Magna Concursos

Foram encontradas 211 questões.

1513026 Ano: 2019
Disciplina: Atualidades e Conhecimentos Gerais
Banca: EPBAZI
Orgão: Pref. Novo Horizonte-SP

Sobre o Município de Novo Horizonte analise as afirmações abaixo e assinale a alternativa correta:

I- Pertence a Região Turística: Grande Oeste e faz divisa com São Lourenço do Oeste, Jupiá, Galvão, Coronel Martins, Formosa do Sul, Santiago do Sul.

II- Com uma população: 2.432 hab.est. segundo IBGE/2017, Novo Horizonte ocupa uma área aproximadamente de 172 km² segundo IBGE/2016.

III- Sua é de Latitude: 26°26'40 e Longitude: 52°50'01 com a Altitude: 710m.

(Fonte: https://turismo.novohorizonte.sc.gov.br/).

 

Provas

Questão presente nas seguintes provas
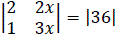
1513025 Ano: 2019
Disciplina: Matemática
Banca: EPBAZI
Orgão: Pref. Novo Horizonte-SP

Dada a equação Enunciado 1513025-1, é correto afirmar que o valor de x será:

 

Provas

Questão presente nas seguintes provas
1513024 Ano: 2019
Disciplina: Matemática
Banca: EPBAZI
Orgão: Pref. Novo Horizonte-SP

Se k é o maior número inteiro que satisfaz a inequação Enunciado 1513024-1, então é possível afirmar que -k2 será igual a:

 

Provas

Questão presente nas seguintes provas
1513023 Ano: 2019
Disciplina: Matemática
Banca: EPBAZI
Orgão: Pref. Novo Horizonte-SP

Assinale a alternativa que contenha a raiz da equação exponencial 2x−3 + 2x−1 = 5:

 

Provas

Questão presente nas seguintes provas
1513022 Ano: 2019
Disciplina: Matemática
Banca: EPBAZI
Orgão: Pref. Novo Horizonte-SP

Qual é o valor de k na equação: 2k - (k - 10 ) = 5 + 3 - (k -3 ), sendo U = ℤ

 

Provas

Questão presente nas seguintes provas
1513021 Ano: 2019
Disciplina: Português
Banca: EPBAZI
Orgão: Pref. Novo Horizonte-SP

Assinale a alternativa contendo a associação incorreta entre obras e respectivos escritores pertencentes à Literatura Brasileira:

 

Provas

Questão presente nas seguintes provas
1513020 Ano: 2019
Disciplina: Português
Banca: EPBAZI
Orgão: Pref. Novo Horizonte-SP

Leia o texto a seguir para responder às questões de 01 a 03.

Metrópoles do futuro, cidadãos do presente.

Debater o futuro é sempre desafiador. Muito se fala sobre como serão as cidades do amanhã. Inúmeros projetos são lançados para enfrentar grandes desafios globais: poluição, consumis-mo, desperdício de recursos (água, luz, alimentos), criminalidade, sustentabilidade ambiental, mobilidade urbana e desemprego crescente.

Segundo estudo da Oxford Economics, apenas 750 cidades no mundo irão concentrar 30% dos empregos no planeta e 61% do PIB mundial. O homem do futuro viverá majoritariamente em áreas urbanas e será nevrálgico o modo como os governos/ONGs, empresas irão lidar com essa superpopulação das cidades.

Os cidadãos, principalmente das grandes cidades, precisarão refletir e agir sobre quais serão as regras da boa convivência, dos deveres e dos direitos no tocante aos recursos naturais, lixo e trânsito.

Em 2030, segundo a ONU, as megacidades Nova York, Shangai e São Paulo terão populações gigantescas, da ordem de 20, 30 ou até quase 40 milhões de pessoas. Se fora do Brasil a discussão segue intensa, e diversas ações já estão em curso (carros elétricos, coleta seletiva do lixo, reutilização de água, energia limpa), em nossas terras tropicais, ainda há muito por fazer. As grandes cidades brasileiras sofrem com as facções criminosas, o trânsito caótico e com os cidadãos cada vez mais estressados e doentes. Os governos (municipal, estadual e federal) atuam de forma muito lenta, e resta aos indivíduos procurarem o que pode ser mudado. Seja com a conscientização de que nossas atitudes afetam a vida do outro ou para o diálogo com o seu entorno na busca por soluções.

[...]

Educação, saneamento básico e saúde são os principais pontos procurados por cidadãos em vários países pesquisados. No entanto, no Brasil, vemos que nossas cidades estão muito atrás nesses quesitos e fica difícil imaginar a distância que estamos para termos cidades eficientes e saudáveis.

Quanto à mobilidade urbana, os problemas ainda não são encarados de forma séria pelas autoridades, e o uso de automóveis e a logística baseada no transporte rodoviário, por meio de caminhões, ainda são a cultura dominante. Embora já existam movimentos e ações para a construção de ciclovias, ainda são muito tímidas diante do problema. Na verdade, temos inúmeros rios e sistemas disponíveis para uso de embarcações, além de uma costa oceânica imensa, mas insistimos em ter o carro como sonho de consumo e inúmeras reduções de impostos para compra de automóveis.

[...]

Muito do que hoje temos em nossas metrópoles é fruto de nossas escolhas também. As inundações seriam muito menos frequentes se nós cidadãos jogássemos o lixo nas lixeiras, e não nas ruas, rios, calçadas e jardins. É preciso fazer a parte que nos cabe.

[...]

O futuro dependerá muito mais de mim e de você do que das grandes campanhas e propagandas e das políticas públicas. Parafraseando, e adaptando, John Kenndy Jr, em seu discurso de posse, pode-se afirmar: Não pergunte o que seu país, sua cidade, pode fazer por você, mas o que você pode fazer por seu país, por sua cidade. Nós podemos mudar o futuro hoje!

(Fonte: Postado por Bruno Cunha, professor e diretor administrativo da Faculdade Canção Nova – Em 24/09/2018. http://www.dm.com.br/opiniao/2018/09/metropoles-do-futuro-cidadaos-do-presente.html.Adaptado).

“Quanto à mobilidade urbana, os problemas ainda não são encarados de forma séria pelas autoridades (...).”7º§.

Sobre o uso da crase na frase acima é correto afirmar:

 

Provas

Questão presente nas seguintes provas
1513019 Ano: 2019
Disciplina: Português
Banca: EPBAZI
Orgão: Pref. Novo Horizonte-SP

Leia o texto a seguir para responder às questões de 01 a 03.

Metrópoles do futuro, cidadãos do presente.

Debater o futuro é sempre desafiador. Muito se fala sobre como serão as cidades do amanhã. Inúmeros projetos são lançados para enfrentar grandes desafios globais: poluição, consumis-mo, desperdício de recursos (água, luz, alimentos), criminalidade, sustentabilidade ambiental, mobilidade urbana e desemprego crescente.

Segundo estudo da Oxford Economics, apenas 750 cidades no mundo irão concentrar 30% dos empregos no planeta e 61% do PIB mundial. O homem do futuro viverá majoritariamente em áreas urbanas e será nevrálgico o modo como os governos/ONGs, empresas irão lidar com essa superpopulação das cidades.

Os cidadãos, principalmente das grandes cidades, precisarão refletir e agir sobre quais serão as regras da boa convivência, dos deveres e dos direitos no tocante aos recursos naturais, lixo e trânsito.

Em 2030, segundo a ONU, as megacidades Nova York, Shangai e São Paulo terão populações gigantescas, da ordem de 20, 30 ou até quase 40 milhões de pessoas. Se fora do Brasil a discussão segue intensa, e diversas ações já estão em curso (carros elétricos, coleta seletiva do lixo, reutilização de água, energia limpa), em nossas terras tropicais, ainda há muito por fazer. As grandes cidades brasileiras sofrem com as facções criminosas, o trânsito caótico e com os cidadãos cada vez mais estressados e doentes. Os governos (municipal, estadual e federal) atuam de forma muito lenta, e resta aos indivíduos procurarem o que pode ser mudado. Seja com a conscientização de que nossas atitudes afetam a vida do outro ou para o diálogo com o seu entorno na busca por soluções.

[...]

Educação, saneamento básico e saúde são os principais pontos procurados por cidadãos em vários países pesquisados. No entanto, no Brasil, vemos que nossas cidades estão muito atrás nesses quesitos e fica difícil imaginar a distância que estamos para termos cidades eficientes e saudáveis.

Quanto à mobilidade urbana, os problemas ainda não são encarados de forma séria pelas autoridades, e o uso de automóveis e a logística baseada no transporte rodoviário, por meio de caminhões, ainda são a cultura dominante. Embora já existam movimentos e ações para a construção de ciclovias, ainda são muito tímidas diante do problema. Na verdade, temos inúmeros rios e sistemas disponíveis para uso de embarcações, além de uma costa oceânica imensa, mas insistimos em ter o carro como sonho de consumo e inúmeras reduções de impostos para compra de automóveis.

[...]

Muito do que hoje temos em nossas metrópoles é fruto de nossas escolhas também. As inundações seriam muito menos frequentes se nós cidadãos jogássemos o lixo nas lixeiras, e não nas ruas, rios, calçadas e jardins. É preciso fazer a parte que nos cabe.

[...]

O futuro dependerá muito mais de mim e de você do que das grandes campanhas e propagandas e das políticas públicas. Parafraseando, e adaptando, John Kenndy Jr, em seu discurso de posse, pode-se afirmar: Não pergunte o que seu país, sua cidade, pode fazer por você, mas o que você pode fazer por seu país, por sua cidade. Nós podemos mudar o futuro hoje!

(Fonte: Postado por Bruno Cunha, professor e diretor administrativo da Faculdade Canção Nova – Em 24/09/2018. http://www.dm.com.br/opiniao/2018/09/metropoles-do-futuro-cidadaos-do-presente.html.Adaptado).

No entanto, no Brasil, vemos que nossas cidades estão muito atrás nesses quesitos e fica difícil imaginar a distância que estamos para termos cidades eficientes e saudáveis.” 6º§.

Assinale a alternativa que apresenta a relação de ideia estabelecida pelo conectivo destacado nessa frase.

 

Provas

Questão presente nas seguintes provas
1513018 Ano: 2019
Disciplina: Português
Banca: EPBAZI
Orgão: Pref. Novo Horizonte-SP

Leia o texto a seguir para responder às questões de 01 a 03.

Metrópoles do futuro, cidadãos do presente.

Debater o futuro é sempre desafiador. Muito se fala sobre como serão as cidades do amanhã. Inúmeros projetos são lançados para enfrentar grandes desafios globais: poluição, consumis-mo, desperdício de recursos (água, luz, alimentos), criminalidade, sustentabilidade ambiental, mobilidade urbana e desemprego crescente.

Segundo estudo da Oxford Economics, apenas 750 cidades no mundo irão concentrar 30% dos empregos no planeta e 61% do PIB mundial. O homem do futuro viverá majoritariamente em áreas urbanas e será nevrálgico o modo como os governos/ONGs, empresas irão lidar com essa superpopulação das cidades.

Os cidadãos, principalmente das grandes cidades, precisarão refletir e agir sobre quais serão as regras da boa convivência, dos deveres e dos direitos no tocante aos recursos naturais, lixo e trânsito.

Em 2030, segundo a ONU, as megacidades Nova York, Shangai e São Paulo terão populações gigantescas, da ordem de 20, 30 ou até quase 40 milhões de pessoas. Se fora do Brasil a discussão segue intensa, e diversas ações já estão em curso (carros elétricos, coleta seletiva do lixo, reutilização de água, energia limpa), em nossas terras tropicais, ainda há muito por fazer. As grandes cidades brasileiras sofrem com as facções criminosas, o trânsito caótico e com os cidadãos cada vez mais estressados e doentes. Os governos (municipal, estadual e federal) atuam de forma muito lenta, e resta aos indivíduos procurarem o que pode ser mudado. Seja com a conscientização de que nossas atitudes afetam a vida do outro ou para o diálogo com o seu entorno na busca por soluções.

[...]

Educação, saneamento básico e saúde são os principais pontos procurados por cidadãos em vários países pesquisados. No entanto, no Brasil, vemos que nossas cidades estão muito atrás nesses quesitos e fica difícil imaginar a distância que estamos para termos cidades eficientes e saudáveis.

Quanto à mobilidade urbana, os problemas ainda não são encarados de forma séria pelas autoridades, e o uso de automóveis e a logística baseada no transporte rodoviário, por meio de caminhões, ainda são a cultura dominante. Embora já existam movimentos e ações para a construção de ciclovias, ainda são muito tímidas diante do problema. Na verdade, temos inúmeros rios e sistemas disponíveis para uso de embarcações, além de uma costa oceânica imensa, mas insistimos em ter o carro como sonho de consumo e inúmeras reduções de impostos para compra de automóveis.

[...]

Muito do que hoje temos em nossas metrópoles é fruto de nossas escolhas também. As inundações seriam muito menos frequentes se nós cidadãos jogássemos o lixo nas lixeiras, e não nas ruas, rios, calçadas e jardins. É preciso fazer a parte que nos cabe.

[...]

O futuro dependerá muito mais de mim e de você do que das grandes campanhas e propagandas e das políticas públicas. Parafraseando, e adaptando, John Kenndy Jr, em seu discurso de posse, pode-se afirmar: Não pergunte o que seu país, sua cidade, pode fazer por você, mas o que você pode fazer por seu país, por sua cidade. Nós podemos mudar o futuro hoje!

(Fonte: Postado por Bruno Cunha, professor e diretor administrativo da Faculdade Canção Nova – Em 24/09/2018. http://www.dm.com.br/opiniao/2018/09/metropoles-do-futuro-cidadaos-do-presente.html.Adaptado).

A característica predominante neste gênero textual é:

 

Provas

Questão presente nas seguintes provas
1513094 Ano: 2019
Disciplina: Legislação de Trânsito
Banca: EPBAZI
Orgão: Pref. Novo Horizonte-SP
Provas:

O auto de infração será arquivado e seu registro julgado insubsistente, se, no prazo máximo de quantos dias, não for expedida a notificação da autuação?

Questão Desatualizada

Provas

Questão presente nas seguintes provas