Foram encontradas 679 questões.
Sobre as ações de gerenciamento de antimicrobianos de
acordo com a Diretriz Nacional para Elaboração de Programa
de Gerenciamento de Antimicrobianos em Serviços de
Saúde, analise as afirmativas a seguir.
I. A auditoria da prescrição de antimicrobianos é considerada uma ação complementar para melhorar o uso de antimicrobianos.
II. A restrição da prescrição de antimicrobianos é considerada uma ação prioritária para melhorar o uso de antimicrobianos.
III. O ajuste e a otimização de dose são intervenções guiadas pela farmácia para melhorar o uso de antimicrobianos.
Estão corretas as afirmativas
I. A auditoria da prescrição de antimicrobianos é considerada uma ação complementar para melhorar o uso de antimicrobianos.
II. A restrição da prescrição de antimicrobianos é considerada uma ação prioritária para melhorar o uso de antimicrobianos.
III. O ajuste e a otimização de dose são intervenções guiadas pela farmácia para melhorar o uso de antimicrobianos.
Estão corretas as afirmativas
Provas
Questão presente nas seguintes provas
Com relação à depressão e aos transtornos de humor em
adultos, assinale com V as afirmativas verdadeiras e com
F as falsas.
( ) A depressão ocorre com frequência no período puerperal, e a fluoxetina pode ser utilizada para seu tratamento mesmo durante a lactação e amamentação.
( ) O carbonato de lítio pode ser usado como um medicamento potencializador quando há resposta parcial a antidepressivos no tratamento de depressão grave.
( ) Devem ser prescritos apenas antidepressivos para o tratamento de episódios depressivos no transtorno bipolar, sendo desnecessários estabilizadores de humor.
( ) O rastreamento da depressão pode ser realizado por farmacêuticos mediante aplicação do instrumento mini exame do estado mental.
Assinale a sequência correta.
( ) A depressão ocorre com frequência no período puerperal, e a fluoxetina pode ser utilizada para seu tratamento mesmo durante a lactação e amamentação.
( ) O carbonato de lítio pode ser usado como um medicamento potencializador quando há resposta parcial a antidepressivos no tratamento de depressão grave.
( ) Devem ser prescritos apenas antidepressivos para o tratamento de episódios depressivos no transtorno bipolar, sendo desnecessários estabilizadores de humor.
( ) O rastreamento da depressão pode ser realizado por farmacêuticos mediante aplicação do instrumento mini exame do estado mental.
Assinale a sequência correta.
Provas
Questão presente nas seguintes provas
Com relação ao tabagismo, sua avaliação e tratamento,
assinale com V as afirmativas verdadeiras e com F as falsas.
( ) Pessoas tabagistas deve ter aferido o seu grau de dependência à nicotina pelo teste de Framingham.
( ) A dependência à nicotina é considerada um transtorno mental, e seu diagnóstico é realizado partir do relato do paciente.
( ) Pessoas tabagistas que estiverem motivadas a parar de fumar devem receber aconselhamento terapêutico.
( ) O cloridrato de bromoprida pode ser utilizado como terapia farmacológica para a cessação de tabagismo.
Assinale a sequência correta.
( ) Pessoas tabagistas deve ter aferido o seu grau de dependência à nicotina pelo teste de Framingham.
( ) A dependência à nicotina é considerada um transtorno mental, e seu diagnóstico é realizado partir do relato do paciente.
( ) Pessoas tabagistas que estiverem motivadas a parar de fumar devem receber aconselhamento terapêutico.
( ) O cloridrato de bromoprida pode ser utilizado como terapia farmacológica para a cessação de tabagismo.
Assinale a sequência correta.
Provas
Questão presente nas seguintes provas
Com relação à Atenção Básica, analise as afirmativas
a seguir.
I. A Atenção Básica abrange a promoção e a proteção da saúde, a prevenção de agravos, a reabilitação, a redução de danos e a manutenção da saúde.
II. A Atenção Básica utiliza tecnologias de cuidado complexas e variadas que devem auxiliar no manejo das demandas de saúde de maior frequência e relevância em seu território.
III. A Atenção Básica é desenvolvida com o mais alto grau de descentralização e capilaridade, próxima da vida das pessoas, devendo ser o contato preferencial dos usuários.
Estão corretas as afirmativas
I. A Atenção Básica abrange a promoção e a proteção da saúde, a prevenção de agravos, a reabilitação, a redução de danos e a manutenção da saúde.
II. A Atenção Básica utiliza tecnologias de cuidado complexas e variadas que devem auxiliar no manejo das demandas de saúde de maior frequência e relevância em seu território.
III. A Atenção Básica é desenvolvida com o mais alto grau de descentralização e capilaridade, próxima da vida das pessoas, devendo ser o contato preferencial dos usuários.
Estão corretas as afirmativas
Provas
Questão presente nas seguintes provas
3056025
Ano: 2024
Disciplina: Estatuto do Idoso - Lei 10.741/2003
Banca: FUNDEP
Orgão: Pref. Curvelo-MG
Disciplina: Estatuto do Idoso - Lei 10.741/2003
Banca: FUNDEP
Orgão: Pref. Curvelo-MG
São crimes descritos no Estatuto do Idoso, exceto:
Provas
Questão presente nas seguintes provas
3056024
Ano: 2024
Disciplina: Estatuto do Idoso - Lei 10.741/2003
Banca: FUNDEP
Orgão: Pref. Curvelo-MG
Disciplina: Estatuto do Idoso - Lei 10.741/2003
Banca: FUNDEP
Orgão: Pref. Curvelo-MG
Provas:
Considerando as regras previstas na Lei nº 10.741/2003,
que dispõe sobre o Estatuto da Pessoa Idosa e dá outras
providências, assinale a alternativa incorreta.
Provas
Questão presente nas seguintes provas
3056023
Ano: 2024
Disciplina: Estatuto da Pessoa com Deficiência - Lei 13.146/2015
Banca: FUNDEP
Orgão: Pref. Curvelo-MG
Disciplina: Estatuto da Pessoa com Deficiência - Lei 13.146/2015
Banca: FUNDEP
Orgão: Pref. Curvelo-MG
Tendo por referência o Estatuto da Pessoa com Deficiência,
assinale a alternativa em que a conceituação apresentada
está incorreta.
Provas
Questão presente nas seguintes provas
3056022
Ano: 2024
Disciplina: Estatuto da Pessoa com Deficiência - Lei 13.146/2015
Banca: FUNDEP
Orgão: Pref. Curvelo-MG
Disciplina: Estatuto da Pessoa com Deficiência - Lei 13.146/2015
Banca: FUNDEP
Orgão: Pref. Curvelo-MG
Provas:
- Direitos Fundamentais no Estatuto da Pessoa com Deficiência
- Acessibilidade
- Direito ao Transporte e à Mobilidade
- Acesso à Informação e à Comunicação
A Lei nº 13.146 define como barreiras qualquer entrave,
obstáculo, atitude ou comportamento que limite ou impeça a
participação social da pessoa, bem como o gozo, a fruição
e o exercício de seus direitos à acessibilidade, à liberdade
de movimento e de expressão, à comunicação, ao acesso à
informação, à compreensão, à circulação com segurança,
entre outros.
A respeito das barreiras, assinale a alternativa que apresenta a definição incorreta.
A respeito das barreiras, assinale a alternativa que apresenta a definição incorreta.
Provas
Questão presente nas seguintes provas
3056021
Ano: 2024
Disciplina: TI - Sistemas Operacionais
Banca: FUNDEP
Orgão: Pref. Curvelo-MG
Disciplina: TI - Sistemas Operacionais
Banca: FUNDEP
Orgão: Pref. Curvelo-MG
Provas:
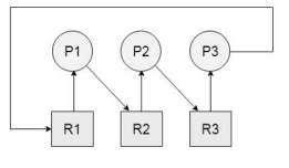
Analise a figura a seguir.

Como é denominado o estado geral entre processos de um sistema operacional, em que dois ou mais processos envolvidos aguardam por dois ou mais recursos, formando um grafo cíclico, como apresentado na imagem?
Provas
Questão presente nas seguintes provas
3056020
Ano: 2024
Disciplina: TI - Sistemas Operacionais
Banca: FUNDEP
Orgão: Pref. Curvelo-MG
Disciplina: TI - Sistemas Operacionais
Banca: FUNDEP
Orgão: Pref. Curvelo-MG
Provas:
- Gerenciamento de ProcessosCiclo de Vida de Processos
- Gerenciamento de ProcessosEstados dos Processos
Em um sistema operacional existe um recurso chamado
pseudoparalelismo, que é a implementação de um algoritmo
que permite que os processos sejam executados, como se
todos estivessem em execução ao mesmo tempo, apesar
de não estarem.
Qual transição de processo não é permitida pelo sistema operacional?
Qual transição de processo não é permitida pelo sistema operacional?
Provas
Questão presente nas seguintes provas
Cadernos
Caderno Container