Foram encontradas 345 questões.
Lista de símbolos:
⇒ Condicional
⇔ Bicondicional
∧ Conector “e”
∨ Conector “ou”
∨ Conector “ou” exclusivo
¬ Negação da proposição
As notas bimestrais de matemática do estudante João, ao longo de 2019, estão mostradas na tabela a seguir:
1º Bimestre 2º Bimestre 3º Bimestre 4º Bimestre
7,0 8,0 6,0 9,0
A média aritmética das notas de João no ano de 2019 é:
Provas
A figura abaixo representa um hexágono regular ABCDEF:

Se a medida do segmento OA é 4, então a área do hexágono ABCDEF é:
Provas
Lista de símbolos:
⇒ Condicional
⇔ Bicondicional
∧ Conector “e”
∨ Conector “ou”
∨ Conector “ou” exclusivo
¬ Negação da proposição
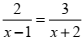
O valor de “x” que resolve a proporção
é:
Provas
Lista de símbolos:
⇒ Condicional
⇔ Bicondicional
∧ Conector “e”
∨ Conector “ou”
∨ Conector “ou” exclusivo
¬ Negação da proposição
Provas

Provas

Provas

Considerando o exposto no texto, analise as assertivas a seguir:
I. Quando questionado sobre quem era, a pessoa com a qual o autor conversou confundiu seu perfil profissional com sua essência verdadeira.
II. O autor já havia refletido bastante sobre o assunto, mas não conseguia compartilhar suas ideias por considerá-las muito pessoais.
III. O autor mobiliza vários exemplos, como conceitos e falas de pensadores gregos, a fim de sustentar seu argumento central: as pessoas são a posição de poder que ocupam.
Quais estão corretas?
Provas

Considerando o uso dos recursos coesivos, analise as assertivas a seguir:
I. Na linha 03, o referente implícito do pronome oblíquo em “fazê-lo” é “escrever este texto”.
II. Na linha 07, o pronome “essa” tem como referente a palavra “amiga” e é empregado, devido ao fato de o referente ainda não ter sido mencionado.
III. Na linha 44, o referente do pronome “que” (segunda ocorrência) é “ideias e ideais”.
Quais estão corretas?
Provas

Provas

Provas
Caderno Container