Foram encontradas 441 questões.
140457
Ano: 2010
Disciplina: Inglês (Língua Inglesa)
Banca: CESGRANRIO
Orgão: Pref. Salvador-BA
Disciplina: Inglês (Língua Inglesa)
Banca: CESGRANRIO
Orgão: Pref. Salvador-BA
Provas:




Provas
Questão presente nas seguintes provas
140456
Ano: 2010
Disciplina: Inglês (Língua Inglesa)
Banca: CESGRANRIO
Orgão: Pref. Salvador-BA
Disciplina: Inglês (Língua Inglesa)
Banca: CESGRANRIO
Orgão: Pref. Salvador-BA
Provas:




Provas
Questão presente nas seguintes provas
140455
Ano: 2010
Disciplina: Inglês (Língua Inglesa)
Banca: CESGRANRIO
Orgão: Pref. Salvador-BA
Disciplina: Inglês (Língua Inglesa)
Banca: CESGRANRIO
Orgão: Pref. Salvador-BA
Provas:
In questions 46 to 50 you will be analyzing a series of reading activities that an EFL (English as a Foreign Language) teacher has prepared for her students in the 8th grade (8o ano do Ensino Fundamental).
ACTIVITIES 3 and 4 (presented in Questions 48 and 49) are examples of highly appropriate assignments in EFL classes since they conform to several of the guidelines expressed in the PCNs (Parâmetros Curriculares Nacionais: terceiro e quarto ciclo do Ensino Fundamental – Língua Estrangeira) reproduced below. The only guideline that is NOT addressed by the proposals of Activity 3 and 4 is
Provas
Questão presente nas seguintes provas

Sólido de revolução é o sólido gerado pela revolução (rotação) de uma figura plana ao redor de um eixo de seu plano. O volume do sólido de revolução gerado a partir da rotação da figura acima, em torno do eixo que contém o seu maior lado, é
Provas
Questão presente nas seguintes provas
O triângulo DEF está circunscrito a uma circunferência, e os pontos de tangência (P, A e Z) estão dispostos da seguinte forma:
. Considerando as medidas EA = FZ = 5 cm e DZ = 3 cm, a área do triângulo DEF é dada por
. Considerando as medidas EA = FZ = 5 cm e DZ = 3 cm, a área do triângulo DEF é dada porProvas
Questão presente nas seguintes provas

Uma torneira despeja água em um reservatório na forma de um cilindro reto, como mostra a figura acima. O volume de água que cai no reservatório a cada intervalo de tempo é sempre o mesmo, ou seja, não varia com o tempo. Supondo que o reservatório estivesse vazio antes de abrir a torneira, qual dos gráficos abaixo melhor representa o nível da água (altura) em função do tempo transcorrido?
Provas
Questão presente nas seguintes provas
Analise as afirmativas a seguir.

V - Uma população que cresce a uma taxa de 3% ao ano forma uma progressão geométrica de razão igual a 1,3.
V - Entre os números 100 e 400 existem 51 múltiplos de 6.
São corretas APENAS as afirmativas

V - Uma população que cresce a uma taxa de 3% ao ano forma uma progressão geométrica de razão igual a 1,3.
V - Entre os números 100 e 400 existem 51 múltiplos de 6.
São corretas APENAS as afirmativas
Provas
Questão presente nas seguintes provas

As raízes sextas do complexo Z = a + bi são os vértices do hexágono regular da figura acima, representados pelos pontos . Como
e
, os números complexos
podem ser expressos, respectivamente, porProvas
Questão presente nas seguintes provas
A Lista Oficial da Fauna Brasileira Ameaçada de Extinção, encomendada pelo Ministério do Meio Ambiente (MMA) e pelo Instituto Brasileiro do Meio Ambiente e dos Recursos Naturais Renováveis (IBAMA), foi atualizada em 2004. Em 13 anos, desde a publicação da lista anterior, o número de espécies ameaçadas quase dobrou, passando de 219 para 395.
No mapa da extinção, destaque negativo para a Mata Atlântica, com seus fragmentados 7,3% de florestas remanescentes. A situação do bioma mais crítico do país prova que o desaparecimento de espécies da fauna está diretamente ligado à destruição de seu habitat. Das 265 espécies de vertebrados ameaçados, 185 ocorrem na Mata Atlântica (69,8%). Delas, aproximadamente 37,7% são endêmicas ao bioma, ou seja, se desaparecerem aqui, não poderão ser encontradas em nenhum outro lugar.

Com base nas informações apresentadas acima, um aluno deseja construir um gráfico de setores para representar a participação de cada grupo no total das espécies endêmicas à Mata Atlântica. No setor relativo aos anfíbios, ele teve que utilizar um ângulo de, aproximadamente,
No mapa da extinção, destaque negativo para a Mata Atlântica, com seus fragmentados 7,3% de florestas remanescentes. A situação do bioma mais crítico do país prova que o desaparecimento de espécies da fauna está diretamente ligado à destruição de seu habitat. Das 265 espécies de vertebrados ameaçados, 185 ocorrem na Mata Atlântica (69,8%). Delas, aproximadamente 37,7% são endêmicas ao bioma, ou seja, se desaparecerem aqui, não poderão ser encontradas em nenhum outro lugar.

Com base nas informações apresentadas acima, um aluno deseja construir um gráfico de setores para representar a participação de cada grupo no total das espécies endêmicas à Mata Atlântica. No setor relativo aos anfíbios, ele teve que utilizar um ângulo de, aproximadamente,
Provas
Questão presente nas seguintes provas
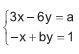
Se o sistema linear
possui infinitas soluções reais, o produto ab é igual a
possui infinitas soluções reais, o produto ab é igual aProvas
Questão presente nas seguintes provas
Cadernos
Caderno Container