Foram encontradas 604 questões.
A obtenção e a preservação da qualidade de vida vinculam-se intimamente ao estilo de vida da pessoa, seu padrão de alimentação e prática de atividade física. Outras dimensões da qualidade de vida são como o indivíduo se relaciona com o trabalho, a família e as tensões da vida cotidiana. No que se refere ao exercício e à sua influência na qualidade de vida, podemos afirmar:
Provas
O combate aos serviços de transporte realizados clandestinamente é um dos claros objetivos da Lei n.º 3.753/2012, que veda expressamente a execução do transporte individual de passageiros – táxi – sem autorização e/ou permissão do poder público competente, de acordo com o Código de Trânsito Brasileiro. Uma das imposições da lei é que todo proprietário de veículo automotor-táxi, ao chegar ao município sem o devido alvará para trabalhar, deve retirar o retrovisor do veículo, recolocando-o somente ao deixar a cidade.
Conforme a lei e baseando-se no texto supracitado, a reincidência do descumprimento das obrigações anteriormente descritas sujeita o infrator à
Provas
O Código Tributário do Município de Diamantina (MG) reserva capítulo destinado à taxa de fiscalização para execução de obras, loteamentos e arruamentos. Sobre essa taxa, marque a alternativa CORRETA.
Provas
O Estatuto do Servidor Público do Município de Diamantina (MG) dispõe que, para a execução de atividade temporária de excepcional interesse público, o Prefeito Municipal pode autorizar a admissão de servidor por prazo determinado.
Assinale a alternativa CORRETA que indica uma situação na qual, para se admitir pessoal temporário, deve existir autorização legislativa anterior:
Provas
- FundamentosPotenciação e Radiciação
- FundamentosExpressões Aritméticas
- FundamentosFrações e Números Decimais
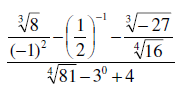
O valor da expressão

é:
Provas
Com relação ao transporte humano e de materiais em unidades de saúde, assinale a alternativa CORRETA.
Provas
Disciplina: Direito Constitucional
Banca: COTEC
Orgão: Pref. Diamantina-MG
- Direitos e Garantias FundamentaisDireitos e Deveres Individuais e ColetivosRemédios ConstitucionaisAção Popular
- Organização do EstadoRepartição de CompetênciasCompetência Comum
- Organização do EstadoRepartição de CompetênciasCompetência dos Municípios
Tendo em vista a Constituição da República Federativa do Brasil, de 1988, assinale alternativa INCORRETA.
Provas
Alberto é servidor público estável da prefeitura de Diamantina (MG) e exerce suas atribuições com zelo e responsabilidade. Ao mesmo tempo, Alberto reúne muitos conhecimentos na área de assessoria parlamentar, pois, antes de ser servidor público, foi, por muitos anos, assessor de vereador, o que lhe conferiu conhecimento técnico jurídico- político acerca dos temas do legislativo. E, por óbvio, o presidente da Câmara Municipal, desejando contar com os préstimos de Alberto, já se movimenta junto ao executivo municipal para, nos limites legais, negociar a mudança, também desejada pelo próprio Alberto. O prefeito municipal, ao perceber que haverá correlação de atribuições e equivalência de vencimento, concorda com o pedido, ordenando que se promova o deslocamento do servidor, com o respectivo cargo, para o quadro de pessoal da Câmara Municipal.
Trata-se o referido ato de movimentação, conforme definição do Estatuto dos Servidores Públicos do Município de Diamantina (MG), de
Provas
Marcos precisa enviar uma cópia do contrato de locação de uma residência para Pedro. Em qual dos formatos abaixo Marcos pode criar um arquivo, de forma que Pedro não consiga alterar o seu conteúdo?
Provas
Ao ligar seu computador, Dário percebeu que seus arquivos foram sequestrados por um hacker, que criptografou os dados do computador e agora exige uma quantia em dinheiro para liberar a senha de recuperação desses dados. Assinale abaixo o tipo de praga virtual que possibilita esse tipo de ataque.
Provas
Caderno Container