Magna Concursos

Foram encontradas 40 questões.

4001819 Ano: 2026
Disciplina: Matemática
Banca: UEPB
Orgão: Pref. Condado-PE
Provas:

O Tangram é um antigo quebra-cabeça de origem chinesa formado por sete peças geométricas (chamadas tans): 2 triângulos isósceles grandes, 1 triângulo isósceles médio, 2 triângulos isósceles pequenos, 1 quadrado e 1 paralelogramo (Silva, 2022).

F o n t e : S I LVA , J o a n n a . D ' a r c B i s p o d a . O u s o d o s j o g o s n o e n s i n o d a m a t e m á t i c a , v. 2 2 0 , 2 0 2 2 . D i s p o n í v e l e m : https://repository.ufrpe.br/bitstream/123456789/3845/1/tcc_art_joannadarcbispodasilva.pdf . Acesso em: 24 de outubro de 2025

Essas peças podem ser combinadas para formar diferentes figuras, todas obtidas a partir de um quadrado inicial, como mostra a Figura 1:

Enunciado 4494960-1

Sabe-se que o quadrado original maior possui a=12 cm de lado. Com base nessas informações, é CORRETO afirmar que a razão entre a área do quadrado menor e a área do triângulo médio vale:

 

Provas

Questão presente nas seguintes provas
4001818 Ano: 2026
Disciplina: Estatística
Banca: UEPB
Orgão: Pref. Condado-PE
Provas:

O Instituto Nacional de Metrologia, Qualidade e Tecnologia (Inmetro) reforçou, em setembro de 2025, as orientações sobre o uso das cadeirinhas infantis, informando que o uso correto do dispositivo pode reduzir em até 70% o risco de lesões graves em caso de colisões (INMETRO, 2025).

Fonte: INMETRO. Cadeirinha salva vidas: Inmetro reforça orientações para transporte seguro de crianças. Brasília, 24 set. 2025. Disponível em: https://www.gov.br/inmetro/pt-br/centrais-de-conteudo/noticias/cadeirinha-salva-vidas-inmetro-reforca-orientacoes-para-transporte-seguro-de-criancas . Acesso em: 24 out. 2025.

Os dispositivos são divididos em três categorias conforme o peso e a idade da criança, conforme mostra a Tabela 1.

Enunciado 4494959-1

Com base nas orientações, durante uma campanha educativa sobre transporte infantil, foram analisadas crianças em diferentes faixas etárias (cf. Tabela 2):

Enunciado 4494959-2

Com base nas informações, é CORRETO afirmar que a porcentagem total de crianças corretamente transportadas e a razão entre o total de crianças sem assento adequado até 1 ano e o total de crianças corretamente transportadas na faixa etária de 4 a 7 anos é, respectivamente:

 

Provas

Questão presente nas seguintes provas
4001817 Ano: 2026
Disciplina: Matemática
Banca: UEPB
Orgão: Pref. Condado-PE
Provas:

De acordo com a Agência Internacional de Energia (IEA, 2023), a emissão média mundial de CO₂ pela produção de cimento permanece em torno de 0,6 tCO₂ por tonelada de cimento, podendo alcançar até 0,9 tCO₂/t em processos com alto teor de clínquer.

Fonte: IEA – International Energy Agency. Cement – Tracking Industry 2023. Paris: IEA, 2023. Disponível em: https://www.iea.org/energy-system/industry/cement .Acesso em: 30 out. 2025.

No Brasil, segundo o Sindicato Nacional da Indústria do Cimento (SNIC, 2020), a média atual é de 0,59 tCO₂/t, resultado do uso crescente de materiais substitutivos, como pozolanas, escórias siderúrgicas e calcário moído.

Fonte: SNIC – Sindicato Nacional da Indústria do Cimento. Relatório de Sustentabilidade 2020. São Paulo: SNIC, 2020. Disponível em: https://snic.org.br/assets/pdf/relatorio_anual/rel_anual_2019.pdf . Acesso em:30 out. 2025.

Para o cenário Net Zero da IEA, previsto para 2030, espera-se uma redução para 0,45 tCO₂/t, ou seja, uma queda média de 25% nas emissões em relação a 2020.

Em uma fábrica de concreto, cada metro cúbico (m³) de concreto consome, em média, 300 kg de cimento, sendo o restante composto por agregados e água. Considere que a produção anual da fábrica seja de 25.000 m³ de concreto e que a quantidade de CO₂ emitida seja diretamente proporcional à massa de cimento utilizada e inversamente proporcional ao fator de substituição por materiais reciclados, que atualmente é de 10%. No cenário Net Zero, espera-se que o fator de substituição alcance 20%, mantendo-se a produção anual constante.

Com base nessas informações, é CORRETO afirmar que a redução percentual das emissões anuais de CO₂, ao passar do estado atual para o processo melhorado, é, aproximadamente:

 

Provas

Questão presente nas seguintes provas
4001816 Ano: 2026
Disciplina: Matemática
Banca: UEPB
Orgão: Pref. Condado-PE
Provas:

O Ministério da Saúde atualizou, nesta segunda-feira, 20 de outubro de 2025, o número de notificações de intoxicação por metanol após o consumo de bebidas alcoólicas. Até o momento, foram 104 notificações registradas, sendo 47 casos confirmados e 57 ainda em investigação, enquanto 578 notificações foram descartadas (Brasil, 2025).

Fonte: BRASIL. Ministério da Saúde. Metanol: 47 casos de intoxicação são confirmados no país até esta segunda-feira (20). Brasília: Ministério da Saúde, 2025. 1 arquivo eletrônico (notícia).Disponível em: https://www.gov.br/saude/pt-br/assuntos/noticias/2025/outubro/metanol-47-casos-de-intoxicacao-sao-confirmados-nopais-ate-esta-segunda-feira-20 .Acesso em: 24 out. 2025.

Pesquisadores da Universidade Estadual da Paraíba (UEPB) desenvolveram um canudo sensor capaz de identificar metanol em bebidas destiladas, tecnologia que entrou em fase de ensaio para produção em escala (UEPB, 2025).

Fonte: UNIVERSIDADE ESTADUAL DA PARAÍBA (UEPB). UEPB desenvolve tecnologia inovadora para identificar metanol em bebidas e ganha repercussão nacional. Campina Grande: UEPB, 2025. 1 arquivo eletrônico (notícia).Disponível em: https://uepb.edu.br/uepb-desenvolve-tecnologia-inovadora-para-identificarmetanol-em-bebidas-e-ganha-repercussao-nacional/ .Acesso em: 24 out. 2025.

Suponha que o número de casos confirmados de intoxicação por metanol em uma determinada região seguiu, nos primeiros meses, um padrão que pode ser modelado por progressões numéricas. Durante os seis primeiros meses, o número de casos confirmados cresceu segundo uma progressão aritmética (PA), iniciando com 17 casos no primeiro mês e atingindo 47 casos no sexto mês. Após o sexto mês, graças à introdução do canudo detector de metanol desenvolvido pela UEPB e às ações de vigilância coordenadas pelo Ministério da Saúde, o número de casos passou a decrescer segundo uma progressão geométrica (PG) de razão igual a 0,8.

Com base nessas informações, é CORRETO afirmar que, no 9º mês, o número de casos confirmados de intoxicação foi reduzido aproximadamente em:

 

Provas

Questão presente nas seguintes provas
4001815 Ano: 2026
Disciplina: Matemática
Banca: UEPB
Orgão: Pref. Condado-PE
Provas:

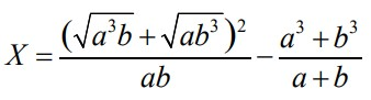
Dada a expressão:

Enunciado 4494956-1

Sobre o valor de é CORRETO afirmar que: X,

 

Provas

Questão presente nas seguintes provas
4001609 Ano: 2026
Disciplina: Pedagogia
Banca: UEPB
Orgão: Pref. Condado-PE
Sobre as Diretrizes Curriculares Nacionais para o Ensino Fundamental de 9 (nove) anos, Resolução CNE/CEB n°7/2010, é CORRETO afirmar que:
 

Provas

Questão presente nas seguintes provas
4001608 Ano: 2026
Disciplina: Pedagogia
Banca: UEPB
Orgão: Pref. Condado-PE

Ao tratar do estudo ativo em sua obra Didática, José Carlos Libâneo explica que o estudo ativo “é o conjunto das tarefas cognoscitivas que concorrem para o desenvolvimento das atividades mentais dos alunos, como a conversação dirigida, a discussão, o estudo dirigido individual e em grupo, os exercícios, as observações das coisas do mundo circundante, os hábitos de estudo e de organização pessoal, as tarefas de casa, o estudo do meio etc.”.

Fonte: LIBÂNEO, J. C. Didática. São Paulo: Cortez, 2017

Sobre a concepção de estudo ativo desenvolvida por Libâneo, é CORRETO afirmar que:

 

Provas

Questão presente nas seguintes provas
4001607 Ano: 2026
Disciplina: Pedagogia
Banca: UEPB
Orgão: Pref. Condado-PE

O Plano Nacional de Educação (PNE), Lei nº 13.005/2014, estabeleceu 20 metas para a educação, sendo a primeira delas referente à universalização da educação infantil para as crianças de 4 a 5 anos, bem como o atendimento em creches de, no mínimo, 50% das crianças de 0 a 3 anos. Recentemente, porém, o IBGE (Instituto Brasileiro de Geografia e Estatística) divulgou o fracasso no atingimento desta meta do PNE, como informa o excerto a seguir “Em 2024, a taxa de frequência escolar bruta do grupo de 0 a 3 anos : de idade alcançou 39,7%, um avanço de mais de 9 pontos percentuais em relação ao início da série histórica, em 2016, enquanto no grupo de 4 a 5 anos atingiu 93,5%, aumento de 3,5 pontos percentuais desde 2016. Contudo, os percentuais estão abaixo da Meta 1 do Plano Nacional de Educação (PNE), cuja vigência vai até 31 de dezembro de 2025, – universalizar a educação infantil entre as crianças de 4 a 5 anos e garantir ao menos 50% de cobertura para aquelas com até 3 anos. Esse e outros resultados estatísticos integram o capítulo de Educação de um dos principais estudos do IBGE, a Síntese de Indicadores Sociais: uma análise das condições de vida da população brasileira 2025.”

Fonte: Indicadores da educação infantil avançam, mas não atingem meta do PNE Disponível em: https://agenciadenoticias.ibge.gov.br/agencia-noticias/2012-agencia-. de-noticias/noticias/45338-indicadores-da-educacao-infantil-avancam-mas-nao-atingem-meta-do-pne. Acesso em 09 de dezembro de 2025.

Considerando o excerto apresentado, analise as asserções a seguir.


I- A Meta 20 do PNE objetiva a universalização da educação infantil para crianças de 0 a 5 anos de idade.


II- Para o atingimento da meta, o atingimento do número de crianças do grupo de 0 a 3 anos de idade frequentando a escola está mais distante do que a universalização da educação infantil para crianças de 4 a 5 anos.


III- É possível afirmar que, desde o início da série histórica, em termos percentuais, o aumento do grupo de 4 a 5 anos foi superior ao aumento do grupo de 0 a 3 anos de idade.

É CORRETO o que se afirma apenas em:

 

Provas

Questão presente nas seguintes provas
4001606 Ano: 2026
Disciplina: Pedagogia
Banca: UEPB
Orgão: Pref. Condado-PE
A Base Nacional Comum Curricular (BNCC) foi instituída pela Resolução CNE/CP nº 2, de 22 de dezembro de 2017. Àquela altura, a sua instituição se deu ainda sem a parte do documento curricular referente ao Ensino Médio, que somente seria entregue em abril do ano seguinte. Decorre também daí uma crítica à falta de unidade na concepção da educação básica presente na BNCC. Sobre esse documento, é CORRETO afirmar que:
 

Provas

Questão presente nas seguintes provas
4001605 Ano: 2026
Disciplina: Pedagogia
Banca: UEPB
Orgão: Pref. Condado-PE
Sobre a avaliação da aprendizagem, Cipriano Carlos Luckesi, relevante pesquisador sobre o tema no Brasil, adverte para uma confusão habitual, própria do senso comum, que toma por equivalentes os atos de examinar e de avaliar: “No caso do Brasil, iniciamos a falar em avaliação da aprendizagem no final dos anos 1960 e início dos anos 1970 do século XX, portanto temos em torno de quarenta anos tratando desse tema e da prática escolar. Antes, somente falávamos em exames escolares. A LDB, de 1961, ainda contém um capítulo sobre os exames escolares a Lei nº 5.692/71, que redefiniu o sistema de ensino no país, em 1971, deixou de utilizar a expressão 'exames escolares' e passou a usar a expressão 'aferição do aproveitamento escolar', mas ainda não se serviu dos termos 'avaliação da aprendizagem'. Somente a LDB, de 1996, se serviu dessa expressão no corpo legislativo. No caso, nossa atual legislação educacional conseguiu assimilar as novas proposições, porém nossa prática escolar ainda está bastante longe de consegui-lo. Em nossas escolas, públicas e particulares, assim como nos nossos diversos níveis de ensino, praticamos muito mais exames escolares do que avaliação da aprendizagem.”

Fonte: LUCKESI, C. C. Avaliação da aprendizagem escolar: estudo e proposições. (Livro eletrônico.) Ed. 1. São Paulo: Cortez, 2013. 

I- A principal distinção entre examinar e avaliar consiste na existência de classificação e seletividade do avaliado, no caso do exame, e na característica diagnóstica e inclusiva, no caso da avaliação.
II- A avaliação deve priorizar a classificação e servir de sustentação para a aprovação ou reprovação do educando.
III- Parte da dificuldade do educador em distinguir entre examinar e avaliar decorre do fato de ter ele vivenciado os exames escolares em sua vida estudantil.

É CORRETO o que se afirma apenas em:
 

Provas

Questão presente nas seguintes provas