Magna Concursos

Foram encontradas 40 questões.

1323958 Ano: 2018
Disciplina: Português
Banca: IBFC
Orgão: Pref. Divinópolis-MG
Provas:
Texto
No Brasil, entre o “pode” e o “não pode”, encontramos um “jeito”, ou seja, uma forma de conciliar todos os interesses, criando uma relação aceitável entre o solicitante, o funcionário-autoridade e a lei universal. Geralmente, isso se dá quando as motivações profundas de ambas as partes são conhecidas; ou imediatamente, quando ambos descobrem um elo em comum banal (torcer pelo mesmo time) ou especial (um amigo comum, uma instituição pela qual ambos passaram ou o fato de se ter nascido na mesma cidade). A verdade é que a invocação da relação pessoal, da regionalidade, do gosto, da religião e de outros fatores externos àquela situação poderá provocar uma resolução satisfatória ou menos injusta. Essa é a forma típica do “jeitinho”. Uma de suas primeiras regras é não usar o argumento igualmente autoritário, o que também pode ocorrer, mas que leva a um reforço da má vontade do funcionário. De fato, quando se deseja utilizar o argumento da autoridade contra o funcionário, o jeitinho é um ato de força que no Brasil é conhecido como o “Sabe com quem está falando?”, em que não se busca uma igualdade simpática ou uma relação contínua com o agente da lei atrás do balcão, mas uma hierarquização inapelável entre o usuário e o atendente. De modo que, diante do “não pode” do funcionário, encontra-se um “não pode do não pode” feito pela invocação do “Sabe com quem você está falando?”. De qualquer modo, um jeito foi dado. “Jeitinho” e “Você sabe com quem está falando?” são os dois polos de uma mesma situação. Um é um modo harmonioso de resolver a disputa; o outro, um modo conflituoso e direto de realizar a mesma coisa. O “jeitinho” tem muito de cantada, de harmonização de interesses opostos, tal como quando uma mulher encontra um homem e ambos, interessados num encontro romântico, devem discutir a forma que o encontro deverá assumir. O “Sabe com quem está falando?”, por seu lado, afirma um estilo em que a autoridade é reafirmada , mas com a indicação de que o sistema é escalonado e não tem uma finalidade muito certa ou precisa. Há sempre outra autoridade, ainda mais alta, a quem se poderá recorrer. E assim as cartas são lançadas.
(DAMATTA, Roberto. O modo de navegação social: a malandragem e o “jeitinho”. O que faz o brasil, Brasil?. Rio de Janeiro: Rocco, 1884. P79-89, (Adaptado) .
Considere o fragmento abaixo para responder à questão.
A verdade é que a invocação da relação pessoal, da
regionalidade, do gosto, da religião e de outros fatores
externos àquela situação poderá provocar uma resolução
satisfatória ou menos injusta.”
Em períodos mais longos, deve-se reforçar o cuidado para a análise de suas partes. Nesse sentido, percebe-se que a segunda oração é subordinada à primeira e deve ser classificada como:
 

Provas

Questão presente nas seguintes provas
1318258 Ano: 2018
Disciplina: Direito Sanitário
Banca: IBFC
Orgão: Pref. Divinópolis-MG
Provas:
A PORTARIA DE CONSOLIDAÇÃO Nº 5, DE 28 DE SETEMBRO DE 2017- DOU Nº 190, DE 03/10/2017 que trata da “Consolidação das normas sobre as ações e os serviços de saúde do Sistema Único de Saúde”, através do Art. 864, inciso CXXXIII revogou a PORTARIA Nº 2.914, DE 12 DE DEZEMBRO DE 2011. Em relação ao controle e vigilância da qualidade da água para consumo humano e seu padrão de potabilidade, assinale a alternativa incorreta.
 

Provas

Questão presente nas seguintes provas
1316796 Ano: 2018
Disciplina: Química
Banca: IBFC
Orgão: Pref. Divinópolis-MG
Provas:
O enxofre é um elemento químico considerado essencial para a manutenção da vida no nosso planeta. Com relação ao ciclo do enxofre, analise as afirmativas a seguir, atribuindo-lhes valores Verdadeiro (V) ou Falso (F).
( ) Sob condições aeróbias, o enxofre é reduzido a sulfetos, por exemplo, o sulfeto de hidrogênio (H2S).
( ) Sob condições anaeróbias e na presença de ferro, o enxofre precipita-se, formando sulfetos férricos e ferrosos.
( ) Processos de queima de carvão e óleo combustível em indústrias e usinas termoelétricas não interferem no ciclo do enxofre.
( ) O dióxido de enxofre, além de possuir efeitos danosos ao organismo, provoca, em certas situações, o que se denomina ‘chuva ácida’.
( ) A emissão natural de compostos de enxofre não possui relação com atividades vulcânicas.
Assinale a alternativa que apresenta a sequência correta, de cima para baixo.
 

Provas

Questão presente nas seguintes provas
1315191 Ano: 2018
Disciplina: Química
Banca: IBFC
Orgão: Pref. Divinópolis-MG
Provas:
A amônia é um composto inorgânico que foi sintetizado em laboratório pela primeira vez por Fritz Haber em 1908 e desenvolvido industrialmente por Carl Bosch alguns anos depois. Dessa forma, esse processo foi designado como síntese de Haber-Bosch. O processo pode ser resumido pela seguinte reação catalisada por óxido de ferro (FeO):
N2(g) + 3H2(g) ↔ 2NH3(g) ΔH = -92,22kJ
Com relação à reação apresentada, analise as afirmativas a seguir:
I. A reação é considerada endotérmica, a diminuição da temperatura provoca um deslocamento do equilíbrio para o lado direito.
II. A reação pode ser considerada uma reação de síntese.
III. O aumento da pressão provoca um deslocamento do equilíbrio para o lado direito.
IV. A grande importância do desenvolvimento desse método está ligada ao aumento da produção de alimentos no mundo.
V. A presença do óxido de ferro (FeO) provoca o deslocamento do equilíbrio para o lado direito.
Estão corretas as afirmativas:
 

Provas

Questão presente nas seguintes provas
1309121 Ano: 2018
Disciplina: Química
Banca: IBFC
Orgão: Pref. Divinópolis-MG
Provas:
“O ciclo do nitrogênio, assim como o do carbono, é um ciclo __________. Apesar dessa similaridade, existem algumas diferenças notáveis entre os dois ciclos, como por exemplo: a atmosfera é rica em nitrogênio ( ___ por cento) e pobre em carbono (0,032 por cento); apesar da abundância de nitrogênio na atmosfera, somente um grupo seleto de organismos consegue utilizar o nitrogênio gasoso [...]. No ciclo do nitrogênio existem quatro mecanismos bastante diferenciados e importantes: 1) fixação do nitrogênio atmosférico em ____________; 2) ___________; 3) nitrificação; 4) desnitrificação. A fixação do nitrogênio ocorre por meio dos chamados organismos simbióticos fixadores de nitrogênio [...] A importância desses organismos é bastante óbvia, sendo a rotação de cultura de leguminosas uma alternativa ecológica ao uso dos __________” (BRAGA et al., 2002).
Assinale a alternativa que preencha corretamente e, respectivamente, as lacunas.
 

Provas

Questão presente nas seguintes provas
1306986 Ano: 2018
Disciplina: Química
Banca: IBFC
Orgão: Pref. Divinópolis-MG
Provas:
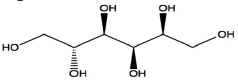
O sorbitol (nome IUPAC (2S,3R,4R,5R)-Hexano- 1,2,3,4,5,6-hexol) é um dos compostos utilizados como meio estabilizante na vacina da febre amarela. Observe a Figura que representa a estrutura molecular do sorbitol, a seguir:
Enunciado 1306986-1
Figura - Molécula de sorbitol
Com relação à molécula do sorbitol, analise as afirmativas abaixo, atribuindo-lhes valores Verdadeiro (V) ou Falso (F).
( ) A molécula do sorbitol possui 8 carbonos em sua estrutura.
( ) Estão presentes as funções éster e álcool.
( ) Existem 14 átomos de hidrogênio na molécula.
( ) O sorbitol é um exemplo da função química álcool.
( ) Há 3 ligações duplas na molécula de sorbitol.
Assinale a alternativa que apresenta a sequência correta, de cima para baixo.
 

Provas

Questão presente nas seguintes provas
1216906 Ano: 2018
Disciplina: Português
Banca: IBFC
Orgão: Pref. Divinópolis-MG
Provas:
Texto
No Brasil, entre o “pode” e o “não pode”, encontramos um “jeito”, ou seja, uma forma de conciliar todos os interesses, criando uma relação aceitável entre o solicitante, o funcionário-autoridade e a lei universal. Geralmente, isso se dá quando as motivações profundas de ambas as partes são conhecidas; ou imediatamente, quando ambos descobrem um elo em comum banal (torcer pelo mesmo time) ou especial (um amigo comum, uma instituição pela qual ambos passaram ou o fato de se ter nascido na mesma cidade). A verdade é que a invocação da relação pessoal, da regionalidade, do gosto, da religião e de outros fatores externos àquela situação poderá provocar uma resolução satisfatória ou menos injusta. Essa é a forma típica do “jeitinho”. Uma de suas primeiras regras é não usar o argumento igualmente autoritário, o que também pode ocorrer, mas que leva a um reforço da má vontade do funcionário. De fato, quando se deseja utilizar o argumento da autoridade contra o funcionário, o jeitinho é um ato de força que no Brasil é conhecido como o “Sabe com quem está falando?”, em que não se busca uma igualdade simpática ou uma relação contínua com o agente da lei atrás do balcão, mas uma hierarquização inapelável entre o usuário e o atendente. De modo que, diante do “não pode” do funcionário, encontra-se um “não pode do não pode” feito pela invocação do “Sabe com quem você está falando?”. De qualquer modo, um jeito foi dado. “Jeitinho” e “Você sabe com quem está falando?” são os dois polos de uma mesma situação. Um é um modo harmonioso de resolver a disputa; o outro, um modo conflituoso e direto de realizar a mesma coisa. O “jeitinho” tem muito de cantada, de harmonização de interesses opostos, tal como quando uma mulher encontra um homem e ambos, interessados num encontro romântico, devem discutir a forma que o encontro deverá assumir. O “Sabe com quem está falando?”, por seu lado, afirma um estilo em que a autoridade é reafirmada , mas com a indicação de que o sistema é escalonado e não tem uma finalidade muito certa ou precisa. Há sempre outra autoridade, ainda mais alta, a quem se poderá recorrer. E assim as cartas são lançadas.
(DAMATTA, Roberto. O modo de navegação social: a malandragem e o “jeitinho”. O que faz o brasil, Brasil?. Rio de Janeiro: Rocco, 1884. P79-89, (Adaptado) .
Ao estabelecer uma distinção entre o “Jeitinho” e o “Você sabe com quem está falando?”, o autor mostra que, em sua opinião, ambos são:
 

Provas

Questão presente nas seguintes provas
1215371 Ano: 2018
Disciplina: Engenharia Química
Banca: IBFC
Orgão: Pref. Divinópolis-MG
Provas:

Em uma determinada cidade com uma população de aproximadamente 250.000 habitantes existe uma estação de tratamento de efluentes domésticos com uma capacidade nominal de tratamento de 25 L/s (litros por segundo), mas que atualmente trata apenas 15 L/s (litros por segundo), devido à baixa demanda. O processo é constituído por um tratamento preliminar e em seguida por um tratamento secundário. Neste, um reator UASB é utilizado para remover uma grande parte da matéria orgânica. Após uma análise diária a montante e a jusante do reator, um operador verificou que a DBO a montante era de 1500 mg/L (miligramas por litro) e a jusante era de 525 mg/L (miligramas por litro). Com base nesses dados apresentados, pode-se dizer que a eficiência de remoção de DBO do reator UASB é de [...].

Assinale a alternativa correta:

 

Provas

Questão presente nas seguintes provas
1213948 Ano: 2018
Disciplina: Química
Banca: IBFC
Orgão: Pref. Divinópolis-MG
Provas:

Dentre os principais ciclos biogeoquímicos existentes no planeta está o do carbono. A respeito desse ciclo, assinale a alternativa incorreta.

 

Provas

Questão presente nas seguintes provas
O brasileiro Luiz Gabriel Tiago é um dos indicados de 2018 para um prêmio internacional muito importante, por criar o projeto Pontinho de Luz que atua no combate à fome em regiões de alta vulnerabilidade.
Pontinho de Luz é uma rede de solidariedade que conta com 35 mil pessoas, responsáveis por ações sociais realizadas no Brasil e no exterior, com recursos arrecadados por treinamentos e doações.
O prêmio para o qual Luiz Gabriel Tiago recebeu a indicação para o ano de 2018 é:
 

Provas

Questão presente nas seguintes provas