Foram encontradas 260 questões.
Luciana é professora de matemática e está fazendo uma gincana com seus alunos.
Ela disse para os alunos “o número que procuram é o produto entre o mínimo múltiplo comum entre
os números 20 e 15 e o máximo divisor comum entre os números 10 e 12”, o número que os alunos
devem encontrar é:
Provas
Questão presente nas seguintes provas
Samanta assiste televisão por 210 minutos por dia. Considerando que Samanta
mantenha esse tempo diário, quanto tempo de televisão ela assistirá após 15 dias?
Provas
Questão presente nas seguintes provas
No dia 01 de maio Alexandre estava com saldo negativo no banco de R$ 1.200,00.
No dia 05 de maio, Alexandre recebeu R$ 5.000,00 referente ao seu salário. Após receber seu salário,
Alexandre destinou 15% do seu saldo para a poupança e o restante pagou suas contas. Considerando
que não houve outras movimentações na conta de Alexandre, qual valor ele destinou à poupança?
Provas
Questão presente nas seguintes provas
A alternativa que apresenta todos os divisores naturais do número 18 é:
Provas
Questão presente nas seguintes provas
Um capital de R$ 27.000,00 foi aplicado durante 12 meses a juros simples de 3%
a.m. Ao final de 12 meses, o montante é de:
Provas
Questão presente nas seguintes provas
Marcos trabalha em um açougue. Um certo dia um cliente solicitou 1,3 kg de carne
moída. Marcos pesou primeiramente 935 g. Quantos quilogramas de carne moída Marcos deve
adicionar à balança para completar a quantidade desejada pelo cliente?
Provas
Questão presente nas seguintes provas
Fábio costuma correr 4 vezes por semana. Em uma determinada semana, Fábio quis
saber quantos quilômetros ele corre em média, por dia, e anotou seus treinos diários em uma planilha,
conforme a seguir:
A média diária, em quilômetros, que Fábio correu na referida semana foi:
A média diária, em quilômetros, que Fábio correu na referida semana foi:
Provas
Questão presente nas seguintes provas
Considerando f(x) = 3x – 4 e g(x) = x + 3, o valor de f(3) – g(-4) é igual a:
Provas
Questão presente nas seguintes provas
Um terreno retangular medindo 42 metros de comprimento e 25 metros de largura
será divido igualmente entre dois irmãos, Carlos e Luciano. Qual a área, em metros quadrados, que
cada irmão receberá?
Provas
Questão presente nas seguintes provas
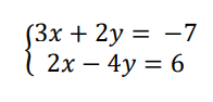
Considerando o sistema de equação de 1° grau a seguir, os valores de x e y são, respectivamente:

Provas
Questão presente nas seguintes provas
Cadernos
Caderno Container