Foram encontradas 411 questões.
3664447
Ano: 2025
Disciplina: Matemática Financeira
Banca: EDUCA
Orgão: Pref. Pedras Fogo-PB
Disciplina: Matemática Financeira
Banca: EDUCA
Orgão: Pref. Pedras Fogo-PB
Provas:
Um cliente bancário fez uma aplicação sob o regime de
juros simples com taxa mensal de 4% durante dois
trimestres. Ao final desse período, o montante foi
reaplicado sob o mesmo regime com taxa mensal de 5%
por mais um quadrimestre. Após isso, o cliente resgatou
o valor total de R$ 11.904,00.
Qual foi o valor inicialmente aplicado?
Qual foi o valor inicialmente aplicado?
Provas
Questão presente nas seguintes provas
Em uma pequena escola existem:
• 40 homens
• 20 pessoas que usam óculos
• 42 mulheres que não usam óculos
• 12 homens que usam óculos
Com base nessas informações, quantas pessoas nessa escola não usam óculos ou são homens?
• 40 homens
• 20 pessoas que usam óculos
• 42 mulheres que não usam óculos
• 12 homens que usam óculos
Com base nessas informações, quantas pessoas nessa escola não usam óculos ou são homens?
Provas
Questão presente nas seguintes provas
O valor de k para que o resto da divisão do polinômio
P(x) = 8x3 + 4x2 + 2x + k pelo polinômio Q(x) = 2x – 1
seja igual a 5 deve ser:
Provas
Questão presente nas seguintes provas
Para se construir um muro, inicialmente 12 homens
trabalharam durante 15 dias. Depois chegaram mais 8
homens e se juntaram ao grupo por 5 dias até concluírem
a obra.
Se todos os homens tivessem trabalhado juntos desde o início, o muro teria ficado pronto em:
Se todos os homens tivessem trabalhado juntos desde o início, o muro teria ficado pronto em:
Provas
Questão presente nas seguintes provas
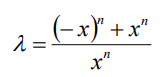
Tome o número λ abaixo, com n e x ∈ N, e 0 < x ≠ 1

Nessas condições, o valor de λ será:
Provas
Questão presente nas seguintes provas
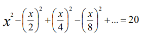
Observe a sequência infinita abaixo:
O valor de x é igual a:
O valor de x é igual a:
Provas
Questão presente nas seguintes provas
Observe a matriz M abaixo, cujos elementos são números reais não nulos.

Acerca de M e seus elementos, assinale a alternativa cuja ocorrência não a tornaria uma matriz singular:
Provas
Questão presente nas seguintes provas
Considere todos os anagramas formados com as letras da
palavra PEDRAS. Ao escolher ao acaso um desses
anagramas, a probabilidade do anagrama escolhido
iniciar com uma vogal ou terminar com uma consoante é
igual a:
Provas
Questão presente nas seguintes provas
Dona Ana tinha um antigo relógio de ponteiros na parede
de sua casa que tocava uma badalada na metade de cada
hora corrente, e mais, a cada hora completada, um
número de badaladas igual à hora correspondente.
Quantas badaladas o relógio de Dona Ana tocava em uma semana:
Quantas badaladas o relógio de Dona Ana tocava em uma semana:
Provas
Questão presente nas seguintes provas
3664438
Ano: 2025
Disciplina: Inglês (Língua Inglesa)
Banca: EDUCA
Orgão: Pref. Pedras Fogo-PB
Disciplina: Inglês (Língua Inglesa)
Banca: EDUCA
Orgão: Pref. Pedras Fogo-PB
Provas:
Considering the National Curriculum Parameters (PCNs)
for Foreign Language Teaching in Brazil, some methods
seem to be good options to develop students'
communicative competence by engaging them in
meaningful interactions that reflect their real-life
situations. Based on this assertion, choose the alternative
that definitely CANNOT suit the context mentioned
above:
Provas
Questão presente nas seguintes provas
Cadernos
Caderno Container