Magna Concursos

Foram encontradas 40 questões.

3829165 Ano: 2024
Disciplina: Matemática Financeira
Banca: FAFIPA
Orgão: Pref. Guarapuava-PR
Em uma empresa especializada na produção de chocolates, o CEO decidiu reduzir o tamanho de seu chocolate em 10%, porém, mantendo o preço de venda como antes. Cada chocolate custa, ao vendedor, R$ 4,60, porém, o vendedor precisará reajustar o valor ao consumidor visto que este perceberá que estará levando para casa um chocolate menor do que antes. O vendedor possui, em estoque, 55 chocolates originais e, neste momento, adquiriu 100 chocolates no novo formato. Sabendo-se que anteriormente seu lucro era de 20% e, afim de ser totalmente justo com seu cliente e repassar o reajuste correto, seu lucro na venda desses 155 chocolates será um valor:
 

Provas

Questão presente nas seguintes provas
3829164 Ano: 2024
Disciplina: Matemática
Banca: FAFIPA
Orgão: Pref. Guarapuava-PR

Considerando:

Enunciado 4748420-1

pode-se afirmar que:

 

Provas

Questão presente nas seguintes provas
3829163 Ano: 2024
Disciplina: Matemática
Banca: FAFIPA
Orgão: Pref. Guarapuava-PR
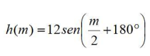
Um túnel será construído no interior de uma montanha. Para isso, serão necessários vários cálculos de engenharia afim de não cometer-se nenhum erro. Feitos todos os cálculos, começar-se-á a obra, utilizando-se o chamado "tatu", que é um maquinário enorme utilizado em perfurações. Esse tatu é programado para seguir uma rota precisa em sua perfuração, tendo como base os estudos feitos previamente. Em determinado momento, após perfurar 60 metros, o tatu ascende em sua trajetória, passando a obedece-la segundo a função a seguir.

Enunciado 4748419-1

Sendo h a altura atingida pelo tatu em m metros de perfuração, sendo 0,5m medido em graus, dessa forma, após o tatu perfurar 540 metros de túnel, pode-se afirmar que ele estará a uma altura que corresponde a um valor:
 

Provas

Questão presente nas seguintes provas
3829162 Ano: 2024
Disciplina: Matemática
Banca: FAFIPA
Orgão: Pref. Guarapuava-PR
Às 19h00, em uma casa de jogos, há 90 pessoas. Neste momento, a probabilidade de uma mulher ganhar é 1,25 vezes maior do que a de um homem ganhar. Caso 18 pessoas deixem o local às 20h00, sendo, destas, duas mulheres, a probabilidade de uma mulher ganhar passará a ser o dobro das chances de um homem ganhar. Assim sendo, podemos afirmar que o número de homens nesta casa às 19h45 é:
 

Provas

Questão presente nas seguintes provas
3829161 Ano: 2024
Disciplina: Matemática
Banca: FAFIPA
Orgão: Pref. Guarapuava-PR
Rodolfo trabalha fabricando queijos de segunda a sábado, para isso, recolhe, todos os dias, 60 litros de leite de vaca. Seu queijo tem a tradição de ser bastante concentrado e, utilizando 6 litros, ele fabrica 1,5 kg de queijo. Porém, para facilitar o acesso ao consumidor, ele reparte seu queijo em pedaços de 300 g e embala esses pedacinhos em quintetos para vender. Cada embalagem custa R$ 40,00. Mediante a todas essas informações, pode-se afirmar que Rodolfo arrecada, semanalmente, com a venda de queijos, um valor:
 

Provas

Questão presente nas seguintes provas
3829160 Ano: 2024
Disciplina: Português
Banca: FAFIPA
Orgão: Pref. Guarapuava-PR
Moradores de cidades com maior espaço verde têm melhor saúde mental
Achado é de pesquisa que mostrou que, quanto maior o contato com a natureza, menor a chance de desenvolver transtornos mentais
Gabriela Maraccini, 23/02/2024 às 11:47
Morar em cidade grande com maiores espaços de área verde, como parques, praças públicas e jardins, pode ser benéfico para a saúde mental. Um novo estudo mostrou que moradores de áreas urbanas que são mais expostos a espaços verdes apresentam melhor bem-estar mental. O estudo foi publicado no "International Journal of Environmental Research and Public Health" no início de fevereiro e mostrou que, quanto maior a exposição a áreas verdes urbanas, menor é a necessidade de serviços de saúde mental, como consultas com psiquiatras e tratamentos para transtornos mentais.
Para chegar a essa conclusão, os pesquisadores da Escola de Saúde Pública da Texas A&M University usaram uma ferramenta chamada NatureScore, que usa vários conjuntos de dados relacionados a poluição atmosférica, sonora e luminosa, presença de parques e copas de árvores para calcular a quantidade e qualidade de elementos naturais para qualquer endereço conhecido nos Estados Unidos e outros países do mundo.
O NatureScore avalia a qualidade da exposição à natureza de acordo com a seguinte pontuação: deficiente: 0 a 19 pontos; leve: de 20 a 40 pontos; adequada: de 40 a 60 pontos; rica: de 60 a 80 pontos; utópica: de 80 a 100 pontos.
"A associação entre a exposição à natureza e uma melhor saúde mental está bem estabelecida nos Estados Unidos e em outros lugares, mas a maioria dos estudos utiliza apenas uma ou duas medições desta exposição", disse Jay Maddock, um dos autores do estudo em comunicado à imprensa. "Nosso estudo foi o primeiro a usar o NatureScore, que fornece dados mais complexos, para estudar a correlação entre a exposição à natureza urbana e a saúde mental"
Os investigadores também usaram dados sobre consultas de saúde mental contidos nos arquivos de dados públicos de pacientes ambulatoriais do Texas Hospital, de 2014 a 2019. Neles, havia informações como idade, sexo, raça/etnia, escolarização, situação profissional e socioeconômica, diagnóstico e CEP do paciente. Ainda assim, a identidade dos pacientes não foi divulgada. Foram selecionados um total de 61.391.400 consultas ambulatoriais de adultos em cidades do Texas para depressão, transtornos bipolares, estresse e ansiedade. Além disso, a pesquisa incluiu dados de 1.169 endereços na área urbana do Texas, cuja nota média do NatureScore era de 85,8 pontos. Metade dos CEPs tinha notas elevadas (acima de 80 pontos) e cerca de 22% tinham notas abaixo de 40 pontos.
Resultados do estudo
De acordo com o estudo, quanto maior era a pontuação de um bairro no NatureScore, menor era a tendência de os moradores fazerem consultas ambulatoriais devido à saúde mental. Segundo os resultados, as taxas de consultas médicas foram 50% menores em bairros com pontuação acima de 60 pontos, em comparação com bairros que possuem pontuação mais baixa. "Descobrimos que um NatureScore acima de 40 – considerado adequado – parece ser o limite para uma boa saúde mental", disse Maddock. "As pessoas nesses bairros têm uma probabilidade 51% menor de desenvolver depressão e uma probabilidade 63% menor de desenvolver transtornos bipolares".
Para Omar M. Makram, principal autor do estudo, essas descobertas podem ter implicações importantes para o planejamento urbano. "Aumentar os espaços verdes nas cidades poderia promover o bem-estar e a saúde mental, o que é extremamente importante, dado que mais de 22% da população adulta nos Estados Unidos sofre de um distúrbio de saúde mental", disse ele, em comunicado.
Determine o sentido CORRETO expresso pelos conectores utilizados na coesão do texto.
 

Provas

Questão presente nas seguintes provas
3829159 Ano: 2024
Disciplina: Português
Banca: FAFIPA
Orgão: Pref. Guarapuava-PR
Moradores de cidades com maior espaço verde têm melhor saúde mental
Achado é de pesquisa que mostrou que, quanto maior o contato com a natureza, menor a chance de desenvolver transtornos mentais
Gabriela Maraccini, 23/02/2024 às 11:47
Morar em cidade grande com maiores espaços de área verde, como parques, praças públicas e jardins, pode ser benéfico para a saúde mental. Um novo estudo mostrou que moradores de áreas urbanas que são mais expostos a espaços verdes apresentam melhor bem-estar mental. O estudo foi publicado no "International Journal of Environmental Research and Public Health" no início de fevereiro e mostrou que, quanto maior a exposição a áreas verdes urbanas, menor é a necessidade de serviços de saúde mental, como consultas com psiquiatras e tratamentos para transtornos mentais.
Para chegar a essa conclusão, os pesquisadores da Escola de Saúde Pública da Texas A&M University usaram uma ferramenta chamada NatureScore, que usa vários conjuntos de dados relacionados a poluição atmosférica, sonora e luminosa, presença de parques e copas de árvores para calcular a quantidade e qualidade de elementos naturais para qualquer endereço conhecido nos Estados Unidos e outros países do mundo.
O NatureScore avalia a qualidade da exposição à natureza de acordo com a seguinte pontuação: deficiente: 0 a 19 pontos; leve: de 20 a 40 pontos; adequada: de 40 a 60 pontos; rica: de 60 a 80 pontos; utópica: de 80 a 100 pontos.
"A associação entre a exposição à natureza e uma melhor saúde mental está bem estabelecida nos Estados Unidos e em outros lugares, mas a maioria dos estudos utiliza apenas uma ou duas medições desta exposição", disse Jay Maddock, um dos autores do estudo em comunicado à imprensa. "Nosso estudo foi o primeiro a usar o NatureScore, que fornece dados mais complexos, para estudar a correlação entre a exposição à natureza urbana e a saúde mental"
Os investigadores também usaram dados sobre consultas de saúde mental contidos nos arquivos de dados públicos de pacientes ambulatoriais do Texas Hospital, de 2014 a 2019. Neles, havia informações como idade, sexo, raça/etnia, escolarização, situação profissional e socioeconômica, diagnóstico e CEP do paciente. Ainda assim, a identidade dos pacientes não foi divulgada. Foram selecionados um total de 61.391.400 consultas ambulatoriais de adultos em cidades do Texas para depressão, transtornos bipolares, estresse e ansiedade. Além disso, a pesquisa incluiu dados de 1.169 endereços na área urbana do Texas, cuja nota média do NatureScore era de 85,8 pontos. Metade dos CEPs tinha notas elevadas (acima de 80 pontos) e cerca de 22% tinham notas abaixo de 40 pontos.
Resultados do estudo
De acordo com o estudo, quanto maior era a pontuação de um bairro no NatureScore, menor era a tendência de os moradores fazerem consultas ambulatoriais devido à saúde mental. Segundo os resultados, as taxas de consultas médicas foram 50% menores em bairros com pontuação acima de 60 pontos, em comparação com bairros que possuem pontuação mais baixa. "Descobrimos que um NatureScore acima de 40 – considerado adequado – parece ser o limite para uma boa saúde mental", disse Maddock. "As pessoas nesses bairros têm uma probabilidade 51% menor de desenvolver depressão e uma probabilidade 63% menor de desenvolver transtornos bipolares".
Para Omar M. Makram, principal autor do estudo, essas descobertas podem ter implicações importantes para o planejamento urbano. "Aumentar os espaços verdes nas cidades poderia promover o bem-estar e a saúde mental, o que é extremamente importante, dado que mais de 22% da população adulta nos Estados Unidos sofre de um distúrbio de saúde mental", disse ele, em comunicado.
Sobre a concordância verbal, assinale a alternativa CORRETA.
 

Provas

Questão presente nas seguintes provas
3829158 Ano: 2024
Disciplina: Português
Banca: FAFIPA
Orgão: Pref. Guarapuava-PR
Moradores de cidades com maior espaço verde têm melhor saúde mental
Achado é de pesquisa que mostrou que, quanto maior o contato com a natureza, menor a chance de desenvolver transtornos mentais
Gabriela Maraccini, 23/02/2024 às 11:47
Morar em cidade grande com maiores espaços de área verde, como parques, praças públicas e jardins, pode ser benéfico para a saúde mental. Um novo estudo mostrou que moradores de áreas urbanas que são mais expostos a espaços verdes apresentam melhor bem-estar mental. O estudo foi publicado no "International Journal of Environmental Research and Public Health" no início de fevereiro e mostrou que, quanto maior a exposição a áreas verdes urbanas, menor é a necessidade de serviços de saúde mental, como consultas com psiquiatras e tratamentos para transtornos mentais.
Para chegar a essa conclusão, os pesquisadores da Escola de Saúde Pública da Texas A&M University usaram uma ferramenta chamada NatureScore, que usa vários conjuntos de dados relacionados a poluição atmosférica, sonora e luminosa, presença de parques e copas de árvores para calcular a quantidade e qualidade de elementos naturais para qualquer endereço conhecido nos Estados Unidos e outros países do mundo.
O NatureScore avalia a qualidade da exposição à natureza de acordo com a seguinte pontuação: deficiente: 0 a 19 pontos; leve: de 20 a 40 pontos; adequada: de 40 a 60 pontos; rica: de 60 a 80 pontos; utópica: de 80 a 100 pontos.
"A associação entre a exposição à natureza e uma melhor saúde mental está bem estabelecida nos Estados Unidos e em outros lugares, mas a maioria dos estudos utiliza apenas uma ou duas medições desta exposição", disse Jay Maddock, um dos autores do estudo em comunicado à imprensa. "Nosso estudo foi o primeiro a usar o NatureScore, que fornece dados mais complexos, para estudar a correlação entre a exposição à natureza urbana e a saúde mental"
Os investigadores também usaram dados sobre consultas de saúde mental contidos nos arquivos de dados públicos de pacientes ambulatoriais do Texas Hospital, de 2014 a 2019. Neles, havia informações como idade, sexo, raça/etnia, escolarização, situação profissional e socioeconômica, diagnóstico e CEP do paciente. Ainda assim, a identidade dos pacientes não foi divulgada. Foram selecionados um total de 61.391.400 consultas ambulatoriais de adultos em cidades do Texas para depressão, transtornos bipolares, estresse e ansiedade. Além disso, a pesquisa incluiu dados de 1.169 endereços na área urbana do Texas, cuja nota média do NatureScore era de 85,8 pontos. Metade dos CEPs tinha notas elevadas (acima de 80 pontos) e cerca de 22% tinham notas abaixo de 40 pontos.
Resultados do estudo
De acordo com o estudo, quanto maior era a pontuação de um bairro no NatureScore, menor era a tendência de os moradores fazerem consultas ambulatoriais devido à saúde mental. Segundo os resultados, as taxas de consultas médicas foram 50% menores em bairros com pontuação acima de 60 pontos, em comparação com bairros que possuem pontuação mais baixa. "Descobrimos que um NatureScore acima de 40 – considerado adequado – parece ser o limite para uma boa saúde mental", disse Maddock. "As pessoas nesses bairros têm uma probabilidade 51% menor de desenvolver depressão e uma probabilidade 63% menor de desenvolver transtornos bipolares".
Para Omar M. Makram, principal autor do estudo, essas descobertas podem ter implicações importantes para o planejamento urbano. "Aumentar os espaços verdes nas cidades poderia promover o bem-estar e a saúde mental, o que é extremamente importante, dado que mais de 22% da população adulta nos Estados Unidos sofre de um distúrbio de saúde mental", disse ele, em comunicado.
Assinale a alternativa que apresenta a relação CORRETA estabelecida pelos pronomes no texto.
 

Provas

Questão presente nas seguintes provas
3829157 Ano: 2024
Disciplina: Português
Banca: FAFIPA
Orgão: Pref. Guarapuava-PR
Moradores de cidades com maior espaço verde têm melhor saúde mental
Achado é de pesquisa que mostrou que, quanto maior o contato com a natureza, menor a chance de desenvolver transtornos mentais
Gabriela Maraccini, 23/02/2024 às 11:47
Morar em cidade grande com maiores espaços de área verde, como parques, praças públicas e jardins, pode ser benéfico para a saúde mental. Um novo estudo mostrou que moradores de áreas urbanas que são mais expostos a espaços verdes apresentam melhor bem-estar mental. O estudo foi publicado no "International Journal of Environmental Research and Public Health" no início de fevereiro e mostrou que, quanto maior a exposição a áreas verdes urbanas, menor é a necessidade de serviços de saúde mental, como consultas com psiquiatras e tratamentos para transtornos mentais.
Para chegar a essa conclusão, os pesquisadores da Escola de Saúde Pública da Texas A&M University usaram uma ferramenta chamada NatureScore, que usa vários conjuntos de dados relacionados a poluição atmosférica, sonora e luminosa, presença de parques e copas de árvores para calcular a quantidade e qualidade de elementos naturais para qualquer endereço conhecido nos Estados Unidos e outros países do mundo.
O NatureScore avalia a qualidade da exposição à natureza de acordo com a seguinte pontuação: deficiente: 0 a 19 pontos; leve: de 20 a 40 pontos; adequada: de 40 a 60 pontos; rica: de 60 a 80 pontos; utópica: de 80 a 100 pontos.
"A associação entre a exposição à natureza e uma melhor saúde mental está bem estabelecida nos Estados Unidos e em outros lugares, mas a maioria dos estudos utiliza apenas uma ou duas medições desta exposição", disse Jay Maddock, um dos autores do estudo em comunicado à imprensa. "Nosso estudo foi o primeiro a usar o NatureScore, que fornece dados mais complexos, para estudar a correlação entre a exposição à natureza urbana e a saúde mental"
Os investigadores também usaram dados sobre consultas de saúde mental contidos nos arquivos de dados públicos de pacientes ambulatoriais do Texas Hospital, de 2014 a 2019. Neles, havia informações como idade, sexo, raça/etnia, escolarização, situação profissional e socioeconômica, diagnóstico e CEP do paciente. Ainda assim, a identidade dos pacientes não foi divulgada. Foram selecionados um total de 61.391.400 consultas ambulatoriais de adultos em cidades do Texas para depressão, transtornos bipolares, estresse e ansiedade. Além disso, a pesquisa incluiu dados de 1.169 endereços na área urbana do Texas, cuja nota média do NatureScore era de 85,8 pontos. Metade dos CEPs tinha notas elevadas (acima de 80 pontos) e cerca de 22% tinham notas abaixo de 40 pontos.
Resultados do estudo
De acordo com o estudo, quanto maior era a pontuação de um bairro no NatureScore, menor era a tendência de os moradores fazerem consultas ambulatoriais devido à saúde mental. Segundo os resultados, as taxas de consultas médicas foram 50% menores em bairros com pontuação acima de 60 pontos, em comparação com bairros que possuem pontuação mais baixa. "Descobrimos que um NatureScore acima de 40 – considerado adequado – parece ser o limite para uma boa saúde mental", disse Maddock. "As pessoas nesses bairros têm uma probabilidade 51% menor de desenvolver depressão e uma probabilidade 63% menor de desenvolver transtornos bipolares".
Para Omar M. Makram, principal autor do estudo, essas descobertas podem ter implicações importantes para o planejamento urbano. "Aumentar os espaços verdes nas cidades poderia promover o bem-estar e a saúde mental, o que é extremamente importante, dado que mais de 22% da população adulta nos Estados Unidos sofre de um distúrbio de saúde mental", disse ele, em comunicado.
A palavra "Achado", na submanchete da notícia, expressa qual sentido acerca da manchete?
 

Provas

Questão presente nas seguintes provas
3829156 Ano: 2024
Disciplina: Português
Banca: FAFIPA
Orgão: Pref. Guarapuava-PR
Moradores de cidades com maior espaço verde têm melhor saúde mental
Achado é de pesquisa que mostrou que, quanto maior o contato com a natureza, menor a chance de desenvolver transtornos mentais
Gabriela Maraccini, 23/02/2024 às 11:47
Morar em cidade grande com maiores espaços de área verde, como parques, praças públicas e jardins, pode ser benéfico para a saúde mental. Um novo estudo mostrou que moradores de áreas urbanas que são mais expostos a espaços verdes apresentam melhor bem-estar mental. O estudo foi publicado no "International Journal of Environmental Research and Public Health" no início de fevereiro e mostrou que, quanto maior a exposição a áreas verdes urbanas, menor é a necessidade de serviços de saúde mental, como consultas com psiquiatras e tratamentos para transtornos mentais.
Para chegar a essa conclusão, os pesquisadores da Escola de Saúde Pública da Texas A&M University usaram uma ferramenta chamada NatureScore, que usa vários conjuntos de dados relacionados a poluição atmosférica, sonora e luminosa, presença de parques e copas de árvores para calcular a quantidade e qualidade de elementos naturais para qualquer endereço conhecido nos Estados Unidos e outros países do mundo.
O NatureScore avalia a qualidade da exposição à natureza de acordo com a seguinte pontuação: deficiente: 0 a 19 pontos; leve: de 20 a 40 pontos; adequada: de 40 a 60 pontos; rica: de 60 a 80 pontos; utópica: de 80 a 100 pontos.
"A associação entre a exposição à natureza e uma melhor saúde mental está bem estabelecida nos Estados Unidos e em outros lugares, mas a maioria dos estudos utiliza apenas uma ou duas medições desta exposição", disse Jay Maddock, um dos autores do estudo em comunicado à imprensa. "Nosso estudo foi o primeiro a usar o NatureScore, que fornece dados mais complexos, para estudar a correlação entre a exposição à natureza urbana e a saúde mental"
Os investigadores também usaram dados sobre consultas de saúde mental contidos nos arquivos de dados públicos de pacientes ambulatoriais do Texas Hospital, de 2014 a 2019. Neles, havia informações como idade, sexo, raça/etnia, escolarização, situação profissional e socioeconômica, diagnóstico e CEP do paciente. Ainda assim, a identidade dos pacientes não foi divulgada. Foram selecionados um total de 61.391.400 consultas ambulatoriais de adultos em cidades do Texas para depressão, transtornos bipolares, estresse e ansiedade. Além disso, a pesquisa incluiu dados de 1.169 endereços na área urbana do Texas, cuja nota média do NatureScore era de 85,8 pontos. Metade dos CEPs tinha notas elevadas (acima de 80 pontos) e cerca de 22% tinham notas abaixo de 40 pontos.
Resultados do estudo
De acordo com o estudo, quanto maior era a pontuação de um bairro no NatureScore, menor era a tendência de os moradores fazerem consultas ambulatoriais devido à saúde mental. Segundo os resultados, as taxas de consultas médicas foram 50% menores em bairros com pontuação acima de 60 pontos, em comparação com bairros que possuem pontuação mais baixa. "Descobrimos que um NatureScore acima de 40 – considerado adequado – parece ser o limite para uma boa saúde mental", disse Maddock. "As pessoas nesses bairros têm uma probabilidade 51% menor de desenvolver depressão e uma probabilidade 63% menor de desenvolver transtornos bipolares".
Para Omar M. Makram, principal autor do estudo, essas descobertas podem ter implicações importantes para o planejamento urbano. "Aumentar os espaços verdes nas cidades poderia promover o bem-estar e a saúde mental, o que é extremamente importante, dado que mais de 22% da população adulta nos Estados Unidos sofre de um distúrbio de saúde mental", disse ele, em comunicado.
A partir da leitura do texto, é CORRETO afirmar que:
 

Provas

Questão presente nas seguintes provas