Foram encontradas 1.024 questões.
No Microsoft Word 2016, a guia “Página Inicial” é fundamental para diversas tarefas de formatação. Qual
alternativa apresenta dois “grupos” dessa guia?
Provas
Questão presente nas seguintes provas
Quais atalhos de teclado do Google Chrome, quando utilizado o sistema operacional Windows, servem
respectivamente para “abrir o Gerenciador de favoritos” e “abrir um link em uma nova guia em segundo plano”?
Provas
Questão presente nas seguintes provas
De um grupo de 1.024 pessoas, 256 estavam com gripe em determinado dia. Qual é a porcentagem de
pessoas que estavam com gripe nesse dia?
Provas
Questão presente nas seguintes provas
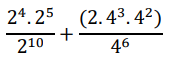
Assinale a alternativa com o resultado CORRETO da soma a seguir.

Provas
Questão presente nas seguintes provas
Uma aplicação de R$ 75.000,00 gerou juros simples de R$ 30.000,00 depois de 10 meses. Qual foi a taxa
de juros dessa aplicação?
Provas
Questão presente nas seguintes provas
Hoje, Luizão está no nível 154 em seu jogo online. A cada 3 meses, Luizão sobe 16 níveis no seu jogo. Em
que nível Luizão estará daqui a 10 anos?
Provas
Questão presente nas seguintes provas
Assinale a alternativa que apresenta CORRETAMENTE o valor de x que satisfaz a equação a seguir.

Provas
Questão presente nas seguintes provas
Cartas de amor
Eu era aluno do Júlio de Castilhos e estudava à tarde (as manhãs, naquela época, estavam reservadas
às turmas femininas). Um dia cheguei para a aula, coloquei meus livros na carteira e ali estava, bem no fundo,
um papel cuidadosamente dobrado. Era uma carta; dirigida não a mim, mas “ao colega da tarde”. E era uma
carta de amor. De amor não; de paixão. Paixão fogosa, incontida, transbordante, a carta de uma alma sequiosa
de afeto. À qual o jovem escritor não teve a menor dificuldade de responder.
Iniciou-se assim uma correspondência que se prolongou pelo ano letivo, não se interrompendo nem com
as provas, nem com as férias de julho. À medida que o ano ia chegando a seu fim, os arroubos epistolares iam
crescendo. Cheguei à conclusão de que precisava conhecer a minha misteriosa correspondente, aquela bela
da manhã que me encantava com suas frases.
Mas... Seria realmente bela? A julgar pela letra, sim; eu até a imaginava como uma moça esguia,
morena, de belos olhos verdes. Contudo, nem mesmo os grandes especialistas em grafologia estão imunes ao
erro, e um engano poderia ser trágico. Além disto, eu já tinha uma namorada que não escrevia, mas era
igualmente fogosa.
Optei, portanto, pelo mistério, pelo “nunca te vi, sempre te amei”. A minha história de amor continuou
somente na fantasia. Que é o melhor lugar para as grandes histórias de amor.
(SCLIAR, Moacyr. “Cartas de amor”. In: Minha mãe não entende nada. 2. ed. Porto Alegre: L&PM, 1996. p. 85-86.)
Provas
Questão presente nas seguintes provas
Cartas de amor
Eu era aluno do Júlio de Castilhos e estudava à tarde (as manhãs, naquela época, estavam reservadas
às turmas femininas). Um dia cheguei para a aula, coloquei meus livros na carteira e ali estava, bem no fundo,
um papel cuidadosamente dobrado. Era uma carta; dirigida não a mim, mas “ao colega da tarde”. E era uma
carta de amor. De amor não; de paixão. Paixão fogosa, incontida, transbordante, a carta de uma alma sequiosa
de afeto. À qual o jovem escritor não teve a menor dificuldade de responder.
Iniciou-se assim uma correspondência que se prolongou pelo ano letivo, não se interrompendo nem com
as provas, nem com as férias de julho. À medida que o ano ia chegando a seu fim, os arroubos epistolares iam
crescendo. Cheguei à conclusão de que precisava conhecer a minha misteriosa correspondente, aquela bela
da manhã que me encantava com suas frases.
Mas... Seria realmente bela? A julgar pela letra, sim; eu até a imaginava como uma moça esguia,
morena, de belos olhos verdes. Contudo, nem mesmo os grandes especialistas em grafologia estão imunes ao
erro, e um engano poderia ser trágico. Além disto, eu já tinha uma namorada que não escrevia, mas era
igualmente fogosa.
Optei, portanto, pelo mistério, pelo “nunca te vi, sempre te amei”. A minha história de amor continuou
somente na fantasia. Que é o melhor lugar para as grandes histórias de amor.
(SCLIAR, Moacyr. “Cartas de amor”. In: Minha mãe não entende nada. 2. ed. Porto Alegre: L&PM, 1996. p. 85-86.)
“Eu era aluno do Júlio de Castilhos”.
Assinale a alternativa em que há o mesmo tipo de sujeito do fragmento acima.
Provas
Questão presente nas seguintes provas
Cartas de amor
Eu era aluno do Júlio de Castilhos e estudava à tarde (as manhãs, naquela época, estavam reservadas
às turmas femininas). Um dia cheguei para a aula, coloquei meus livros na carteira e ali estava, bem no fundo,
um papel cuidadosamente dobrado. Era uma carta; dirigida não a mim, mas “ao colega da tarde”. E era uma
carta de amor. De amor não; de paixão. Paixão fogosa, incontida, transbordante, a carta de uma alma sequiosa
de afeto. À qual o jovem escritor não teve a menor dificuldade de responder.
Iniciou-se assim uma correspondência que se prolongou pelo ano letivo, não se interrompendo nem com
as provas, nem com as férias de julho. À medida que o ano ia chegando a seu fim, os arroubos epistolares iam
crescendo. Cheguei à conclusão de que precisava conhecer a minha misteriosa correspondente, aquela bela
da manhã que me encantava com suas frases.
Mas... Seria realmente bela? A julgar pela letra, sim; eu até a imaginava como uma moça esguia,
morena, de belos olhos verdes. Contudo, nem mesmo os grandes especialistas em grafologia estão imunes ao
erro, e um engano poderia ser trágico. Além disto, eu já tinha uma namorada que não escrevia, mas era
igualmente fogosa.
Optei, portanto, pelo mistério, pelo “nunca te vi, sempre te amei”. A minha história de amor continuou
somente na fantasia. Que é o melhor lugar para as grandes histórias de amor.
(SCLIAR, Moacyr. “Cartas de amor”. In: Minha mãe não entende nada. 2. ed. Porto Alegre: L&PM, 1996. p. 85-86.)
Provas
Questão presente nas seguintes provas
Cadernos
Caderno Container