Foram encontradas 360 questões.
As retas y = ax + b e y = cx + d foram desenhadas no mesmo plano cartesiano, conforme figura abaixo.

Sejam a, b, c e d os coeficientes dessas retas. Sobre a, b, c e d , podemos afirmar que:
Provas
A relação entre dois valores x e y é dada na tabela abaixo:
Seguindo a mesma proporção, qual valor ocupa o local indicado por ֍ ?
Provas
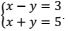
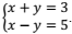
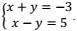
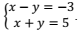
O plano cartesiano abaixo apresenta duas retas desenhadas.
Qual alternativa apresenta um sistema de equações que representa essas retas?
Provas
( Fonte adaptada: https//g1.globo.com>acesso em 30 de janeiro de 2020 )
Provas
- OrtografiaAcentuação GráficaAcento Diferencial
- OrtografiaAcentuação GráficaProparoxítonas, Paraxítonas, Oxítonas e Hiatos
Provas
O Meu Guri - Chico Buarque
Quando, seu moço, nasceu meu rebento
Não era o momento dele rebentar
Já foi nascendo com cara de fome
E eu não tinha nem nome pra lhe dar
Como fui levando, não sei lhe explicar
Fui assim levando ele a me levar
E na sua meninice ele um dia me disse
Que chegava lá
Olha aí
Olha aí
Olha aí, ai o meu guri, olha aí
Olha aí, é o meu guri
E ele chega
Chega suado e veloz do batente
E traz sempre um presente pra me encabular
Tanta corrente de ouro, seu moço
Que haja pescoço pra enfiar
Me trouxe uma bolsa já com tudo dentro
Chave, caderneta, terço e patuá
Um lenço e uma penca de documentos
Pra finalmente eu me identificar, olha aí
Olha aí, ai o meu guri, olha aí
Olha aí, é o meu guri
E ele chega
Chega no morro com o carregamento
Pulseira, cimento, relógio, pneu, gravador
Rezo até ele chegar
Cá no alto
Essa onda de assaltos
Está um horror…
Eu consolo ele
Ele me consola…
Boto ele no colo
Prá ele me ninar...
De repente acordo
Olho pro lado E o danado
Já foi trabalhar
Olha aí! Olha aí!
Aí o meu guri
Olha aí!
Olha aí!
É o meu guri
E ele chega…
Chega estampado
Manchete, retrato
Com venda nos olhos
Legenda e as iniciais…
Eu não entendo essa gente
Seu moço
Fazendo alvoroço
Demais…
O guri no mato
Acho que tá rindo
Acho que tá lindo
De papo pro ar
Desde o começo
Eu não disse
Seu moço
Ele disse que chegava lá…
Olha aí! Olha aí!
Olha aí!
Aí o meu guri
Olha aí!
Olha aí
É o meu guri…(3x)
“E na sua meninice ele um dia me disse
Chega no morro com o carregamento
Pulseira , cimento, relógio, pneu, gravador”
Provas
Provas
- OrtografiaGrafia e Emprego de Iniciais Maiúsculas
- SintaxeConcordância
- SintaxeCrase
- MorfologiaVerbosConjugaçãoFlexão Verbal de Modo
- MorfologiaVerbosConjugaçãoFlexão Verbal de Pessoa
Provas
Provas
( Fonte adaptada: https//g1.globo.com>acesso em 30 de janeiro de 2020 )
Provas
Caderno Container