Foram encontradas 670 questões.
Com base em diferentes tipos de indicadores, existem métodos distintos para determinação volumétrica de cloreto com íons prata. O método em que o haleto é titulado com uma solução-padrão de nitrato de prata, tendo o cromato de potássio como indicador, é chamado método de
Provas
Além da polaridade e das ligações de hidrogênio, outros fatores como a compactação, a rigidez e a simetria das moléculas individuais afetam o ponto de fusão das substâncias orgânicas. Considere os álcoois representados a seguir.
\( \begin{matrix} \, \, \, \, \, \, \, \, \, CH_3 \\ \quad \, \, | \\ CH_3CH_2CHOH \end{matrix} \) \( \begin{matrix}\quad \, CH_3 \\ | \\ \quad \quad CH_3CHCH_2OH \end{matrix} \) \( CH_3CH_2CH_2CH_2OH \) \( \begin{matrix} CH_3 \\ | \\ CH_3 - C - OH \\ | \\ CH_3 \end{matrix} \)
A ordem crescente para os pontos de fusão desses compostos é:
Provas
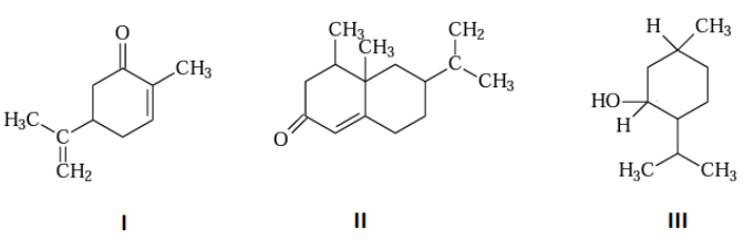
As estruturas químicas dos compostos obtidos do óleo de hortelã comum, da toranja e da hortelã-pimenta são representados pelas estruturas I, II e III a seguir.

A quantidade de carbonos quirais para as estruturas I, II e III é, respectivamente
Provas
O gráfico a seguir mostra a relação entre a densidade e a temperatura para a água no estado líquido e sólido.
densidade g/cm³ 
Temperatura (ºc)
De acordo com as informações apresentadas no gráfico,
Provas
Dentre as normas de segurança em laboratórios químicos, tem-se que não se deve adicionar água em ácido concentrado, devendo-se sempre despejar lentamente o ácido sobre a água. A explicação para tal orientação tem relação com o fato de que
Provas
O esquema a seguir, apresenta uma reação de um alceno (2- Metilpropeno) com um haleto de hidrogênio, levando a dois produtos distintos, a partir da presença ou ausência de um peróxido.
\( \begin{matrix} \quad \quad \quad CH_3 - C = CH - CH_3 \\ | \\ CH_3 \end{matrix} \) 
Qual o haleto de hidrogênio forma um produto a partir da adição inversa de Markovnikov?
Provas
A figura a seguir representa uma amina aromática conhecida como anilina, com grande importância industrial.

Um rearranjo importante na anilina, que tem relação com o aumento ou a diminuição de sua basicidade, é o efeito do substituinte no anel aromático. Qual dos grupos substituintes a seguir é responsável pelo aumento da basicidade da anilina?
Provas
A segunda lei da Termodinâmica, em linhas gerais, nos diz que a entropia de um sistema isolado tende a aumentar a partir de uma mudança espontânea, ou seja, o universo procura estados de maior entropia. Ainda dentro da segunda lei, há uma relação direta entre a entropia e a energia livre de Gibbs. Dessa forma, quando o processo é
Provas
Em várias cidades brasileiras, é muito comum que as crianças façam um suco, às vezes artificial, às vezes natural, e depois levem ao congelador em formas de gelo para produzirem seus próprios picolés. Um grupo de crianças levou, ao congelador, várias formas de 10 mL de suco de uva, sendo, cada forma, um picolé. O congelador estava a -5 ºC, ideal para formação do picolé, mas o suco foi feito em uma cozinha à temperatura de +35 ºC. Suponha que a densidade e a capacidade calorífica do suco sejam iguais às da água (Cágua = 4,2 J. g-1. K-2). A quantidade de calor e sua respectiva direção de transferência que representam a preparação de 5 picolés é:
Provas
Uma importante técnica eletroanalítica é a voltametria. Nela, a voltagem do eletrodo de trabalho varia sistematicamente enquanto a resposta da corrente é medida. Essas relações/funções voltagem/tempo são conhecidas como sinais de excitação. A seguir, são apresentados gráficos de sinais de excitação de quatro técnicas voltamétricas.

Os sinais de excitação representados pelos gráficos 1, 2, 3 e 4, correspondem, respectivamente, às técnicas de
Provas
Caderno Container