Foram encontradas 545 questões.
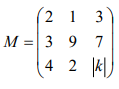
Observe a matriz quadrada M abaixo:

Para que M possua inversa devemos ter:
Provas
Questão presente nas seguintes provas
Um terreno à venda tem forma de triângulo
retângulo com maior lado igual a 17 metros, e
perímetro de 40 metros. O metro quadrado desse
terreno custa R$1.500,00. Logo, o preço desse
terreno é:
Provas
Questão presente nas seguintes provas
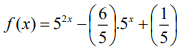
Observe a função exponencial abaixo, cujas raízes são α e β (com α < β):

O valor de βα é:
Provas
Questão presente nas seguintes provas
São dados os pontos
A(2,4),B(−1,−5)
e
C(3,k)
. Para que esses pontos sejam vértices de um
triângulo devemos ter:
Provas
Questão presente nas seguintes provas
3853089
Ano: 2025
Disciplina: Matemática Financeira
Banca: EDUCA
Orgão: Pref. Santa Cecília-PB
Disciplina: Matemática Financeira
Banca: EDUCA
Orgão: Pref. Santa Cecília-PB
Provas:
Um capital C é aplicado no regime de juros
simples a uma taxa mensal de 5%. Em quanto
tempo essa aplicação irá gerar um montante de três
vezes o capital inicial aplicado?
Provas
Questão presente nas seguintes provas
Numa empresa de programação 40% de um
determinado trabalho é realizado por 6
computadores ligados 6 horas por dia durante 8
dias. Adicionando mais 2 computadores aos
demais, e todos eles ficando ligados 8 horas por
dia, em quanto tempo esse trabalho será
finalizado?
Provas
Questão presente nas seguintes provas
Sendo A e B dois números naturais tais que A2 − B2 = 17, então o valor de A2 + B2 é igual a:
Provas
Questão presente nas seguintes provas
3853086
Ano: 2025
Disciplina: Inglês (Língua Inglesa)
Banca: EDUCA
Orgão: Pref. Santa Cecília-PB
Disciplina: Inglês (Língua Inglesa)
Banca: EDUCA
Orgão: Pref. Santa Cecília-PB
Provas:
TEXT 2
ACTIVE LEARNING METHODOLOGIES IN
ENGLISH CLASSES: INTERACTION IN A
VIRTUAL ENVIRONMENT
The coronavirus pandemic has intensified the creative
use of technological resources that significantly
promote dynamic communication among learners.
This study investigated the contribution of active
methodologies in remote English language classes for
the interaction between basic level learners. Based on
this goal, we analyzed the resources that promote the
linguistic development of students through
interaction in virtual environments, based on studies
on active methodologies on learning, interaction and
teaching of foreign languages and sociocultural
theory. Data were generated from an online
questionnaire applied to students' interactions in the
Google Classroom environment, and the field
observation journal of synchronous interactions in
Google Meet and were analyzed in the light of
grounded theory. By contrasting the instruments, we
obtained three global categories that emerged from
the comparison and contrast between them:
flexibility, autonomy, and interaction. The categories
showed that creative tasks developed through active
methodologies, such as video production,
autonomous activities such as prior access to video
classes and flexible tasks such as the activities
available in the weekly forums, allowed learners to
identify possible errors regarding the use of the
language and collaborate with colleagues, solving
problems collaboratively and answering questions.
The results confirm the contributions of active
methodologies in the online environment.
KEYWORDS
active methodologies; remote learning; teaching
English; grounded theory; pandemic.
Content extracted and adapted from:
https://www.scielo.br/j/alfa/a/Hm848QBzd7khg59gmzSN5KD/?lang=en
“The categories showed that creative tasks developed through active methodologies, such as video production, autonomous activities such as prior access to video classes and flexible tasks such as the activities available in the weekly forums, allowed learners to identify possible errors regarding the use of the language and collaborate with colleagues, solving problems collaboratively and answering questions.”
Now choose the only alternative below that could correctly replace the underlined word preserving its original meaning and use in its original context.
Provas
Questão presente nas seguintes provas
3853085
Ano: 2025
Disciplina: Inglês (Língua Inglesa)
Banca: EDUCA
Orgão: Pref. Santa Cecília-PB
Disciplina: Inglês (Língua Inglesa)
Banca: EDUCA
Orgão: Pref. Santa Cecília-PB
Provas:
TEXT 2
ACTIVE LEARNING METHODOLOGIES IN
ENGLISH CLASSES: INTERACTION IN A
VIRTUAL ENVIRONMENT
The coronavirus pandemic has intensified the creative
use of technological resources that significantly
promote dynamic communication among learners.
This study investigated the contribution of active
methodologies in remote English language classes for
the interaction between basic level learners. Based on
this goal, we analyzed the resources that promote the
linguistic development of students through
interaction in virtual environments, based on studies
on active methodologies on learning, interaction and
teaching of foreign languages and sociocultural
theory. Data were generated from an online
questionnaire applied to students' interactions in the
Google Classroom environment, and the field
observation journal of synchronous interactions in
Google Meet and were analyzed in the light of
grounded theory. By contrasting the instruments, we
obtained three global categories that emerged from
the comparison and contrast between them:
flexibility, autonomy, and interaction. The categories
showed that creative tasks developed through active
methodologies, such as video production,
autonomous activities such as prior access to video
classes and flexible tasks such as the activities
available in the weekly forums, allowed learners to
identify possible errors regarding the use of the
language and collaborate with colleagues, solving
problems collaboratively and answering questions.
The results confirm the contributions of active
methodologies in the online environment.
KEYWORDS
active methodologies; remote learning; teaching
English; grounded theory; pandemic.
Content extracted and adapted from:
https://www.scielo.br/j/alfa/a/Hm848QBzd7khg59gmzSN5KD/?lang=en
Consider that some English words bear strong spelling and semantic similarities to some Brazilian Portuguese words because they share the same etymological root. These words are called "cognates". Based on this, select the only one alternative that correctly presents 5 examples of English cognate words found in Text 2:
Provas
Questão presente nas seguintes provas
3853084
Ano: 2025
Disciplina: Inglês (Língua Inglesa)
Banca: EDUCA
Orgão: Pref. Santa Cecília-PB
Disciplina: Inglês (Língua Inglesa)
Banca: EDUCA
Orgão: Pref. Santa Cecília-PB
Provas:
TEXT 2
ACTIVE LEARNING METHODOLOGIES IN
ENGLISH CLASSES: INTERACTION IN A
VIRTUAL ENVIRONMENT
The coronavirus pandemic has intensified the creative
use of technological resources that significantly
promote dynamic communication among learners.
This study investigated the contribution of active
methodologies in remote English language classes for
the interaction between basic level learners. Based on
this goal, we analyzed the resources that promote the
linguistic development of students through
interaction in virtual environments, based on studies
on active methodologies on learning, interaction and
teaching of foreign languages and sociocultural
theory. Data were generated from an online
questionnaire applied to students' interactions in the
Google Classroom environment, and the field
observation journal of synchronous interactions in
Google Meet and were analyzed in the light of
grounded theory. By contrasting the instruments, we
obtained three global categories that emerged from
the comparison and contrast between them:
flexibility, autonomy, and interaction. The categories
showed that creative tasks developed through active
methodologies, such as video production,
autonomous activities such as prior access to video
classes and flexible tasks such as the activities
available in the weekly forums, allowed learners to
identify possible errors regarding the use of the
language and collaborate with colleagues, solving
problems collaboratively and answering questions.
The results confirm the contributions of active
methodologies in the online environment.
KEYWORDS
active methodologies; remote learning; teaching
English; grounded theory; pandemic.
Content extracted and adapted from:
https://www.scielo.br/j/alfa/a/Hm848QBzd7khg59gmzSN5KD/?lang=en
Consider the sentence below:
"Active methodologies promote interaction", said the teacher.
Now, choose the alternative below that correctly restates it into reported speech:
Provas
Questão presente nas seguintes provas
Cadernos
Caderno Container