Foram encontradas 40 questões.
O Diabetes Mellitus tipo 2 (DM2) é uma condição crônica e progressiva caracterizada por níveis elevados e sustentados de glicose no sangue (hiperglicemia). Ocorre devido à redução da secreção de insulina associada à resistência insulínica. Muitas vezes, é assintomático e identificado em exames de rotina (Brasil, 2024).
Segundo o Ministério da Saúde (2024), os critérios laboratoriais de diagnóstico são:

Fonte: Adaptado de Brasil (2024)
Durante uma campanha de triagem, foram coletadas as taxas de glicemia em jejum (mg/dL) de dez adultos:

Com base nesses dados, analise as proposições:
I- A mediana é 117 mg/dL;
II- Há 4 pacientes em pré-diabetes e 3 com diabetes;
III- O desvio padrão é nulo, indicando valores idênticos.
É CORRETO o que se afirma apenas em:
Provas
A Olimpíada Brasileira de Robótica (OBR) é uma Olimpíada Científica com a temática da robótica, uma iniciativa pública, gratuita e sem fins lucrativos. É destinada a estudantes brasileiros de 6 a 19 anos, matriculados em escolas públicas ou privadas do Ensino Fundamental, Médio ou Técnico Integrado (OBR, 2024).
Fonte: OLIMPÍADA BRASILEIRA DE ROBÓTICA (OBR). Sobre a OBR. Disponível em: https://obr.robocup.org.br . Acesso em: 31 out. 2025.
Sabendo disso, uma equipe escolar foi selecionada para representar sua escola em uma feira de ciências inspirada na OBR. A equipe é formada por 6 estudantes, sendo 3 da área de programação, 2 da área de eletrônica e 1 da área de design.
A feira exige que cada grupo apresente:
Um líder, obrigatoriamente um programador;
Um assistente técnico, que pode ser qualquer membro, exceto o líder;
Um projeto de robô, construído com duas peças de controle escolhidas dentre 5 tipos diferentes disponíveis (A, B, C, D, E). A ordem das duas peças não importa.
Com base nessas informações, é CORRETO afirmar que o total de possibilidades distintas para formar a equipe completa (líder + assistente + robô) é:
Provas
O Censo Escolar da Educação Básica 2024 (INEP, 2024) apresenta o percentual de disciplinas ministradas por professores com formação superior de licenciatura na mesma área de atuação, conforme a etapa de ensino e a região do país, como mostra a Tabela 4.
Fonte: BRASIL. INEP – Instituto Nacional de Estudos e Pesquisas Educacionais Anísio Teixeira. Censo da Educação Básica 2024: notas estatísticas. Brasília: MEC, 2024. Disponível em: https://download.inep.gov.br/publicacoes/institucionais/estatisticas_e_indicadores/notas_estatisticas_censo_da_educacao_basica_2024.pdf .Acesso em: 28 out. 2025.
Tabela 4 - Percentual de disciplinas ministradas por professores com formação superior de licenciatura na mesma área por região, segundo a etapa de ensino - 2024

Com base nos dados da tabela, analise as proposições:
I- Considerando apenas o Ensino Fundamental (todas as regiões), a média dos percentuais regionais é 69,7% e a amplitude é de 19,2% pontos percentuais.
II- Entre as quatro etapas de ensino, a média nacional mais alta ocorre nos Anos Iniciais do Ensino Fundamental.
III- A dispersão regional (diferença entre o maior e o menor valor) é maior no Ensino Médio do que nos Anos Finais do Ensino Fundamental.
IV- A mediana dos percentuais regionais para os Anos Finais do Ensino Fundamental é menor quando comparada com os Anos Iniciais do mesmo nível de ensino.
É CORRETO o que se afirma apenas em:
Provas
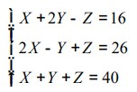
A Tabela 3 (BCB, 2025) mostra parte do histórico recente da taxa básica de juros (Selic) definida pelo Comitê de Política Monetária (Copom) em 2025:

Sabe-se que o aumento da taxa Selic influencia diretamente o consumo das famílias e o nível de investimento das empresas. Suponha que um economista tenha criado um modelo linear simplificado que relaciona as seguintes variáveis:
⋅ X = taxa Selic média (em % a.a.);
⋅ Y = renda média familiar mensal (em R$ mil);
⋅ Z = índice de consumo familiar (escala 0-100).
Essas três variáveis estão relacionadas pelo seguinte sistema linear:

Com base nesse sistema, é CORRETO afirmar que os valores de X, Y e Z, respectivamente, são:
Provas
O Gráfico 1 mostra a evolução do número de matrículas na Educação Infantil, segundo a rede de ensino (pública e privada) no Brasil, entre 2020 e 2024, conforme dados do Censo Escolar da Educação Básica (INEP, 2024).
Fonte: BRASIL. INEP – Instituto Nacional de Estudos e Pesquisas Educacionais Anísio Teixeira.Censo da Educação Básica 2024: notas estatísticas. Brasília: MEC, 2024. Disponível em: https://download.inep.gov.br/publicacoes/institucionais/estatisticas_e_indicadores/notas_estatisticas_censo_da_educacao_basica_2024.pdf .Acesso em: 28 out. 2025

Com base nas informações do gráfico, analise as proposições a seguir:
I- Entre 2020 e 2021, houve redução no número total de matrículas, sendo a maior queda observada na rede privada.
II- A partir de 2022, observa-se um movimento de recuperação tanto na rede pública quanto na rede privada, com o total de matrículas voltando a crescer.
III- Em 2024, a rede pública concentrou cerca de 73% das matrículas da Educação Infantil, enquanto a rede privada manteve aproximadamente 27%.
IV- O número de matrículas na rede pública em 2024 foi inferior ao registrado em 2020, enquanto a rede privada apresentou aumento em relação a 2020.
É CORRETO o que se afirma apenas em:
Provas
O projeto “Horta nas Escolas”, desenvolvido pela Diretoria de Meio Ambiente em parceria com a Secretaria Municipal de Educação de Lagoa de Dentro-PB, incentiva os alunos da Escola Miguel Pereira, no sítio Lagoa do Meio, a aprenderem sobre o cultivo de hortaliças, alimentação saudável e equilíbrio ambiental (Lagoa de Dentro, 2023).
Fonte: Diretoria de Meio Ambiente realiza projeto “Horta nas Escolas”, na Escola Miguel Pereira, em Lagoa do Meio. Lagoa do Dentro: Prefeitura Municipal, 2023. Disponível em: https://www.lagoadedentro.pb.gov.br/diretoria-de-meio-ambiente-realiza-projeto-horta-nas-escolas-na-escola-miguel-pereira-em-lagoa-do-meio/ .Acesso em: 28 out. 2025.
Durante a primeira etapa, cada turma cultivou uma horta de 6 m², com dimensões de 3 m de comprimento por 2 m de largura, dividida em 3 canteiros iguais, cada um medindo 1 m × 2 m.
Na planta baixa da escola, a horta foi representada na escala 1:200, isto é, 1 cm no desenho equivale a 200 cm na realidade.
Na segunda etapa, decidiu-se dobrar o número de canteiros, mantendo a mesma área por canteiro e a mesma escala de representação. Sabe-se também que, na primeira etapa, 4 alunos levavam 30 minutos para irrigar toda a horta, e que o tempo de irrigação é diretamente proporcional à área total e inversamente proporcional ao número de alunos.
Com base nessas informações, é CORRETO afirmar que a área da horta, no desenho, na segunda etapa, e o tempo total de irrigação para 6 alunos após a ampliação da horta são, respectivamente:
Provas
O Programa PB Rural Sustentável, implantado pelo Governo da Paraíba em parceria com o Banco Mundial, implantou, desde 2003, o Programa Um Milhão de Cisternas (P1MC), garantindo o acesso à água potável e fortalecendo a segurança hídrica das famílias nessas regiões. O projeto segue em execução e tem promovido a instalação de cisternas de placas em comunidades rurais paraibanas. Cada cisterna possui capacidade de 16.000 litros, sendo abastecida por água da chuva captada em telhados com área média de 80 m2 (Santos; Abrantes, 2023).
Fonte: SANTOS, Valterlin da Silva; ABRANTES, Antonione Pontes. Avaliação do modelo de cisterna adotado pelo Programa Um Milhão de Cisternas no município de Sousa-PB. Desenvolvimento e Meio Ambiente, Curitiba, v. 68, p. 1–16, 2023. DOI: https://doi.org/10.36659/dae.2023.066 .Disponível em: https://revistas.ufpr.br/made/article/view/87820 .Acesso em: 28 out. 2025.
Durante um evento de chuva em Sousa-PB, o total precipitado foi de 45 mm (milímetros), e estima-se que 80% da água da chuva tenha sido efetivamente captada pela cisterna.
Sabendo que 1 mm de chuva equivale a 1 L/m², é CORRETO afirmar que o volume total de água captado e o percentual da capacidade total da cisterna correspondem, respectivamente, a:
Provas
Quando duas formigas colidem ou se encontram de frente, elas podem estar compartilhando informações sobre fontes de alimento, podendo até mesmo indicar a melhor maneira de chegar à comida, o caminho mais curto ou se a rota é segura contra inimigos (Ashish, 2024).
Fonte: ASHISH. Why do ants touch each other while walking in opposite directions? ScienceABC, 21 mar. 2024. Disponível em: https://www.scienceabc.com/nature/animals/why-do-ants-touch-each-other-while-walking-in-opposite-directions.html Acesso em: 28 out. 2025.
Considere um quadrado, no plano cartesiano, com vértices nos pontos A(0,0), B(2,0), C(2,2) e D(0,2) (cf. Figura 4).

Considere as seguintes informações:
⋅ A formiga F1 encontra-se no ponto A e sai em direção ao ponto C;
⋅ A formiga F2 sai do ponto B e vai em direção ao ponto D;
⋅ No mesmo instante, as formigas F3 e F4 partem dos pontos E(1,2) e F(1,0), respectivamente;
⋅ As quatro formigas saem de seus pontos e se tocam no ponto P (1,1).
Sabe-se que, após o encontro, F1 passa a seguir a trajetória de F2 e F2 passa a seguir a trajetória de F1. Já as formigas F3 e F4 retornam para suas posições anteriores, ou seja, para E e F, respectivamente.
Ao final, é CORRETO afirmar que a distância entre os pontos onde se encontram as formigas F1 e F4, em unidades de comprimento (u.c.), é:
Provas
Um pintor foi contratado para pintar as duas letras inicias do nome CPCON.

Este pintor decidiu desenhar as letras com retângulos e circunferências, seguindo as seguintes regras de construção ( Figura 3):
I- Para a letra C:
Duas circunferências concêntricas: uma com raio R = 3,5m e outra com raio r = 2m;
Dois retângulos: um com comprimento 4,4 m e outro com 3,15 m; ambos de altura R-r;
II- Para a letra P:
Duas circunferências com as mesmas configurações da letra C;
Um retângulo de dimensões 2m por 6,5 m.
III- Ao construir as letras, observe que a letra C é pintada do lado esquerdo do anel circular e os dois retângulos; para a letra P, são pintados do lado direito do anel circular, juntamente com o retângulo maior.
Com base nas informações e assumindo π
Provas
O Radiotelescópio BINGO, em construção no município de Aguiar, Sertão da Paraíba, será o maior da América Latina. Ele contará com 15 cornetas (antenas) fixadas em torres metálicas, voltadas para um mesmo ponto do céu (FAPESQ, 2024; G1 PARAÍBA, 2024).
Fontes: FAPESQ-PB. Projeto BINGO: infraestrutura e equipamentos do maior radiotelescópio da América Latina em fase final de montagem. 2024. Disponível em: https://fapesq.rpp.br/noticias/projeto-bingo-infraestrutura-e-equipamentos-do-maior-radiotelescopio-da-america-latina-em-fase-final-de-montagem . Acesso: 25 de outubro de 2025.G1 Paraíba. Radiotelescópio que mapeia energia escura do universo entra em fase final de montagem no Sertão da PB. 25 ago. 2024. Disponível em: https://g1.globo.com/pb/paraiba/noticia/2024/08/25/radiotelescopio-que-mapeia-energia-escura-do-universo-entra-em-fase-final-de-montagem-no-sertao-da-pb.ghtml . Acesso em: 25 de outubro de 2025.
Durante a montagem, uma das cornetas foi posicionada sobre uma torre de 6

Para verificar a precisão do alinhamento, o engenheiro analisa o triângulo retângulo formado entre a torre, o solo e a linha de visada da antena. Sabendo que a tangente do ângulo do topo do triângulo vale
Provas
Caderno Container