Foram encontradas 296 questões.
A mediana de um conjunto de dados representa:
Provas
Questão presente nas seguintes provas
Em Estatística, a amplitude de um conjunto de dados é:
Provas
Questão presente nas seguintes provas
Em uma tabela de distribuição de frequências, a
frequência relativa representa:
Provas
Questão presente nas seguintes provas
Em estatística, as medidas de posição são usadas para
indicar um valor que represente ou localize os dados
dentro de um conjunto.
Qual das alternativas abaixo não é considerada uma medida de posição?
Qual das alternativas abaixo não é considerada uma medida de posição?
Provas
Questão presente nas seguintes provas
Seja ABC um triângulo com comprimentos dos lados
AB=13; BC =14; e CA=15; (unidades quaisquer). Seja "I" o
incentro e "0" o circuncentro do triângulo ABC. Com base
nessas informações pode-se concluir que a distância (0I), é dada por:
Provas
Questão presente nas seguintes provas
3840336
Ano: 2025
Disciplina: Matemática Financeira
Banca: Funatec
Orgão: Pref. Jenipapo Vieiras-MA
Disciplina: Matemática Financeira
Banca: Funatec
Orgão: Pref. Jenipapo Vieiras-MA
Provas:
Um investidor aplica R$ 1.000,00 em um fundo que rende
10% ao mês, com capitalização composta mensal. O
valor acumulado ao final de 6 meses será
aproximadamente:
Provas
Questão presente nas seguintes provas
Uma empresa oferece a um funcionário um bônus anual
que segue uma progressão aritmética. No primeiro ano, o
bônus foi de R$ 3.000,00 e, no quarto ano, o bônus foi de
R$ 4.500,00. Supondo que a progressão continue da
mesma forma, qual será o valor total recebido em bônus
ao longo dos 10 primeiros anos de trabalho?
Provas
Questão presente nas seguintes provas
Uma empresa irá criar crachás para um evento. Cada
crachá terá:
• Um símbolo escolhido entre 5 diferentes; • Uma cor de fundo escolhida entre 4 opções; • Um código numérico de 3 dígitos, podendo haver repetição de dígitos.
Quantos crachás diferentes podem ser produzidos?
• Um símbolo escolhido entre 5 diferentes; • Uma cor de fundo escolhida entre 4 opções; • Um código numérico de 3 dígitos, podendo haver repetição de dígitos.
Quantos crachás diferentes podem ser produzidos?
Provas
Questão presente nas seguintes provas
Uma senha de um sistema bancário é formada por 3
letras maiúsculas diferentes seguidas de 2 dígitos
distintos (de 0 a 9). Quantas senhas distintas podem ser
formadas?
Provas
Questão presente nas seguintes provas
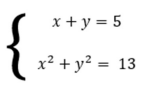
Considere o sistema de equações no conjunto dos números reais:

Assinale corretamente o valor do produto ![]()
Provas
Questão presente nas seguintes provas
Cadernos
Caderno Container