Foram encontradas 305 questões.
Considere a e b números reais. A única opção falsa é:
Provas
Questão presente nas seguintes provas
O departamento técnico de uma construtora imobiliária
tem 10 técnicos de nível superior sendo 7 engenheiros e 3
arquitetos. Quantas equipes técnicas distintas podem ser
formadas por 2 desses técnicos com a participação de
pelo menos um engenheiro em cada equipe?
Provas
Questão presente nas seguintes provas
Se o volume de um cone de altura h e diâmetro da base
d é V, então o volume de um cone de mesma altura h e
diâmetro da base 2d é:
Provas
Questão presente nas seguintes provas
Um quadrado de lado unitário está inscrito em um círculo
que, por sua vez, está inscrito em outro quadrado de lado
L. Determine o valor mais próximo de L.
Provas
Questão presente nas seguintes provas
Dois ciclistas participam de uma corrida sendo que um
deles, após uma queda, ficou 9 km atrás do outro. No
entanto, considere que o ciclista que caiu e ficou atrás
corre a uma velocidade 50% maior que o ciclista que
está na frente e que o ciclista que caiu e ficou atrás
consegue alcançar o da frente em 30 minutos. Assim,
qual é a velocidade do ciclista que caiu, admitindo que
as velocidades dos ciclistas podem ser consideradas
constantes dadas as condições das pistas?
Provas
Questão presente nas seguintes provas
Um fi nanciamento no valor de R$ 360.000,00 deve ser pago em 180 prestações mensais, pelo Sistema de Amortizações Constantes - SAC, a uma taxa nominal de 12% ao ano, vencendo a primeira prestação ao fi m do primeiro mês, a segunda ao fi m do segundo mês e assim sucessivamente. Calcule o valor mais próximo da décima prestação.
Provas
Questão presente nas seguintes provas
Quais são os números reais x que satisfazem a condição 

Provas
Questão presente nas seguintes provas
Por definição, um triângulo equilátero é o que tem os três
lados iguais. Considere então a proposição: “Um triângulo
é equilátero se e somente se os três ângulos são iguais”.
Uma conclusão falsa desta proposição é:
Provas
Questão presente nas seguintes provas
O álcool Xº GL tem X% de fração em volume composto
por álcool etílico e o restante por água. Sendo assim, 750
ml de uma mistura em volumes iguais de álcool 96º GL e
álcool 70º GL são, por sua vez, misturados com 250 ml de
álcool com fração em volume desconhecida, resultando
em um litro de álcool 76º GL. Calcule a fração em volume
desconhecida desses 250 ml de álcool.
Provas
Questão presente nas seguintes provas
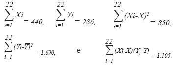
A partir de uma amostra aleatória simples formada por 22 observações das variáveis X e Y calculou-se

Obtenha a reta de regressão linear de Y em X.

Obtenha a reta de regressão linear de Y em X.
Provas
Questão presente nas seguintes provas
Cadernos
Caderno Container