Foram encontradas 40 questões.
Um certo mercado cultural de uma pequena cidade do interior da Paraíba foi
desenhado a lápis por um artista local. A figura abaixo retrata bem o prédio antigo
desenhado.
Sabe-se que os azulejos hachurados da figura (colunas nas laterais do portão central de entrada) têm dimensões 10x10 em centímetros. Desta forma, é CORRETO afirmar que a área, em metros quadrados, dos azulejos hachurados da faixada do prédio é:
Sabe-se que os azulejos hachurados da figura (colunas nas laterais do portão central de entrada) têm dimensões 10x10 em centímetros. Desta forma, é CORRETO afirmar que a área, em metros quadrados, dos azulejos hachurados da faixada do prédio é:
Provas
Questão presente nas seguintes provas
Em uma cantina escolar, vendem-se diariamente sanduíches, sucos e saladas. Em
um certo dia, verificou-se que:
Foram vendidos 100 itens ao todo; · A arrecadação total foi de R$ 454,00; O preço de cada sanduíche é de R$ 5,00, de cada suco é de R$ 3,00 e de cada salada é de R$ 6,00; O número de sanduíches vendidos foi o dobro do número de saladas.
Com base nessas informações, é CORRETO afirmar que as quantidades dos produtos que foram vendidos são:
Foram vendidos 100 itens ao todo; · A arrecadação total foi de R$ 454,00; O preço de cada sanduíche é de R$ 5,00, de cada suco é de R$ 3,00 e de cada salada é de R$ 6,00; O número de sanduíches vendidos foi o dobro do número de saladas.
Com base nessas informações, é CORRETO afirmar que as quantidades dos produtos que foram vendidos são:
Provas
Questão presente nas seguintes provas
A Secretaria de Educação de uma cidade do interior do Estado instituiu um
programa de bonificação por desempenho para professores do Ensino Médio,
válido por 5 meses. Foram propostas duas modalidades:
Modalidade A (PA): a bonificação inicia em R$ 1.000,00 no 1º mês e cresce aritmeticamente, alcançando R$ 4.000,00 no 5º mês; Modalidade B (PG): a bonificação inicia em R$ 1.000,00 no 1º mês e cresce geometricamente, alcançando R$ 4.000,00 no 5º mês.
Com base nessas informações, é CORRETO afirmar que as bonificações que um certo professor pode receber no 3º mês, nas modalidades A e B, respectivamente, são:
Modalidade A (PA): a bonificação inicia em R$ 1.000,00 no 1º mês e cresce aritmeticamente, alcançando R$ 4.000,00 no 5º mês; Modalidade B (PG): a bonificação inicia em R$ 1.000,00 no 1º mês e cresce geometricamente, alcançando R$ 4.000,00 no 5º mês.
Com base nessas informações, é CORRETO afirmar que as bonificações que um certo professor pode receber no 3º mês, nas modalidades A e B, respectivamente, são:
Provas
Questão presente nas seguintes provas
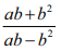
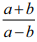
Sejam os valores definidos pelos produtos notáveis:
![]()
Com base nesses valores, é CORRETO afirmar que o valor da expressão:
![]()
É de:
Provas
Questão presente nas seguintes provas
Considere a definição e as propriedades dos logaritmos e observe o valor de V na expressão:

Na expressão acima, considere ln para logaritmo natural (base e) e log para logaritmo decimal (base 10). Sobre o valor de V, é CORRETO afirmar que:
Provas
Questão presente nas seguintes provas
Na página oficial da UNESCO na internet, em uma seção na qual é abordado o aprendizado digital e a transformação da educação, a
UNESCO justifica o fato de considerar importante a inovação digital na educação, nos termos que seguem:
“A tecnologia digital tornou-se uma necessidade social para garantir a educação como um direito humano básico, especialmente em um mundo que vivencia crises e conflitos cada vez mais frequentes. Durante a pandemia da COVID-19, os países sem infraestrutura suficiente de TIC [Tecnologias da Informação e Comunicação] e sem sistemas de aprendizagem digital bem estruturados sofreram as maiores interrupções educacionais e perdas de aprendizagem. Essa situação deixou até um terço dos estudantes em todo o mundo sem acesso à aprendizagem durante o fechamento das escolas por mais de um ano. A interrupção educacional causada pela COVID-19 revelou claramente a urgente necessidade de aliar tecnologias e recursos humanos para transformar os modelos escolares e construir sistemas de aprendizagem inclusivos, abertos e resilientes. A UNESCO apoia o uso da inovação digital para ampliar o acesso a oportunidades educacionais e promover a inclusão, aprimorar a relevância e a qualidade da aprendizagem, construir trajetórias de aprendizagem ao longo da vida com apoio das TIC, fortalecer os sistemas de gestão da educação e da aprendizagem e monitorar os processos de aprendizagem”.
Fonte: UNESCO. Disponível em https://www.unesco.org/en/digital-education/need-know?hub=84636. Acesso em 29 ago. de2025
Sobre o papel das tecnologias digitais na educação e, considerando o excerto, analise as assertivas a seguir:
I- O uso educacional das tecnologias digitais só tem relevância em contextos excepcionais, como em situações de crises e pandemias.
II- As tecnologias digitais podem ampliar o acesso ao ensino, fortalecer a inclusão e melhorar a qualidade e relevância da aprendizagem.
III- O uso das tecnologias digitais na educação serve para promover um ensino padronizado e uniforme, obstando adaptações locais e contextuais.
É CORRETO o que se afirma apenas em:
“A tecnologia digital tornou-se uma necessidade social para garantir a educação como um direito humano básico, especialmente em um mundo que vivencia crises e conflitos cada vez mais frequentes. Durante a pandemia da COVID-19, os países sem infraestrutura suficiente de TIC [Tecnologias da Informação e Comunicação] e sem sistemas de aprendizagem digital bem estruturados sofreram as maiores interrupções educacionais e perdas de aprendizagem. Essa situação deixou até um terço dos estudantes em todo o mundo sem acesso à aprendizagem durante o fechamento das escolas por mais de um ano. A interrupção educacional causada pela COVID-19 revelou claramente a urgente necessidade de aliar tecnologias e recursos humanos para transformar os modelos escolares e construir sistemas de aprendizagem inclusivos, abertos e resilientes. A UNESCO apoia o uso da inovação digital para ampliar o acesso a oportunidades educacionais e promover a inclusão, aprimorar a relevância e a qualidade da aprendizagem, construir trajetórias de aprendizagem ao longo da vida com apoio das TIC, fortalecer os sistemas de gestão da educação e da aprendizagem e monitorar os processos de aprendizagem”.
Fonte: UNESCO. Disponível em https://www.unesco.org/en/digital-education/need-know?hub=84636. Acesso em 29 ago. de2025
Sobre o papel das tecnologias digitais na educação e, considerando o excerto, analise as assertivas a seguir:
I- O uso educacional das tecnologias digitais só tem relevância em contextos excepcionais, como em situações de crises e pandemias.
II- As tecnologias digitais podem ampliar o acesso ao ensino, fortalecer a inclusão e melhorar a qualidade e relevância da aprendizagem.
III- O uso das tecnologias digitais na educação serve para promover um ensino padronizado e uniforme, obstando adaptações locais e contextuais.
É CORRETO o que se afirma apenas em:
Provas
Questão presente nas seguintes provas
Luckesi (2008, p. 165), ao abordar a avaliação, afirma que “a atividade de avaliar caracteriza-se como um instrumento subsidiário do
crescimento; meio subsidiário da construção do resultado satisfatório”.
A respeito do excerto destacado, analise as afirmações a seguir:
I- O planejamento e a avaliação devem atuar conjuntamente na promoção da aprendizagem, indicando caminhos e investigando os resultados intermediários, respectivamente.
II- A avaliação deve servir à classificação, estimulando a cultura do mérito entre os aprendizes e resgatando a posição de autoridade do docente.
III- O professor deve estar atento às necessidades de redirecionamento indicadas pela avaliação.
É CORRETO o que se afirma apenas em:
A respeito do excerto destacado, analise as afirmações a seguir:
I- O planejamento e a avaliação devem atuar conjuntamente na promoção da aprendizagem, indicando caminhos e investigando os resultados intermediários, respectivamente.
II- A avaliação deve servir à classificação, estimulando a cultura do mérito entre os aprendizes e resgatando a posição de autoridade do docente.
III- O professor deve estar atento às necessidades de redirecionamento indicadas pela avaliação.
É CORRETO o que se afirma apenas em:
Provas
Questão presente nas seguintes provas
Para José Carlos Libâneo, a educação constitui um fenômeno social e, como tal, é socialmente determinada, o que significa dizer que a
prática educativa, seus objetivos, conteúdos e o trabalho docente são determinados no seio da estrutura social, implicados em suas
finalidades por questões de ordens políticas e ideológicas.
Nesse contexto, considere os excertos a seguir, extraídos do livro Didática, de Carlos Libâneo (2013):
“A Pedagogia é um campo de conhecimentos que investiga a natureza das finalidades da educação em uma determinada sociedade, bem como os meios apropriados para a formação dos indivíduos, tendo em vista prepará-los para as tarefas da vida social.”
“O caráter pedagógico da prática educativa se verifica como ação consciente, intencional e planejada no processo de formação humana, através de objetivos e meios estabelecidos por critérios socialmente determinados e que indicam o tipo de homem a formar, para qual sociedade, com que propósitos.”
“ADidática é o principal ramo de estudos da Pedagogia. Ela investiga os fundamentos, condições e modos de realização da instrução e do ensino. A ela cabe converter objetivos sociopolíticos e pedagógicos em objetivos de ensino, selecionar conteúdos e métodos em função desses objetivos, estabelecer os vínculos entre ensino e aprendizagem, tendo em vista o desenvolvimento das capacidades mentais dos alunos.”
“A Didática e as metodologias específicas das matérias de ensino formam uma unidade, mantendo entre si relações recíprocas. A Didática trata da teoria geral do ensino. As metodologias específicas, integrando o campo da Didática, ocupam-se dos conteúdos e métodos próprios de cada matéria na sua relação com fins educacionais.”
Fonte: adaptado de LIBÂNEO, J. C. Didática. 2. Ed. São Paulo: Cortez, 2013. p. 25 (Adaptado)
Com base no exposto, é CORRETO afirmar que:
Nesse contexto, considere os excertos a seguir, extraídos do livro Didática, de Carlos Libâneo (2013):
“A Pedagogia é um campo de conhecimentos que investiga a natureza das finalidades da educação em uma determinada sociedade, bem como os meios apropriados para a formação dos indivíduos, tendo em vista prepará-los para as tarefas da vida social.”
“O caráter pedagógico da prática educativa se verifica como ação consciente, intencional e planejada no processo de formação humana, através de objetivos e meios estabelecidos por critérios socialmente determinados e que indicam o tipo de homem a formar, para qual sociedade, com que propósitos.”
“ADidática é o principal ramo de estudos da Pedagogia. Ela investiga os fundamentos, condições e modos de realização da instrução e do ensino. A ela cabe converter objetivos sociopolíticos e pedagógicos em objetivos de ensino, selecionar conteúdos e métodos em função desses objetivos, estabelecer os vínculos entre ensino e aprendizagem, tendo em vista o desenvolvimento das capacidades mentais dos alunos.”
“A Didática e as metodologias específicas das matérias de ensino formam uma unidade, mantendo entre si relações recíprocas. A Didática trata da teoria geral do ensino. As metodologias específicas, integrando o campo da Didática, ocupam-se dos conteúdos e métodos próprios de cada matéria na sua relação com fins educacionais.”
Fonte: adaptado de LIBÂNEO, J. C. Didática. 2. Ed. São Paulo: Cortez, 2013. p. 25 (Adaptado)
Com base no exposto, é CORRETO afirmar que:
Provas
Questão presente nas seguintes provas
3915900
Ano: 2025
Disciplina: Estatuto da Pessoa com Deficiência - Lei 13.146/2015
Banca: UEPB
Orgão: Pref. Mataraca-PB
Disciplina: Estatuto da Pessoa com Deficiência - Lei 13.146/2015
Banca: UEPB
Orgão: Pref. Mataraca-PB
O Capítulo IV do Título II da Lei nº 13.146/2015, Estatuto da Pessoa com Deficiência, trata especificamente do Direito à Educação e,
em seu art. 28 discorre sobre as incumbências do poder público.
Nesse contexto, é CORRETO afirmar que incumbe ao poder público:
Nesse contexto, é CORRETO afirmar que incumbe ao poder público:
Provas
Questão presente nas seguintes provas
De acordo com as Diretrizes Curriculares Nacionais para o Ensino Fundamental de 9 (nove) anos, Resolução CNE/CES nº 7, de 14 de
dezembro de 2010, é CORRETO afirmar que:
Provas
Questão presente nas seguintes provas
Cadernos
Caderno Container