentado.

O fato é que, sem que o saibamos, todos nós estamos enfermos de morte e é preciso viver a vida com sabedoria para que ela, a vida, não seja estragada pela loucura que nos cerca.

(Rubem Alves. Variações sobre o prazer: Santo Agostinho, Nietzsche, Marx e Babette. São Paulo, Editora Planeta do Brasil, 2011. Adaptado)

Uma afirmação condizente com o ponto de vista expresso no texto é:
 

Provas

Questão presente nas seguintes provas

Faz alguns anos que um grupo de amigos se reúne comigo para ler poesia. Numa dessas reuniões nos deparamos com esta afirmação de Gandhi: “Eu nunca acreditei que a sobrevivência fosse um valor último. A vida, para ser bela, deve estar cercada de vontade, de bondade e de liberdade. Essas são coisas pelas quais vale a pena morrer”. Essas palavras provocaram um silêncio meditativo, até que um dos membros do grupo, que se chama Canoeiros, sugeriu que fizéssemos um exercício espiritual. Um joguinho de “faz de conta”. “Vamos fazer de conta que sabemos que temos apenas um ano a mais de vida. Como é que viveremos sabendo que o tempo é curto?”

A consciência da morte nos dá uma maravilhosa lucidez. D. Juan, o bruxo do livro de Carlos Castañeda, Viagem a Ixtlan, advertia seu discípulo: “Essa bem pode ser a sua última batalha sobre a terra”. Sim, bem pode ser. Somente os tolos pensam de outra forma. E se ela pode ser a última batalha, que seja uma batalha que valha a pena. E, com isso, nos libertamos de uma infinidade de coisas ptolas e mesquinhas que permitimos se aninhem em nossos pensamentos e coração. Resta então a pergunta: “O que é o essencial?”. Um conhecido meu, ao saber que tinha um câncer no cérebro e que lhe restavam não mais que seis meses de vida, começou uma vida nova. As etiquetas sociais não mais faziam sentido. Passou a receber somente as pessoas que desejava receber, os amigos, com quem podia compartilhar seus sentimentos. Eliot se refere a um tempo em que ficamos livres da compulsão prática – fazer, fazer, fazer. Não havia mais nada a fazer. Era hora de se entregar inteiramente ao deleite da vida: ver os cenários que ele amava, ouvir as músicas que lhe davam prazer, ler os textos antigos que o haviam alimentado.

O fato é que, sem que o saibamos, todos nós estamos enfermos de morte e é preciso viver a vida com sabedoria para que ela, a vida, não seja estragada pela loucura que nos cerca.

(Rubem Alves. Variações sobre o prazer: Santo Agostinho, Nietzsche, Marx e Babette. São Paulo, Editora Planeta do Brasil, 2011. Adaptado)

No trecho “ver os cenários que ele amava, ouvir as músicas que lhe davam prazer, ler os textos antigos que o haviam alimentado”, o termo “que” tem função pronominal, por remeter a expressões nominais, assim como ocorre em:
 

Provas

Questão presente nas seguintes provas

Faz alguns anos que um grupo de amigos se reúne comigo para ler poesia. Numa dessas reuniões nos deparamos com esta afirmação de Gandhi: “Eu nunca acreditei que a sobrevivência fosse um valor último. A vida, para ser bela, deve estar cercada de vontade, de bondade e de liberdade. Essas são coisas pelas quais vale a pena morrer”. Essas palavras provocaram um silêncio meditativo, até que um dos membros do grupo, que se chama Canoeiros, sugeriu que fizéssemos um exercício espiritual. Um joguinho de “faz de conta”. “Vamos fazer de conta que sabemos que temos apenas um ano a mais de vida. Como é que viveremos sabendo que o tempo é curto?”

A consciência da morte nos dá uma maravilhosa lucidez. D. Juan, o bruxo do livro de Carlos Castañeda, Viagem a Ixtlan, advertia seu discípulo: “Essa bem pode ser a sua última batalha sobre a terra”. Sim, bem pode ser. Somente os tolos pensam de outra forma. E se ela pode ser a última batalha, que seja uma batalha que valha a pena. E, com isso, nos libertamos de uma infinidade de coisas ptolas e mesquinhas que permitimos se aninhem em nossos pensamentos e coração. Resta então a pergunta: “O que é o essencial?”. Um conhecido meu, ao saber que tinha um câncer no cérebro e que lhe restavam não mais que seis meses de vida, começou uma vida nova. As etiquetas sociais não mais faziam sentido. Passou a receber somente as pessoas que desejava receber, os amigos, com quem podia compartilhar seus sentimentos. Eliot se refere a um tempo em que ficamos livres da compulsão prática – fazer, fazer, fazer. Não havia mais nada a fazer. Era hora de se entregar inteiramente ao deleite da vida: ver os cenários que ele amava, ouvir as músicas que lhe davam prazer, ler os textos antigos que o haviam alimentado.

O fato é que, sem que o saibamos, todos nós estamos enfermos de morte e é preciso viver a vida com sabedoria para que ela, a vida, não seja estragada pela loucura que nos cerca.

(Rubem Alves. Variações sobre o prazer: Santo Agostinho, Nietzsche, Marx e Babette. São Paulo, Editora Planeta do Brasil, 2011. Adaptado)

Acerca da linguagem empregada no texto, é correto afirmar:
 

Provas

Questão presente nas seguintes provas

Faz alguns anos que um grupo de amigos se reúne comigo para ler poesia. Numa dessas reuniões nos deparamos com esta afirmação de Gandhi: “Eu nunca acreditei que a sobrevivência fosse um valor último. A vida, para ser bela, deve estar cercada de vontade, de bondade e de liberdade. Essas são coisas pelas quais vale a pena morrer”. Essas palavras provocaram um silêncio meditativo, até que um dos membros do grupo, que se chama Canoeiros, sugeriu que fizéssemos um exercício espiritual. Um joguinho de “faz de conta”. “Vamos fazer de conta que sabemos que temos apenas um ano a mais de vida. Como é que viveremos sabendo que o tempo é curto?”

A consciência da morte nos dá uma maravilhosa lucidez. D. Juan, o bruxo do livro de Carlos Castañeda, Viagem a Ixtlan, advertia seu discípulo: “Essa bem pode ser a sua última batalha sobre a terra”. Sim, bem pode ser. Somente os tolos pensam de outra forma. E se ela pode ser a última batalha, que seja uma batalha que valha a pena. E, com isso, nos libertamos de uma infinidade de coisas ptolas e mesquinhas que permitimos se aninhem em nossos pensamentos e coração. Resta então a pergunta: “O que é o essencial?”. Um conhecido meu, ao saber que tinha um câncer no cérebro e que lhe restavam não mais que seis meses de vida, começou uma vida nova. As etiquetas sociais não mais faziam sentido. Passou a receber somente as pessoas que desejava receber, os amigos, com quem podia compartilhar seus sentimentos. Eliot se refere a um tempo em que ficamos livres da compulsão prática – fazer, fazer, fazer. Não havia mais nada a fazer. Era hora de se entregar inteiramente ao deleite da vida: ver os cenários que ele amava, ouvir as músicas que lhe davam prazer, ler os textos antigos que o haviam alimentado.

O fato é que, sem que o saibamos, todos nós estamos enfermos de morte e é preciso viver a vida com sabedoria para que ela, a vida, não seja estragada pela loucura que nos cerca.

(Rubem Alves. Variações sobre o prazer: Santo Agostinho, Nietzsche, Marx e Babette. São Paulo, Editora Planeta do Brasil, 2011. Adaptado)

No que se refere à concordância da norma-padrão da língua, um trecho do texto está corretamente reescrito em:
 

Provas

Questão presente nas seguintes provas