Foram encontradas 40 questões.
- Crédito TributárioSuspensão do Crédito TributárioDepósito do montante integral
- Crédito TributárioExtinção do Crédito TributárioTransação
- Crédito TributárioExtinção do Crédito TributárioPagamento
- Crédito TributárioExtinção do Crédito TributárioDecadência
- Processo Tributário e Execução FiscalProcesso JudicialAções AntiexacionaisAção de Consignação em PagamentoSentença e Conversão do Depósito em Renda
De acordo com o Código Tributário Nacional, é
considerada uma causa de suspensão da exigibilidade
do crédito tributário:
Provas
Questão presente nas seguintes provas
2799664
Ano: 2023
Disciplina: Ética na Administração Pública
Banca: FURB
Orgão: Pref. Jaraguá do Sul-SC
Disciplina: Ética na Administração Pública
Banca: FURB
Orgão: Pref. Jaraguá do Sul-SC
Provas:
Independentemente do nível hierárquico, as relações
humanas devem ser pautadas no respeito. Existe algo
sagrado em todo ser humano chamado de dignidade
humana. Na Constituição Federal, está prevista no artigo
1º, especificadamente no inciso III, constituindo-se como
um dos fundamentos do Estado democrático de Direito,
inerente à República Federativa do Brasil. Seu objetivo é
assegurar ao homem um mínimo de direitos que devem
ser respeitados pela sociedade e pelo poder público, no
sentido de preservar a valorização do ser humano. Ou
seja, relações de trabalho desrespeitosas são uma das
formas de desvalorizar os colaboradores, de forma
profunda, ferindo sua dignidade humana, além de ser
algo que impacta no convívio diário, pois quem é
desvalorizado sente-se desmotivado.
(Disponível em: https://curtlink.com/Zl2Mlaq. Adaptado.)
Qual é a importância da dignidade humana nas relações de trabalho, de acordo com o texto?
(Disponível em: https://curtlink.com/Zl2Mlaq. Adaptado.)
Qual é a importância da dignidade humana nas relações de trabalho, de acordo com o texto?
Provas
Questão presente nas seguintes provas
2799663
Ano: 2023
Disciplina: Ética na Administração Pública
Banca: FURB
Orgão: Pref. Jaraguá do Sul-SC
Disciplina: Ética na Administração Pública
Banca: FURB
Orgão: Pref. Jaraguá do Sul-SC
Provas:
Os servidores públicos têm um vínculo de trabalho
profissional com órgãos e entidades do governo. Dentro
do setor público, todas as atividades do governo afetam
a vida de um país. Por isso, é necessário que os
servidores apliquem os valores éticos para que os
cidadãos possam acreditar na eficiência dos serviços
públicos. Existem normas de conduta que norteiam o
comportamento do servidor, dentre elas, estão os
códigos de ética. Assim, é missão deles serem leais aos
princípios éticos e às leis acima das vantagens
financeiras do cargo e ou qualquer outro interesse
particular. As próprias leis têm sanções e mecanismos
que penalizam servidores públicos que ajam em
desacordo com suas atividades. Um exemplo disso é a
Lei de Improbidade Administrativa.
(Disponível em: https://servidores.rh.gov.br/artigo-etica-no-servico-publico. Adaptado).
De acordo com o texto, qual é a importância da ética para os servidores públicos?
(Disponível em: https://servidores.rh.gov.br/artigo-etica-no-servico-publico. Adaptado).
De acordo com o texto, qual é a importância da ética para os servidores públicos?
Provas
Questão presente nas seguintes provas
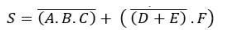
Analise o circuito lógico a seguir:

Assinale a alternativa que representa a sua respectiva expressão boleana:
Provas
Questão presente nas seguintes provas
A norma NBR-5410 estabelece as condições que devem
satisfazer as instalações elétricas de baixa tensão, a fim
de garantir a segurança de pessoas e animais, o
funcionamento adequado da instalação e a conservação
dos bens. Sobre essa norma, analise as afirmações a
seguir:
I.As pessoas e os animais devem ser protegidos contra choques elétricos, seja o risco associado ao contato acidental com parte viva perigosa, seja a falhas que possam colocar uma massa acidentalmente sob tensão.
II.É vedada a aplicação de solda a estanho na terminação de condutores, para conectá-los a bornes ou terminais de dispositivos ou equipamentos elétricos.
III.Dentro dos eletrodutos, os condutores devem formar trechos contínuos entre as caixas, admitindo-se emendas e derivações em qualquer local. Condutores emendados cuja isolação tenha sido recomposta com fita isolante ou outro material podem ser enfiados em eletrodutos.
IV.As linhas elétricas enterradas devem ser sinalizadas, ao longo de toda a sua extensão, por um elemento de advertência (por exemplo, fita colorida) não sujeito a deterioração, situado, no mínimo, a 0,10m acima da linha.
É correto o que se afirma em:
I.As pessoas e os animais devem ser protegidos contra choques elétricos, seja o risco associado ao contato acidental com parte viva perigosa, seja a falhas que possam colocar uma massa acidentalmente sob tensão.
II.É vedada a aplicação de solda a estanho na terminação de condutores, para conectá-los a bornes ou terminais de dispositivos ou equipamentos elétricos.
III.Dentro dos eletrodutos, os condutores devem formar trechos contínuos entre as caixas, admitindo-se emendas e derivações em qualquer local. Condutores emendados cuja isolação tenha sido recomposta com fita isolante ou outro material podem ser enfiados em eletrodutos.
IV.As linhas elétricas enterradas devem ser sinalizadas, ao longo de toda a sua extensão, por um elemento de advertência (por exemplo, fita colorida) não sujeito a deterioração, situado, no mínimo, a 0,10m acima da linha.
É correto o que se afirma em:
Provas
Questão presente nas seguintes provas
No Software de Projetos AutoCAD da Autodesk inc.,
existe uma variedade imensa de comandos. Considere
os símbolos dos comandos da barra a seguir e suas
funções:

Isso posto, assinale a alternativa que apresenta correta e respectivamente a sequência das funções desses comandos:
Isso posto, assinale a alternativa que apresenta correta e respectivamente a sequência das funções desses comandos:
Provas
Questão presente nas seguintes provas
Analise o circuito a seguir:

,Assinale a alternativa que representa o valor correto da resistência equivalente entre os pontos "A" e "B":
Provas
Questão presente nas seguintes provas
![]()
Assinale a alternativa que representa o circuito lógico correspondente a ela:
Provas
Questão presente nas seguintes provas
Em um primeiro circuito trifásico de 380Vac equilibrado,
foi medida, em uma das fases, uma corrente elétrica de
12A. Em um segundo circuito monofásico de 220Vac, foi
medida uma corrente elétrica de 30A. Assinale a
alternativa correta:
Provas
Questão presente nas seguintes provas
Em um circuito trifásico de 440V 60HZ, foi medida uma
potência de 12,4 kVA e um fator de potência de 0,85 -
atrasado. Assinale a alternativa que representa o valor
correto da potência ativa desse circuito:
Provas
Questão presente nas seguintes provas
Cadernos
Caderno Container