Foram encontradas 345 questões.
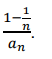
Seja a progressão geométrica (a1 , a2, … , an, … ) onde o primeiro termo a1 = 3 e a razão q = 1/4 .
Considere agora a função ƒ : N -> R definida por ƒ(n) = 
Marque a alternativa que contém o resultado de limn→∞ ƒ(n).
Provas
Considere o gráfico abaixo:

Marque a alternativa que contém a função correspondente.
Provas
Para entrar em uma Faculdade, Laura realizou uma prova de vestibular que continha o mesmo número de questões de Português, Matemática, Física e Conhecimentos Gerais. Cada questão valia a mesma quantidade de pontos.
Sabe-se que Laura acertou 56% das questões de Português, 78% das questões de Matemática, 32% da prova de Física e 61% das questões de Conhecimentos Gerais. Além disso, neste vestibular, o candidato que acertar número igual ou superior a 80% do total de questões está aprovado e ganhará bolsa de estudos, aquele que acertar número igual ou superior a 60% e inferior a 80% do total de questões está aprovado, mas sem bolsa, o candidato que acertar número igual ou superior a 50% e inferior a 60% do total de questões fará uma segunda etapa e aquele que acertar menos que 50% está reprovado.
Marque a alternativa CORRETA:
Provas
Dado o sistema linear abaixo, determine valores para x e y.

Marque a alternativa que contém, respectivamente, os valores de x e y.
Provas
“– Você não anda um pouco fatigado pelo excesso de trabalho? Gostaria de ser examinado”? – Estou me sentindo perfeitamente bem. Nunca me senti tão bem como agora. – Por que o senhor falou em médico? – Nada. Falei à toa. – Em todo caso, saiba que resolvemos conceder-lhe uma licença de três meses, e recomendar-lhe que a goze na Argentina, no Uruguai, por aí assim. Isso lhe fará bem, na certa. Samuel perturbou-se. – Mas eu não estou precisando de repouso. Estou forte, posso trabalhar. Ainda no começo do ano fui a Caxambu. Quem sabe se o banco está querendo me dispensar? O presidente não respondeu. – Devo interpretar seu silêncio como... uma afirmativa, é?”
Sobre o trecho acima, pode-se inferir que:
Provas
“É verdade que Turmalinas me compreendia pouco, e eu a compreendia menos. Meus requintes espasmódicos eram um pouco estranhos a uma terra em que a hematita calçava as ruas, dando às almas uma rigidez triste.”
Embora o conto seja um gênero fictício, essa passagem corresponde a aspectos autobiográficos. Percebe-se que o excerto faz uma intratextualidade, ou seja, intertextualidade com a própria poesia do autor. Marque a alternativa CORRETA, cujos versos comprovam isso.
Provas
Marque a alternativa que preenche CORRETAMENTE as lacunas do texto a seguir quanto ao emprego do sinal indicativo de crase.
"A casa está situada na rodovia RJ-151, ____ duas horas da capital, com o Rio Preto correndo paralelo pela sua esquerda. As árvores copadas de grande porte são obstáculo ____ uma visão perfeita da casa-sede. Próximas ao curral, na lateral direita, ficam enfileiradas espécies arbóreas frondosas de porte avantajado, semelhantes ____ europeias, formando uma grande área sombreada, com área especial para andar ____ cavalo".
(<http://www.institutocidadeviva.org.br/inventarios/sistema/wpcontent/uploads/2008/05/15_faz-santana_f15.pdf> Acesso em 01 nov. 2017- Adaptado)
Provas
Preste atenção no anúncio.

I. No anúncio, a frase em destaque "Chute o balde" pode ser substituída por "Tome uma atitude".
PORQUE
II. As expressões são antônimas e, como tal, a substituição de uma pela outra não altera o sentido pretendido.
Sobre as duas assertivas, é CORRETO afirmar que:
Provas
Leia, com atenção, a frase.
Os professores são heróis anônimos, meu amigo.
A frase traz na sua construção uma figura de linguagem que consiste no emprego de uma palavra com sentido que não lhe é comum ou próprio, sendo esse novo sentido resultante de uma relação de semelhança, de similaridade, de intersecção entre dois termos.
É CORRETO afirmar que essa figura é denominada:
Provas
Leia o texto a seguir.

A intertextualidade intergêneros é o fenômeno segundo o qual um gênero pode assumir a forma de outro gênero. A esse respeito, analise as informações dadas sobre o texto acima.
I. A finalidade do texto é a de divulgar um produto e, para isso, o gênero caça-palavras está a serviço do gênero propaganda.
II. O gênero propaganda se apresenta sob a forma de outro gênero - o caça-palavras, havendo, portanto, mescla de gêneros.
III. As palavras em destaque são indicações para se interpretar o texto como um passatempo e não como propaganda.
IV. A propaganda, ao se apresentar sob a forma de outro gênero, perde a sua função de informar e de divulgar o respectivo produto.
Está CORRETO apenas o que se afirma em
Provas
Caderno Container