Foram encontradas 1.060 questões.
Fulana, servidora do município de Pitangueiras, almeja a designação por acesso, para função de chefia de determinado órgão
público municipal, porém esta designação será, exclusivamente, para servidor de carreira. Considerando o caso hipotético e tomando como base o Estatuto dos Servidores Públicos do Município de Pitangueiras, assinale a afirmativa correta.
Provas
Questão presente nas seguintes provas
Considerando somente a Lei nº 1.904/1997, analise as afirmativas a seguir.
I. Após cada quinquénio ininterrupto de exercício, o servidor fará jus a três meses de licença prêmio, a título de prêmio por assiduidade, com a remuneração do cargo.
II. O servidor terá direito a licença, sem remuneração, durante o período que mediar entre a sua escolha em convenção partidária, como candidato a cargo eletivo, e a véspera do registro de sua candidatura perante a Justiça Eleitoral.
III. Poderá ser concedida ao servidor licença por motivo de doença do cônjuge ou companheiro, padrasto ou madrasta, ascendente, descendente, enteado e colateral consanguíneo ou afim até o segundo grau civil, mediante comprovação por junta médica oficial.
Está correto o que se afirma em
I. Após cada quinquénio ininterrupto de exercício, o servidor fará jus a três meses de licença prêmio, a título de prêmio por assiduidade, com a remuneração do cargo.
II. O servidor terá direito a licença, sem remuneração, durante o período que mediar entre a sua escolha em convenção partidária, como candidato a cargo eletivo, e a véspera do registro de sua candidatura perante a Justiça Eleitoral.
III. Poderá ser concedida ao servidor licença por motivo de doença do cônjuge ou companheiro, padrasto ou madrasta, ascendente, descendente, enteado e colateral consanguíneo ou afim até o segundo grau civil, mediante comprovação por junta médica oficial.
Está correto o que se afirma em
Provas
Questão presente nas seguintes provas
Meire, servidora pública do município de Pitangueiras, além do vencimento e das vantagens previstas em Lei, fará jus às
seguintes gratificações e adicionais, EXCETO:
Provas
Questão presente nas seguintes provas
Certa empresa vende fardos de papel higiênico em embalagens com 12 rolos de 60 metros de papel cada. Após um estudo
que identificou uma maior aceitação de mercado de fardos com maiores quantidades de rolos, a empresa resolveu aumentar
seus fardos de 12 para 16 rolos de papel sem modificar o preço do produto. Sendo assim, para que a empresa consiga manter
o preço do fardo ela deverá reduzir a quantidade de papel higiênico em cada rolo para quantos metros?
Provas
Questão presente nas seguintes provas
Os funcionários de determinada empresa foram distribuídos em dois grupos de compartilhamento automático de e-mails.
Sabe-se que grupo é composto por 35 funcionários e o outro grupo conta com 25 funcionários. Do total de funcionários da
empresa, metade está em ambos os grupos; e todos os funcionários estão em pelo menos um dos grupos. Sendo assim, é
possível garantir que essa empresa possui quantos funcionários no total?
Provas
Questão presente nas seguintes provas
Juliana foi a um piquenique com dois amigos e se esqueceu de levar seu lanche. Cada um dos dois amigos levou um mesmo
lanche e, para que Juliana não ficasse com fome, cada amigo aceitou dar a ela uma porção J de seu próprio lanche. Sabendo-se que Juliana comeu menos do que a metade de cada lanche, e que, ao todo, ela comeu mais do que cada um dos amigos
individualmente, é correto afirmar que essa porção J deve estar compreendida entre:
Provas
Questão presente nas seguintes provas
Maria e suas 3 irmãs são madrinhas em um casamento e foram ao evento com vestidos das seguintes cores: Maria foi de
amarelo, duas de suas irmãs foram de azul e a outra foi de rosa. No momento de tirar a foto das quatro madrinhas, a noiva
solicitou que as irmãs usando vestidos de mesma cor não ficassem uma do lado da outra. Neste caso, o número de formas
distintas que as madrinhas podem aparecer nessa foto pertence a qual dos intervalos a seguir?
Provas
Questão presente nas seguintes provas
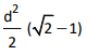
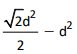
Fernanda usou uma caixa de pizza de formato octogonal regular para recortar um quadrado, conforme figura a seguir:

Se a maior diagonal deste octógono é d, quanto vale a área que sobrou da caixa (representada na figura pelo sombreado), após a retirada do quadrado?

Se a maior diagonal deste octógono é d, quanto vale a área que sobrou da caixa (representada na figura pelo sombreado), após a retirada do quadrado?
Provas
Questão presente nas seguintes provas
Pelo ralo
Os pratos estão empilhados de um dos lados da pia numa torre irregular, equilibrando-se uns sobre os outros de forma
precária, como os destroços de um prédio bombardeado ameaçando cair. Estão sujos. Muito sujos. Foram deixados ali já faz
algum tempo e os pedaços de detritos sobre eles se cristalizaram, tomando formas absurdas, surreais. Há grãos e lascas, restos
de folhas, amontoados de uma indefinida massa de cor acinzentada. Copos e tigelas de vidro, também empilhados num desenho
caótico, exibem a superfície maculada, cheia de nódoas, e o metal das panelas, chamuscado e sujo em vários pontos, lembra a
fuselagem de um avião incendiado. Mas há mais do que isso. Há talheres por toda parte, lâminas, cabos, extremidades
pontiagudas que surgem por ente os pratos, em sugestões inquietantes. E há ainda a cratera da pia, onde outros tantos pratos
e travessas, igualmente sujos, estão quase submersos numa água escura, como se, num campo de batalha, a chuva tivesse
caído sobre as cinzas. O cenário é desolador.
A mulher se aproxima, os olhos fixos na pia. Suas mãos, cujos dedos exibem dobras ressecadas, resultado de muitos anos
de contato com água e detergente, movem-se em torno da cintura e caminham até as costas, levando as tiras do avental
vermelho e branco. Com gestos rápidos, ágeis, faz-se a laçada, que ajusta o avental em seu lugar. E a mulher abre a torneira.
Encostada à pia, espera, tocando a água de vez em quando com a ponta dos dedos. Ligou o aquecedor no máximo, pois sabe
que precisará dela fumegante, para derreter as crostas formadas depois de tantas horas. Logo o vapor começa a subir. Emana
da pia, primeiro lentamente, depois numa nuvem mais encorpada, quase apocalíptica, enquanto o jato d’água chia contra a
superfície da louça suja. A mulher despeja algumas gotas de detergentes na esponja e começa a lavar. Esfrega com vigor,
começando pelas travessas que estavam imersas na água parada, pegando em seguida os copos e, por fim, a pilha de pratos.
Vai acumulando-os, já envoltos em espuma, de um dos lados da pia, num trabalho longo, árduo. E só depois se põe a enxaguá-los, deixando que a água escoe, levando consigo o que resta dos detritos.
De repente, a mulher sorri. As pessoas não acreditam, mas ela gosta de lavar louça. Sempre gostou. A sensação da água
quente nas mãos, seu jato carregando as impurezas, são para ela um bálsamo. “É bom assistir a essa passagem, à transformação
do sujo em limpo”, ouviu dizer um dia um poeta, que também gostava de lavar louça. Ficara feliz ao ouvir aquilo. Só então se
dera conta do quanto havia de beleza e poesia nesses gestos tão simples. Mas agora a mulher suspira. Queria poder também
lavar os erros do mundo, desfazer seus escombros, apagar-lhe as nódoas, envolver em sabão todos os ódios e horrores, as
misérias e mentiras. Porque, afinal, do jeito que as coisas andam, é o próprio mundo que vai acabar – ele inteiro – descendo
pelo ralo.
(SEIXAS, Heloisa. Jornal do Brasil, Rio de Janeiro, 23 set. 2001. Revista de Domingo, Seção Contos Mínimos.)
Provas
Questão presente nas seguintes provas
Pelo ralo
Os pratos estão empilhados de um dos lados da pia numa torre irregular, equilibrando-se uns sobre os outros de forma
precária, como os destroços de um prédio bombardeado ameaçando cair. Estão sujos. Muito sujos. Foram deixados ali já faz
algum tempo e os pedaços de detritos sobre eles se cristalizaram, tomando formas absurdas, surreais. Há grãos e lascas, restos
de folhas, amontoados de uma indefinida massa de cor acinzentada. Copos e tigelas de vidro, também empilhados num desenho
caótico, exibem a superfície maculada, cheia de nódoas, e o metal das panelas, chamuscado e sujo em vários pontos, lembra a
fuselagem de um avião incendiado. Mas há mais do que isso. Há talheres por toda parte, lâminas, cabos, extremidades
pontiagudas que surgem por ente os pratos, em sugestões inquietantes. E há ainda a cratera da pia, onde outros tantos pratos
e travessas, igualmente sujos, estão quase submersos numa água escura, como se, num campo de batalha, a chuva tivesse
caído sobre as cinzas. O cenário é desolador.
A mulher se aproxima, os olhos fixos na pia. Suas mãos, cujos dedos exibem dobras ressecadas, resultado de muitos anos
de contato com água e detergente, movem-se em torno da cintura e caminham até as costas, levando as tiras do avental
vermelho e branco. Com gestos rápidos, ágeis, faz-se a laçada, que ajusta o avental em seu lugar. E a mulher abre a torneira.
Encostada à pia, espera, tocando a água de vez em quando com a ponta dos dedos. Ligou o aquecedor no máximo, pois sabe
que precisará dela fumegante, para derreter as crostas formadas depois de tantas horas. Logo o vapor começa a subir. Emana
da pia, primeiro lentamente, depois numa nuvem mais encorpada, quase apocalíptica, enquanto o jato d’água chia contra a
superfície da louça suja. A mulher despeja algumas gotas de detergentes na esponja e começa a lavar. Esfrega com vigor,
começando pelas travessas que estavam imersas na água parada, pegando em seguida os copos e, por fim, a pilha de pratos.
Vai acumulando-os, já envoltos em espuma, de um dos lados da pia, num trabalho longo, árduo. E só depois se põe a enxaguá-los, deixando que a água escoe, levando consigo o que resta dos detritos.
De repente, a mulher sorri. As pessoas não acreditam, mas ela gosta de lavar louça. Sempre gostou. A sensação da água
quente nas mãos, seu jato carregando as impurezas, são para ela um bálsamo. “É bom assistir a essa passagem, à transformação
do sujo em limpo”, ouviu dizer um dia um poeta, que também gostava de lavar louça. Ficara feliz ao ouvir aquilo. Só então se
dera conta do quanto havia de beleza e poesia nesses gestos tão simples. Mas agora a mulher suspira. Queria poder também
lavar os erros do mundo, desfazer seus escombros, apagar-lhe as nódoas, envolver em sabão todos os ódios e horrores, as
misérias e mentiras. Porque, afinal, do jeito que as coisas andam, é o próprio mundo que vai acabar – ele inteiro – descendo
pelo ralo.
(SEIXAS, Heloisa. Jornal do Brasil, Rio de Janeiro, 23 set. 2001. Revista de Domingo, Seção Contos Mínimos.)
Provas
Questão presente nas seguintes provas
Cadernos
Caderno Container