Foram encontradas 169 questões.
240741
Ano: 2017
Disciplina: Inglês (Língua Inglesa)
Banca: Excelência
Orgão: Pref. Porto Feliz-SP
Disciplina: Inglês (Língua Inglesa)
Banca: Excelência
Orgão: Pref. Porto Feliz-SP
Provas:
Iranian President
Dies
Akbar Hashemi Rafsanjani, the former Iranian
president, suffered a heart attack and died at the
age of 82. Tens of thousands gathered at Tehran
University to attend the funeral and mourn the
man, who was their president from 1989 to 1997.
Iran has undergone three days of official mourning.
Rafsanjani was buried next to Iranian revolutionary
leader Ayatollah Khomeini.
Provas
Questão presente nas seguintes provas
240740
Ano: 2017
Disciplina: Inglês (Língua Inglesa)
Banca: Excelência
Orgão: Pref. Porto Feliz-SP
Disciplina: Inglês (Língua Inglesa)
Banca: Excelência
Orgão: Pref. Porto Feliz-SP
Provas:
Read the text below and classify the
highlighted words, then choose the CORRECT
alternative.


Provas
Questão presente nas seguintes provas
240739
Ano: 2017
Disciplina: Inglês (Língua Inglesa)
Banca: Excelência
Orgão: Pref. Porto Feliz-SP
Disciplina: Inglês (Língua Inglesa)
Banca: Excelência
Orgão: Pref. Porto Feliz-SP
Provas:
Future Cars at CES
The Consumer
Electronic Show (CES)
ran in Las Vegas from
the 5th to the 8th
January 2017, and the
big part of the show
was about cars that
can detect emotion, or are self-driving or are voice
controlled. Honda’s latest concept, equipped with a
digital assistant named HANA, can detect the
driver’s emotions and play appropriate music.
It can also function autonomously as a
ride-sharing vehicle making money for its owner
while the owner is at work or asleep. If you fancy
speaking to your car, the Oasis concept car might
interest you as it is voice-controlled. Its rear is
designed for cargo like parcels or pizzas, and there is a small garden in the dashboard to make
the space more personal.
If you do not want to interact much with
your car, the self-driving ones will do just fine.
Nissan’s Seamless Autonomous Mobility system
will help autonomous vehicles make decisions in
unpredictable situations.
Provas
Questão presente nas seguintes provas
Assinale a alternativa que NÃO representa
uma progressão geométrica:
Provas
Questão presente nas seguintes provas
Uma rampa plana com 24 m de comprimento
faz ângulo de 30° com o plano horizontal, se uma
pessoa caminha a rampa inteira até o 24° metro
da rampa, qual altura a pessoa estaria elevada do
chão?
Provas
Questão presente nas seguintes provas
Uma permutação em um conjunto de 5 cores
distintas, pode-se formar quantas combinações?
Provas
Questão presente nas seguintes provas
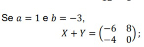
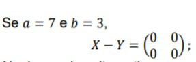
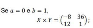
Observe as matrizes e abaixo x e y assinale a
alternativa CORRETA:


Provas
Questão presente nas seguintes provas
Assinale a alternativa que representa a fração
a seguir 6/4:
Provas
Questão presente nas seguintes provas
Um automóvel consome 1 litro de gasolina
para se deslocar 10 km. Quantos km este mesmo
automóvel se deslocará com 20 litros de gasolina?
Provas
Questão presente nas seguintes provas
Se durante 30 dias um corredor seguiu seu
ritmo de corrida em uma progressão aritmética e sabendo que no 4°dia ele correu 5100 metros e no
7° dia 5220 metros quanto ele correu no 30°?
Provas
Questão presente nas seguintes provas
Cadernos
Caderno Container