Magna Concursos

Foram encontradas 360 questões.

2003709 Ano: 2020
Disciplina: Matemática
Banca: GUALIMP
Orgão: Pref. Conceição Macabu-RJ
Provas:
O professor de uma turma desenhou 4 triângulos no quadro, conforme figura abaixo.
enunciado 204630-1

O professor perguntou pra turma, qual o par de triângulos são proporcionais. Renata respondeu à pergunta do professor e acertou. Qual foi o par de triângulos respondido por Renata?
 

Provas

Questão presente nas seguintes provas
2003708 Ano: 2020
Disciplina: Estatística
Banca: GUALIMP
Orgão: Pref. Conceição Macabu-RJ
Provas:
O quadro a seguir representa a rentabilidade mensal da caderneta de poupança em uma respectiva data. As alíquotas informadas são para poupança antiga (para valores depositados na poupança até 03.05.2012) e para poupança nova (para valores depositados na poupança a partir de 04.05.2012). Supondo que um cidadão tenha no dia 25/12/19 R$ 25.000,00 que serão corrigidos pela poupança antiga e outros R$ 25.000,00 que serão corrigidos pela poupança nova, marque a alternativa CORRETA:
enunciado 204629-1
 

Provas

Questão presente nas seguintes provas
2003707 Ano: 2020
Disciplina: Matemática
Banca: GUALIMP
Orgão: Pref. Conceição Macabu-RJ

Mário precisou construir um triângulo ABD de ferro. Após a construção, precisou modificar a peça, aumentando o lado BD. As medidas da peça estão indicadas na figura abaixo.

enunciado 204627-1

Chamando de x o comprimento do lado AC, qual a equação que permite calcular o valor de x?

 

Provas

Questão presente nas seguintes provas
2003706 Ano: 2020
Disciplina: Matemática
Banca: GUALIMP
Orgão: Pref. Conceição Macabu-RJ
Provas:
Joyce desenhou o centro de uma circunferência no ponto (0,0) e desenhou a figura abaixo.
enunciado 204626-1

A alternativa que apresenta a equação da circunferência desenhada por Joyce é:
 

Provas

Questão presente nas seguintes provas
2003705 Ano: 2020
Disciplina: Matemática
Banca: GUALIMP
Orgão: Pref. Conceição Macabu-RJ
Provas:
Um copo pequeno foi preenchido completamente com água. Em seguida, todo o líquido foi despejado em um copo grande, inicialmente vazio. As medias dos copos estão indicadas na figura abaixo:
enunciado 204625-1
DADO: π ≅ 3,14.
Após a água ser transferida para o copo grande, qual foi a altura h aproximada atingida pela água?
 

Provas

Questão presente nas seguintes provas
2003704 Ano: 2020
Disciplina: Matemática
Banca: GUALIMP
Orgão: Pref. Conceição Macabu-RJ
Um cientista acompanhou o desenvolvimento de uma cultura de bactérias. Foi verificado que o número de bactérias presentes nessa cultura era expresso pela função B(t) =20 X 3 t/2 e , onde B(t) representa o número de bactérias presentes nessa cultura e t representa o tempo (em dias) em que esse acompanhamento havia sido iniciado.
Quantos dias após o início do acompanhamento o número de bactérias presentes nessa cultura era de 1.620?
 

Provas

Questão presente nas seguintes provas
2003703 Ano: 2020
Disciplina: Matemática
Banca: GUALIMP
Orgão: Pref. Conceição Macabu-RJ
Provas:

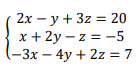
Considere o sistema de equações abaixo.

enunciado 204623-1

A soma das soluções desse sistema é:

 

Provas

Questão presente nas seguintes provas
2003702 Ano: 2020
Disciplina: Matemática
Banca: GUALIMP
Orgão: Pref. Conceição Macabu-RJ
Um canhão de guerra lançou uma bola para frente, onde a bola fez uma trajetória parabólica descrita pela função S(t)= 30 t - t², onde S(t) representa a altura atingida pela bola, em metros, e t representa o tempo, em segundos. Qual foi a altura máxima atingida pela bola?
 

Provas

Questão presente nas seguintes provas
2003701 Ano: 2020
Disciplina: Matemática
Banca: GUALIMP
Orgão: Pref. Conceição Macabu-RJ
O gráfico abaixo representa uma função do primeiro grau na forma f(x) = ax + b, onde a e b enunciado 204621-1 .
enunciado 204621-2

Analisando esse gráfico, os coeficientes a e b são, respectivamente:
 

Provas

Questão presente nas seguintes provas
2003700 Ano: 2020
Disciplina: Matemática
Banca: GUALIMP
Orgão: Pref. Conceição Macabu-RJ
Provas:
Observe o desenho de um sólido geométrico. enunciado 204620-1

Qual alternativa apresenta uma das planificações desse sólido?
 

Provas

Questão presente nas seguintes provas