Magna Concursos

Foram encontradas 228 questões.

1459622 Ano: 2016
Disciplina: Enfermagem
Banca: REIS & REIS
Orgão: Pref. Cascalho Rico-MG
Provas:

Assistência às crianças em terapia intravenosa requer ações específicas dos profissionais, para atender às peculiaridades que as diferem da população adulta.

Assinale a afirmativa INCORRETA:

Questão Anulada

Provas

Questão presente nas seguintes provas
1459621 Ano: 2016
Disciplina: Enfermagem
Banca: REIS & REIS
Orgão: Pref. Cascalho Rico-MG
Provas:

Os enfermeiros devem ser capazes de identificar pacientes com sinais e sintomas de desequilíbrio eletrolítico e ácido básico, para que ocorra uma intervenção precoce da equipe multidisciplinar, visando minimizar as complicações mais graves.

Em relação ao texto supracitado, assinale a afirmativa INCORRETA:

Questão Anulada

Provas

Questão presente nas seguintes provas
1459619 Ano: 2016
Disciplina: Odontologia
Banca: REIS & REIS
Orgão: Pref. Cascalho Rico-MG
Provas:

Em relação à maneira correta de se empregar um anestésico tópico, analise as afirmativas abaixo, marque V para verdadeiro e F para falso.

( ) É preferível usar o anestésico tópico em forma de spray para garantir a obtenção do efeito desejado.
( ) Secar a mucosa antes de aplicar o anestésico, evitando assim que a droga sofra diluição na saliva.
( ) Deixar o anestésico em contato com a mucosa por no máximo 30 segundos.
Marque a sequência correta:

Questão Anulada

Provas

Questão presente nas seguintes provas
1459607 Ano: 2016
Disciplina: Direito Constitucional
Banca: REIS & REIS
Orgão: Pref. Cascalho Rico-MG
Provas:

Segundo a Constituição Federal de 1988, ao sistema único de saúde compete, além de outras atribuições, nos termos da lei:

I – Decrementar, em sua área de atuação, o desenvolvimento científico e tecnológico e a inovação;

II – Executar as ações de vigilância sanitária e epidemiológica, bem como as de saúde do trabalhador;

III – Fiscalizar e inspecionar alimentos, compreendido o controle de seu teor nutricional, bem como bebidas e águas para consumo humano;

IV - Colaborar na proteção do meio ambiente, nele compreendido o do trabalho.

Marque a alternativa correta:

Questão Anulada

Provas

Questão presente nas seguintes provas
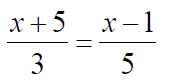
1459599 Ano: 2016
Disciplina: Matemática
Banca: REIS & REIS
Orgão: Pref. Cascalho Rico-MG

Calcule o valor de X na proporção:

enunciado 1459599-1

Questão Anulada

Provas

Questão presente nas seguintes provas

Marque V para as assertivas verdadeiras e F para as falsas para o aplicativo MS Excel:

( ) Uma vez criada uma nova
planilha, todas as células
utilizarão o formato de número
“Geral”.
( ) Os números digitados são
alinhados à direita da célula.
( ) Um sinal de subtração ou
parênteses devem ser
colocados, para indicar
números negativos.
Marque a sequência correta:
Questão Anulada

Provas

Questão presente nas seguintes provas

Assinale a alternativa em que a pontuação está incorreta, de acordo com as regras da norma culta da língua:

Questão Anulada

Provas

Questão presente nas seguintes provas
Pecados do Século XXI
As versões modernas para a luxúria, a inveja, o orgulho, a ira, a avareza, a preguiça e a gula.
Os setes pecados capitais do cristianismo – inveja, avareza, gula, preguiça, ira, orgulho e luxúria – adquiriram novas versões neste final de século. A maioria movida a compulsões por trabalho, consumo, sucesso, prazeres e lucro, valores de uma sociedade que trocou a existência natural pelo acúmulo de sensações e de bens materiais.
O psicanalista Eduardo Losicer, um dos membros do Aspas (Associação de Pesquisadores e Analistas da Subjetividade), que está ____ frente da pesquisa sobre as novas psicopatologias, explica que o indivíduo contemporâneo obedece essencialmente___ ordens externas, enquanto suas demandas internas caem no vazio e dão origem ____ compulsões:
- O paraíso atual é obrigatório. Não há mais a moralidade do pecado, na qual o pecador vivia um conflito interno entre ceder ou não ____ tentação. Não há possibilidade de escolha entre o céu e o inferno. Vivemos ______ a moralidade dos mandados. São ordens que devem ser obedecidas, ______ pena de exclusão do sistema. Esta é a ameaça. Vivemos hoje como se cada indivíduo fosse apenas um conjunto de leis, um superego.
Os indivíduos contemporâneos vêm sofrendo de ausência cada vez maior de vida interior.
- Este vazio na alma dá origem a condutas compulsivas para preencher este vazio afetivo com dinheiro, roupas, trabalho, imagens de jornais, cinema e TV, bebida ou drogas pesadas. É preciso preencher um vazio existencial e afetivo.
Para o antigo pecado capital da avareza, temos hoje o seu avesso: o consumismo desenfreado e compulsivo do perdulário contemporâneo, para quem o que importa não é ser alguém, mas ter tudo e, se possível, todos ____ sua volta. A criativa preguiça, tão elogiada pelos defensores da vida contemplativa, prazerosa e lúdica, transformou-se em mania de trabalho. O pecado da luxúria, que levava homens e mulheres ____ pensar ou a fazer sexo em __________, é hoje um hábito do telespectador: o voyeurismo. Quem tem ódio do Governo, do time rival ou do parceiro que lhe deu um fora debocha, ironiza e ridiculariza estes desafetos. Já não há mais lugar para a ira. O orgulho está em baixa. Pouca gente se orgulha de si mesmo ou da vida que leva (...) todo mundo sabe que hoje em dia é fundamental se autopromover. Não resistir ao apelo de uma caixa de bombons importados...
Este era o pecado da gula, praticamente superado por uma legião de mulheres que buscam um corpo cada vez mais magro e mais jovem. A aparência do bom moço, adotada por ídolos do esporte, executivos de empresas e apresentadores de TV, encobre um sujeito dissimulado que cumpre um papel preestabelecido. É a nova versão do invejoso, que já não deseja ser o outro, mas algo imaginário e, portanto, irreal.
Márcia Cezimbra (texto adaptado)

Assinale a alternativa que completa corretamente as lacunas do texto, na ordem em que aparecem:

Questão Anulada

Provas

Questão presente nas seguintes provas