Foram encontradas 330 questões.
HIPNOSE
Um homem de fraque e bigode balança um relógio de bolso na sua frente, repetindo monotonamente as mesmas frases: “Você está ficando relaxado... Seus olhos estão se fechando...”. Em poucos minutos, você imita uma galinha, dança mambo ou faz alguma outra bizarrice na frente de uma plateia – e não se lembra de nada depois. Se é assim a sua imagem da hipnose, você não é o único. A prática milenar ainda tem uma aura mística e é associada por muitos à submissão ao outro. [...] A hipnose nada mais é do que um estado de alta concentração mental, no qual a percepção das sensações sofre alterações em níveis variados, sem que o indivíduo perca a consciência do “aqui e agora”.
Na prática, isso significa que: não se fica inconsciente, lembra-se de tudo o que aconteceu e, mais importante, não se faz nada que não se faria em estado de alerta. A ideia de que basta o hipnotista mandar o paciente realizar alguma atividade para ele de fato fazê-la é uma falácia: o senso crítico não desaparece, nem os valores morais e éticos.
[...]
Em um estado de consciência modificado – como é o da hipnose –, também os processos cognitivos são alterados. [...]
Na psicologia, a hipnose é usada no tratamento de fobias, traumas, ansiedade, depressão, angústia, disfunções sexuais e outros problemas psíquicos. Na medicina, a chamada hipnose clínica pode ter papel coadjuvante no tratamento de disfunções neuromusculares, doenças autoimunes, psicossomáticas e no alívio de dores, principalmente as fibromiálgicas (musculares) e as causadas por cânceres. [...]
No entanto, se as aplicações clínicas da hipnose vêm sendo vastamente estudadas há décadas, os processos cerebrais que a envolvem eram um completo mistério. Pesquisas nesse sentido, principalmente nos últimos 10 anos, tornaram possível ter uma melhor ideia de quais regiões cerebrais são ativadas e desativadas durante a sua ocorrência. Assim, confirma-se uma dúvida que ainda pairava mesmo no meio científico e acadêmico: a hipnose, afinal, não é apenas imaginação fértil ou atuação teatral. Ela de fato altera os processos bioquímicos do cérebro.
Essa constatação apontou duas direções principais para os estudos sobre o fenômeno: a primeira, chamada pesquisa intrínseca, busca entender os mecanismos da hipnose e da sugestão no cérebro para compreender sua atuação. A segunda, denominada pesquisa instrumental, utiliza a hipnose como uma forma de estudar processos cognitivos específicos, uma vez que o sujeito hipnotizado pode ser sugestionado a ativar áreas isoladas do cérebro.
Provavelmente, não será nos primeiros minutos de uma indução a um estado hipnótico que você conseguirá alterar seus processos cognitivos a ponto de ter alucinações – como enxergar a cor vermelha em um quadro azul se assim lhe disserem. Como o sono, a hipnose tem vários estágios de profundidade. [ . . . ] São cinco os níveis de profundidade frequentemente referendados no Brasil para avaliar os estágios do transe hipnótico.
No primeiro, chamado de hipnoidal, as pálpebras do paciente pesam e a respiração fica lenta e compassada – é o primeiro passo do relaxamento. Em seguida, no nível leve, a sensação mais perceptível é a de que o corpo está tão relaxado que chega a parecer pesado [...].
No estágio médio, dependendo das sugestões do profissional, a pessoa pode deixar de sentir certas sensações – como toques, pressões e dores. No quarto estágio, o profundo, essa potencialidade fica mais aguçada.
Nesses quatro estágios, a pessoa hipnotizada pode responder a perguntas e conversar. No quinto estágio, chamado de sonambúlico, fenômenos de amnésia e de alucinação são observados. Aí, o fenômeno da anestesia é plenamente possível, mas sem o paciente perder a consciência ou o controle do que faz. [ . . . ]
(Fonte: FRAGA, Isabella. Hipnose. Revista Ciência Hoje, p. 21-23, n. 276, v. 46.)
A palavra “falácia”, conforme empregada no texto, possui o mesmo significado de
Provas
Questão presente nas seguintes provas
GRATIDÃO
Há pouco mais de cinco anos, em uma noite qualquer do mês de outubro, sentei despretensiosamente na frente do computador e, no meu perfil do Facebook, digitei “um agradecimento por dia” e criei uma hashtag (#umagradecimentopordia). E, em seguida, escrevi: “à família maravilhosa que eu tenho”. Eu não tinha a menor ideia de que uma ação tão simples mudaria minha vida e a de muita gente. Naquele momento, estava apenas sendo movida pela minha vontade de trocar as lamúrias, tão frequentes na web, pela gratidão.
Foi uma atitude espontânea. Confesso que, segundos antes de publicar, cheguei a pensar duas vezes. Senti vergonha de expor meus sentimentos publicamente. Mas, num gesto de ousadia, apertei a tecla enter. E de fato... entrei!
Aprendi a agradecer quando comecei a praticar, em 2008, as Danças Circulares, uma atividade que integra corpo, mente e emoções, promovendo união e espírito comunitário. E, desde então, percebi o quanto minha vida foi se tornando mais brilhante e generosa. Mas fazer isso em silêncio, embora tenha grande valor e força, é completamente diferente de demonstrar gratidão abertamente. A mudança de perspectiva me trazia novas possibilidades e desafios: o olhar dos outros, a interferência positiva ou negativa, a exposição a comentários, elogios e críticas. Não sei exatamente o que me levou a tornar isso público. Talvez uma gratidão transbordante, que não cabia em mim naquele momento e pediu para nascer. Mas acredito que o mais forte era a esperança de cocriar um universo de bons sentimentos, pensamentos conscientes e ações lúcidas, aliada à simples constatação: por onde começar se não por mim mesma? [...]
(DUBNER, Deborah. O que aprendi ao ser grata todo dia. Revista
Vida Simples, p. 44, março de 2016. Adaptado.
“[...] cheguei a pensar duas vezes.”
O verbo “chegar”, de acordo com a Norma Culta, é regido pela preposição “a”, conforme se observa no trecho acima.
Assinale a alternativa que apresenta o verbo que NÃO é regido por essa mesma preposição.
Provas
Questão presente nas seguintes provas
Considere !$ x \, e \, y !$ dois números reais. Se !$ x \, - \, y \, = 8 e \, xy = 50 !$, então o valor da expressão !$ \chi^2 \, + \, y^2 !$ é
Provas
Questão presente nas seguintes provas
876529
Ano: 2016
Disciplina: Engenharia de Alimentos
Banca: COTEC
Orgão: Pref. Curral Dentro-MG
Disciplina: Engenharia de Alimentos
Banca: COTEC
Orgão: Pref. Curral Dentro-MG
Provas:
Sobre o ovo, é correto afirmar, EXCETO
Provas
Questão presente nas seguintes provas
A administração de medicamentos deve ser realizada com eficiência, segurança e responsabilidade a fim de que sejam alcançados os objetivos da terapêutica implementada. A escolha da via apropriada, em determinada situação, depende tanto da droga quanto de fatores relacionados ao paciente. Nesse contexto, infere-se que a via endovenosa
Provas
Questão presente nas seguintes provas
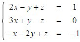
O sistema de equações lineares 

Provas
Questão presente nas seguintes provas
O Diagnóstico de Enfermagem (DE) corresponde à segunda etapa do processo de enfermagem e requer conhecimentos técnicos e científicos, além de pensamento crítico, para que, a partir da interpretação dos dados coletados na primeira etapa, o enfermeiro possa conduzir com clareza a prescrição de enfermagem. São diagnósticos de enfermagem para pneumopatias, EXCETO
Provas
Questão presente nas seguintes provas
Considere !$ a,b,c\,\,\in\,IR\ !$ e !$ f: IR \rightarrow IR\ !$ uma função definida por !$ f(x)= ax^2 + bx + c !$. Se os pontos (1,0) e (0,2) pertencem ao gráfico de !$ f !$ então !$ a+ b !$ vale
Provas
Questão presente nas seguintes provas
O teste tem a finalidade de verificar se o tendão do bíceps se encontra estável no interior do sulco bicipital. Instrua o paciente como fletir o cotovelo completamente. Em seguida, segure firmemente com uma das mãos o cotovelo, enquanto que sua outra mão fixa o punho do paciente. Para testar a estabilidade do tendão do bíceps, rode externamente o braço do paciente até encontrar resistência; simultaneamente, puxe-lhe o cotovelo para baixo. Caso o tendão do bíceps se encontre instável no sulco, ele se soltará do sulco e o paciente referirá dor. Se o tendão estiver estável, permanecerá em sua posição anatômica e o paciente não se queixará de qualquer desconforto. O teste descrito acima é o:
Provas
Questão presente nas seguintes provas
AMADURECER SEM CRISTALIZAR
Os anos passam e teço uma amizade peculiar com o tempo. Nas linhas do meu rosto, reconheço as terras de meus avós. No espelho, vejo os olhos estreitos de meu pai, entre os fios grisalhos que descolorem antes de cair, os delicados traços de minha mãe. A identidade, que sempre busquei, veio sem avisar.
Envelheço e, a cada nova escalada, me abismo. Do alto de onde acreditava estarem as respostas para minhas questões, percebo que as dúvidas agora são outras. Aquele que perguntou, no início da jornada, já não é mais. A vertigem vem de perceber que, entre o mar e o cume, tornei-me outro rio. Ao reconhecer essa mudança, me dou conta de que minha identidade não é estática, mas um movimento.
Navegar é saber de onde se veio, para onde se vai. A vida não é linear. Zarpei sem saber de onde, foi em meio ao mar que alinhavei um par de acertos num quebra-cabeças de peças infinitas. Insinua-se ali uma imagem, uma identidade, cinzelada com vento e sal. Quando chegou a hora de aportar e viver de novo em terra, senti essa identidade esculpida com sal sob ameaça e cristalizei. Duro reconhecer a paralisia, mas foi ela que me permitiu questionar de onde vem minha identidade: do que faço, de onde vivo? Um pouco, mas acho que a identidade brota dos valores e ideais que persigo.
Ao navegar de volta a mim mesmo, fiz as pazes com os ideais que me assombravam. Entendi que utopias vivem no horizonte. Andamos 20 passos em sua direção e elas postam-se 20 passos além, são inalcançáveis. A questão central, explicou o cineasta argentino Fernando Birri, é para que servem as utopias? “Servem para caminharmos.” Utopias são faróis no escuro da noite.
Quando sei para onde vou ou de onde vim, é mais clara minha identidade, sou mais forte. Essa imagem ganha nitidez quando formulo as perguntas corretas e as equilibro, como quem mistura cores para uma pintura. Por vezes persigo a forma, o como, quando o que está em jogo é o propósito, o quê. Em outros momentos, me vejo dividido entre isto ou aquilo, quando o caminho passa por uma combinação disto e daquilo. É quando permito o necessário tempo de maturação que a imagem se forma, a harmonia apresenta-se nas cores e na força de quem sou.
Fica tudo muito bonito e poético no papel, mas a prática é cheia de pontas. Quando a realidade se torna dura demais, reconheço a dor e silencio, desvio minha atenção para outra parte. Na vida, como no mar, quando o tempo vira, a prioridade não é o destino, mas a segurança. Há uma manobra para os dias de temporal: capa. A ideia é derivar com a menor velocidade possível em um rumo controlado.
Consegue-se isso com as velas invertidas ou aquarteladas, como se diz no jargão náutico, e o timão amarrado na direção oposta. A beleza do movimento vem do redemoinho criado com a quilha do barco arrastando. Ele desorganiza as ondas e impede que elas quebrem sobre o costado, o que permite que a tripulação recupere as forças. Em meio ao nevoeiro, me ponho em capa e levo o barco devagar [...].
(FREITAS, Lucas T. de. Amadurecer sem cristalizar. Revista
Vida Simples. p. 52, maio de 2016. Adaptado.)
“Há uma manobra para os dias de temporal [...]”
Sobre a organização sintática do período acima, pode-se afirmar, EXCETO
Provas
Questão presente nas seguintes provas
Cadernos
Caderno Container