Magna Concursos

Foram encontradas 25 questões.

999073 Ano: 2017
Disciplina: História
Banca: Excelência
Orgão: Pref. Lucélia-SP
Provas:
Sobre a Ditadura Militar no Brasil assinale a alternativa CORRETA que apresenta três fatos ocorridos neste período:
 

Provas

Questão presente nas seguintes provas
999064 Ano: 2017
Disciplina: História
Banca: Excelência
Orgão: Pref. Lucélia-SP
Provas:
A colonização da região do munícipio de Lucélia- SP se iniciou em 1927, com a abertura e formação de fazendas, entre as quais as primeiras delas foram:
 

Provas

Questão presente nas seguintes provas
999063 Ano: 2017
Disciplina: Geografia
Banca: Excelência
Orgão: Pref. Lucélia-SP
Provas:
Assinale a alternativa INCORRETA acerca de alguns aspectos geográficos do estado de São Paulo:
 

Provas

Questão presente nas seguintes provas
999062 Ano: 2017
Disciplina: Geografia
Banca: Excelência
Orgão: Pref. Lucélia-SP
Provas:
O Relevo do município de Lucélia – SP faz parte do: Assinale a alternativa CORRETA:
 

Provas

Questão presente nas seguintes provas
999059 Ano: 2017
Disciplina: Raciocínio Lógico
Banca: Excelência
Orgão: Pref. Lucélia-SP
Provas:
Sejam dois conjuntos C e D tais que C X D = {(1,3), (-1,3), (4,4), (5,5), (-3,3)}. O números de elementos C intersecção com D é:
 

Provas

Questão presente nas seguintes provas
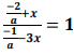
999054 Ano: 2017
Disciplina: Matemática
Banca: Excelência
Orgão: Pref. Lucélia-SP
Provas:

Calcule o valor da expressão enunciado 999054-1 com a ≠ 0

 

Provas

Questão presente nas seguintes provas
999053 Ano: 2017
Disciplina: Matemática
Banca: Excelência
Orgão: Pref. Lucélia-SP
Provas:
A maior raiz da equação enunciado 999053-1
 

Provas

Questão presente nas seguintes provas
999051 Ano: 2017
Disciplina: Matemática
Banca: Excelência
Orgão: Pref. Lucélia-SP
Provas:
Se x = 10/50 então y = 0,333333... Qual é o resultado da operação x + y?
 

Provas

Questão presente nas seguintes provas
999050 Ano: 2017
Disciplina: Matemática
Banca: Excelência
Orgão: Pref. Lucélia-SP
Provas:
Uma maneira de simplificar uma raiz quadrada é a partir da decomposição de fatores primos, utilize seus conhecimentos e assinale a alternativa que simplifique:√360:
 

Provas

Questão presente nas seguintes provas
999049 Ano: 2017
Disciplina: Matemática
Banca: Excelência
Orgão: Pref. Lucélia-SP
Provas:
Qual dos números a seguir é um numero irracional:
 

Provas

Questão presente nas seguintes provas