Foram encontradas 134 questões.
A Política Nacional do Meio Ambiente tem por objetivo a preservação, melhoria e recuperação da qualidade ambiental, visando assegurar, no País, condições ao desenvolvimento socioeconômico, aos interesses da segurança nacional e à proteção da dignidade da vida humana, atendidos os seguintes princípios:
I - Racionalização do uso do solo, do subsolo, da água e do ar.
II - Difusão de tecnologias de manejo do meio ambiente, à divulgação de dados e informações ambientais.
III - Controle e zoneamento das atividades potencial ou efetivamente poluidoras.
IV - Educação ambiental a todos os níveis de ensino, inclusive a educação da comunidade.
V - Imposição, ao poluidor e ao predador, da obrigação de recuperar e/ou indenizar os danos causados.
Estão corretas as seguintes afirmativas:
Provas
O Sistema Nacional de Unidades de Conservação (SNUC) é o conjunto de unidades de conservação (UC) federais, estaduais e municipais. É composto por 12 categorias de UC, cujos objetivos específicos se diferenciam quanto à forma de proteção e usos permitidos: aquelas que precisam de maiores cuidados, pela sua fragilidade e particularidades, e aquelas que podem ser utilizadas de forma sustentável e conservadas ao mesmo tempo. Fonte: www.mma.gov.br Julgue os itens a seguir sobre a Lei nº 9985 de 2000 que estabelece o SNUC.
I - O órgão central do SNUC é o Conselho Nacional do Meio Ambiente (Conama), com as atribuições de acompanhar a implementação do Sistema.
II - Podem integrar o SNUC, excepcionalmente e a critério do Conama, unidades de conservação estaduais e municipais que possuam objetivos de manejo que não possam ser satisfatoriamente atendidos por nenhuma categoria prevista nesta Lei.
III - Nas Estações Ecológicas podem ser permitidas pesquisas científicas cujo impacto sobre o ambiente seja maior do que aquele causado pela simples observação ou pela coleta controlada de componentes dos ecossistemas.
IV - Nas Florestas Nacionais é admitida a permanência de populações tradicionais que a habitam quando de sua criação.
V - Na Reserva Particular do Patrimônio Natural – RPPN só será admitida visitação com objetivos educacionais.
Estão corretas as seguintes afirmativas:
Provas
É popularmente conhecido como Novo Código Florestal a lei nº 12.651, de 25 de maio de 2012. Sobre essa lei julgue os itens.
I - É admitido, para a pequena propriedade ou posse rural familiar o plantio de culturas temporárias e sazonais de vazante de ciclo curto na faixa de terra que fica exposta no período de vazante dos rios ou lagos, desde que não implique supressão de novas áreas de vegetação nativa, seja conservada a qualidade da água e do solo e seja protegida a fauna silvestre.
II - Na implantação de reservatório d’água artificial destinado a geração de energia ou abastecimento público, é prescindível a aquisição, desapropriação ou instituição de servidão administrativa pelo empreendedor das Áreas de Preservação Permanente criadas em seu entorno.
III - A supressão de vegetação nativa protetora de nascentes, dunas e restingas poderá ser autorizada em caso de utilidade pública e interesse social de acordo com análise do órgão ambiental competente. IV - Nos pantanais e planícies pantaneiras, é permitida a exploração ecologicamente sustentável.
V - Não será exigido Reserva Legal relativa às áreas adquiridas ou desapropriadas com o objetivo de implantação e ampliação de capacidade de rodovias e ferrovias.
Estão corretas as seguintes afirmativas:
Provas
A educação ambiental é um componente essencial e permanente da educação nacional, devendo estar presente, de forma articulada, em todos os níveis e modalidades do processo educativo, de acordo com a Lei 9795/1999. Sobre a referida legislação julgue os itens.
I - Nos cursos de pós-graduação, extensão e nas áreas voltadas ao aspecto metodológico da educação ambiental é obrigatório a criação de disciplina específica.
II - A educação ambiental será desenvolvida como uma prática educativa integrada, contínua e permanente em todos os níveis e modalidades do ensino formal.
III - A garantia de continuidade e permanência do processo educativo é um dos objetivos fundamentais da educação ambiental.
IV - O pluralismo de ideias e concepções pedagógicas, na perspectiva da inter, multi e transdisciplinaridade, é um dos princípios básicos da educação ambiental.
V - Compete aos meios de comunicação de massa, colaborar de maneira ativa e permanente na disseminação de informações e práticas educativas sobre meio ambiente e incorporar a dimensão ambiental em sua programação
Estão corretas as seguintes afirmativas:
Provas
Sobre a Lei 6803/1980 que dispõe sobre as diretrizes básicas para o zoneamento industrial nas áreas críticas de poluição, julgue os itens.
I - Nas áreas críticas de poluição as zonas destinadas à instalação de indústrias serão definidas em esquema de zoneamento urbano que compatibilize as atividades industriais com a proteção ambiental.
II - As zonas serão classificadas nas seguintes categorias: uso estritamente industrial; uso predominantemente industrial; uso diversificado.
III - As zonas de uso estritamente industrial destinam-se, preferencialmente, à instalação de indústrias cujos processos, submetidos a métodos adequados de controle e tratamento de efluentes, não causem incômodos sensíveis às demais atividades urbanas e nem perturbem o repouso noturno das populações.
IV - É vedado, nas zonas de uso estritamente industrial, o estabelecimento de quaisquer atividades não essenciais às suas funções básicas, ou capazes de sofrer efeitos danosos em decorrência dessas funções.
V - O licenciamento para implantação, operação e ampliação de estabelecimentos industriais nas áreas críticas é da competência da União e não exclui a exigência de licenças para outros fins.
Estão corretas as seguintes afirmativas:
Provas
Os órgãos e entidades da União, dos Estados, do Distrito Federal, dos Territórios e dos Municípios, bem como as fundações instituídas pelo Poder Público, responsáveis pela proteção e melhoria da qualidade ambiental, constituirão o Sistema Nacional do Meio Ambiente - SISNAMA, assim estruturado:
I - Órgão Central: a Secretaria do Meio Ambiente da Presidência da República, com a finalidade de planejar, coordenar, supervisionar e controlar, como órgão federal, a política nacional e as diretrizes governamentais fixadas para o meio ambiente.
II - Órgãos Seccionais: os órgãos ou entidades municipais, responsáveis pelo controle e fiscalização dessas atividades, nas suas respectivas jurisdições.
III - Órgão Superior: o Conselho de Governo, com a função de assessorar o Presidente da República na formulação da política nacional e nas diretrizes governamentais para o meio ambiente e os recursos ambientais.
IV - Órgão Consultivo e Deliberativo: o Conselho Nacional do Meio Ambiente (CONAMA), com a finalidade de assessorar, estudar e propor ao Conselho de Governo, diretrizes de políticas governamentais para o meio ambiente e os recursos naturais e deliberar, no âmbito de sua competência, sobre normas e padrões compatíveis com o meio ambiente ecologicamente equilibrado e essencial à sadia qualidade de vida.
V - Órgãos Locais: os órgãos ou entidades estaduais responsáveis pela execução de programas, projetos e pelo controle e fiscalização de atividades capazes de provocar a degradação ambiental.
Estão corretas as seguintes afirmativas:
Provas
A Lei Complementar nº140/2011 fixa normas para cooperação entre União, os Estados, o Distrito Federal e os Municípios nas ações administrativas decorrentes do exercício da competência comum relativas à proteção das paisagens naturais notáveis, à proteção do meio ambiente, ao combate à poluição em qualquer de suas formas e à preservação das florestas, da fauna e da flora. Sobre a lei julgue os itens:
I - Compete aos municípios elaborar o Plano Diretor, observando o zoneamento ambiental.
II - Os instrumentos de cooperação previsto da Lei Complementar nº 140/2011 podem ser firmados com prazo determinado.
III - O ente federativo poderá delegar, mediante convênio, a execução de ações administrativas a ele atribuídas pela Lei Complementar, existindo ou não órgão ambiental ou conselho de meio ambiente.
IV - Promover o licenciamento ambiental de empreendimentos e atividades é ação administrativa da União.
V - Os Estados deverão articular a cooperação técnica, científica e financeira, em apoio às Políticas Nacional e Estadual de Meio Ambiente
Estão corretas as seguintes afirmativas:
Provas
Para assegurar a efetividade do direito previsto na Política Municipal de Proteção, Conservação e Melhoria do Meio Ambiente subordina-se aos seguintes princípios:
I - Racionalização do uso do solo, do subsolo, da água e do ar.
II - Controle e zoneamento das atividades potencial ou efetivamente poluidoras.
III - Imposição, ao poluidor e ao predador, da obrigação de recuperar e/ou indenizar os danos causados e, ao usuário, da contribuição pela utilização de recursos ambientais com fins econômicos.
IV - Proteção de áreas ameaçadas de degradação.
V - Estabelecimento, de forma supletiva e complementar, de critérios e padrões da qualidade ambiental e de normas relativas ao uso e manejo de recursos ambientais.
Estão corretas as seguintes afirmativas:
Provas
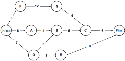
Observe o diagrama PERT/CPM abaixo, no qual as letras simbolizam atividades de uma obra, e as setas a procedência de cada atividade com a sua respectiva duração. Assinale a alternativa verdadeira.

Provas
Disciplina: Direito Constitucional
Banca: IBEG
Orgão: Pref. Duque Caxias-RJ
A ordem social tem como base o primado do trabalho, e como objetivo o bem-estar e a justiça social. Então, com fundamento na Constituição Federal vigente, analise as alternativas abaixo, indicando qual considere ERRADA:
Provas
Caderno Container