Foram encontradas 202 questões.
Josiely é professora de música e dá aulas de 3 instrumentos: violão, teclado e flauta.
Em suas aulas comparecem:
- 20 alunos nas aulas de Violão.
- 25 alunos nas aulas de Teclado.
- 30 alunos nas aulas de Flauta. Sabe-se que:
- 5 alunos fazem Violão e também Teclado.
- 3 alunos fazem Violão e Flauta.
- nenhum aluno faz tanto Teclado quanto Flauta.
- nenhum aluno faz os três instrumentos ao mesmo tempo.
Qual é o total de alunos que fazem aulas de música com a professora Josiely?
Em suas aulas comparecem:
- 20 alunos nas aulas de Violão.
- 25 alunos nas aulas de Teclado.
- 30 alunos nas aulas de Flauta. Sabe-se que:
- 5 alunos fazem Violão e também Teclado.
- 3 alunos fazem Violão e Flauta.
- nenhum aluno faz tanto Teclado quanto Flauta.
- nenhum aluno faz os três instrumentos ao mesmo tempo.
Qual é o total de alunos que fazem aulas de música com a professora Josiely?
Provas
Questão presente nas seguintes provas
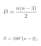
Em um polígono convexo, a quantidade de diagonais D e a soma dos ângulos internos S
podem ser calculas pelas seguintes fórmulas:
onde n é o número de lados do polígono.
Sabe-se também que um polígono convexo é regular quando todos os seus lados e ângulos internos são congruentes. Sabendo disso, assinale a alternativa que contém a informação CORRETA sobre um polígono regular.
onde n é o número de lados do polígono.
Sabe-se também que um polígono convexo é regular quando todos os seus lados e ângulos internos são congruentes. Sabendo disso, assinale a alternativa que contém a informação CORRETA sobre um polígono regular.
Provas
Questão presente nas seguintes provas
Em um jogo de caça-níqueis, o rolo tem três posições, e cada uma pode ser preenchida com
uma das seguintes frutas: limão, cereja ou maçã. Ou seja, em cada uma das posições o
jogador pode obter uma das três frutas.
No exemplo da figura, a última fruta ainda está sendo sorteada.
De todas as combinações possíveis, em qual percentual as três frutas serão iguais (ou seja, todas as frutas nas três posições serão a mesma)?
No exemplo da figura, a última fruta ainda está sendo sorteada.
De todas as combinações possíveis, em qual percentual as três frutas serão iguais (ou seja, todas as frutas nas três posições serão a mesma)?
Provas
Questão presente nas seguintes provas
A tabela-verdade a seguir apresenta algumas proposições com valores lógicos ocultos,
representados pelas letras a, b e c:
Com base nas regras lógicas e na análise da tabela, determine o valor lógico correspondente a a, b e c, respectivamente.
Com base nas regras lógicas e na análise da tabela, determine o valor lógico correspondente a a, b e c, respectivamente.
Provas
Questão presente nas seguintes provas
O texto seguinte servirá de base para responder à questão.
Divisibilidade
Considere dois números inteiros positivos a e b. Dizemos que a é divisível por b quando a divisão de a por b resulta em um quociente inteiro, ou seja, quando o resto dessa divisão é igual a zero.
Em termos matemáticos, escrevemos isso como a ÷ b = q, onde q é um número inteiro e o resto é zero.
Por exemplo:
• O número 15 é divisível por 5 porque 15 ÷ 5 = 3 e o resto é zero.
•Da mesma forma, 15 também é divisível por 3, já que 15 ÷ 3 = 5 e novamente o resto é zero.
No entanto, se tentarmos dividir 15 unidades igualmente entre 2 pessoas, cada pessoa receberá 7, e sobrará uma unidade. Isso acontece porque a divisão tem resto 1, o que significa que 15 não é divisível por 2.
Assim, concluímos que:
• 15 é divisível por 5 e por 3, mas não é divisível por 2.
Considere as seguintes afirmações sobre divisibilidade:
-Se um número é divisível por 4, então ele também é divisível por 2.
-Um número n é divisível por 12 se, e somente se, n é divisível por 4 e por 3.
-Se n é divisível por 6, então n é divisível por 3.
Com base nessas informações, analise as proposições e assinale a alternativa CORRETA.
Divisibilidade
Considere dois números inteiros positivos a e b. Dizemos que a é divisível por b quando a divisão de a por b resulta em um quociente inteiro, ou seja, quando o resto dessa divisão é igual a zero.
Em termos matemáticos, escrevemos isso como a ÷ b = q, onde q é um número inteiro e o resto é zero.
Por exemplo:
• O número 15 é divisível por 5 porque 15 ÷ 5 = 3 e o resto é zero.
•Da mesma forma, 15 também é divisível por 3, já que 15 ÷ 3 = 5 e novamente o resto é zero.
No entanto, se tentarmos dividir 15 unidades igualmente entre 2 pessoas, cada pessoa receberá 7, e sobrará uma unidade. Isso acontece porque a divisão tem resto 1, o que significa que 15 não é divisível por 2.
Assim, concluímos que:
• 15 é divisível por 5 e por 3, mas não é divisível por 2.
Considere as seguintes afirmações sobre divisibilidade:
-Se um número é divisível por 4, então ele também é divisível por 2.
-Um número n é divisível por 12 se, e somente se, n é divisível por 4 e por 3.
-Se n é divisível por 6, então n é divisível por 3.
Com base nessas informações, analise as proposições e assinale a alternativa CORRETA.
Provas
Questão presente nas seguintes provas
O texto seguinte servirá de base para responder à questão.
A terceira margem do rio
João Guimarães Rosa
Nosso pai era homem cumpridor, ordeiro, positivo; e sido assim desde mocinho e menino,
pelo que testemunharam as diversas sensatas pessoas, quando indaguei a informação. Do
que eu mesmo me alembro, ele não figurava mais estúrdio nem mais triste do que os outros,
conhecidos nossos. Só quieto. Nossa mãe era quem regia, e que ralhava no diário com a
gente — minha irmã, meu irmão e eu. Mas se deu que, certo dia, nosso pai mandou fazer
para si uma canoa.
Era a sério. Encomendou a canoa especial, de pau de vinhático, pequena, mal com a
tabuinha da popa, como para caber justo o remador. Mas teve de ser toda fabricada,
escolhida forte e arqueada em rijo, própria para dever durar na água por uns vinte ou
trinta anos. Nossa mãe jurou muito contra a idéia. Seria que, ele, que nessas artes não
vadiava, se ia propor agora para pescarias e caçadas? Nosso pai nada não dizia. Nossa casa,
no tempo, ainda era mais próxima do rio, obra de nem quarto de légua: o rio por aí se
estendendo grande, fundo, calado que sempre. Largo, de não se poder ver a forma da outra
beira. E esquecer não posso, do dia em que a canoa ficou pronta.
Sem alegria nem cuidado, nosso pai encalcou o chapéu e decidiu um adeus para a gente.
Nem falou outras palavras, não pegou matula e trouxa, não fez a alguma recomendação.
Nossa mãe, a gente achou que ela ia esbravejar, mas persistiu somente alva de pálida,
mascou o beiço e bramou: — "Cê vai, ocê fique, você nunca volte!". Nosso pai suspendeu a
resposta. Espiou manso para mim, me acenando de vir também, por uns passos. Temi a ira
de nossa mãe, mas obedeci, de vez de jeito. O rumo daquilo me animava, chega que um
propósito perguntei: — "Pai, o senhor me leva junto, nessa sua canoa?". Ele só retornou o
olhar em mim, e me botou a bênção, com gesto me mandando para trás. Fiz que vim, mas
ainda virei, na grota do mato, para saber. Nosso pai entrou na canoa e desamarrou, pelo remar. E a canoa saiu se indo — a sombra dela por igual, feito um jacaré, comprida longa.
Nosso pai não voltou. Ele não tinha ido a nenhuma parte. Só executava a invenção de se
permanecer naqueles espaços do rio, de meio a meio, sempre dentro da canoa, para dela não
saltar, nunca mais. A estranheza dessa verdade deu para estarrecer de todo a gente. Aquilo
que não havia, acontecia. Os parentes, vizinhos e conhecidos nossos, se reuniram, tomaram
juntamente conselho.
Nossa mãe, vergonhosa, se portou com muita cordura; por isso, todos pensaram de nosso
pai a razão em que não queriam falar: doideira. Só uns achavam o entanto de poder
também ser pagamento de promessa; ou que, nosso pai, quem sabe, por escrúpulo de estar
com alguma feia doença, que seja, a lepra, se desertava para outra sina de existir, perto e
longe de sua família dele. As vozes das notícias se dando pelas certas pessoas — passadores,
moradores das beiras, até do afastado da outra banda — descrevendo que nosso pai nunca
se surgia a tomar terra, em ponto nem canto, de dia nem de noite, da forma como cursava
no rio, solto solitariamente. Então, pois, nossa mãe e os aparentados nossos, assentaram:
que o mantimento que tivesse, ocultado na canoa, se gastava; e, ele, ou desembarcava e
viajava s'embora, para jamais, o que ao menos se condizia mais correto, ou se arrependia,
por uma vez, para casa.
No que num engano. Eu mesmo cumpria de trazer para ele, cada dia, um tanto de comida
furtada: a ideia que senti, logo na primeira noite, quando o pessoal nosso experimentou de
acender fogueiras em beirada do rio, enquanto que, no alumiado delas, se rezava e se
chamava. Depois, no seguinte, apareci, com rapadura, broa de pão, cacho de bananas.
Enxerguei nosso pai, no enfim de uma hora, tão custosa para sobrevir: só assim, ele no aolonge, sentado no fundo da canoa, suspendida no liso do rio. Me viu, não remou para cá,
não fez sinal. Mostrei o de comer, depositei num oco de pedra do barranco, a salvo de bicho
mexer e a seco de chuva e orvalho. Isso, que fiz, e refiz, sempre, tempos a fora. Surpresa que
mais tarde tive: que nossa mãe sabia desse meu encargo, só se encobrindo de não saber; ela
mesma deixava, facilitado, sobra de coisas, para o meu conseguir. Nossa mãe muito não se
demonstrava.
Mandou vir o tio nosso, irmão dela, para auxiliar na fazenda e nos negócios. Mandou vir o
mestre, para nós, os meninos. Incumbiu ao padre que um dia se revestisse, em praia de
margem, para esconjurar e clamar a nosso pai o dever de desistir da tristonha teima. De
outra, por arranjo dela, para medo, vieram os dois soldados. Tudo o que não valeu de nada.
Nosso pai passava ao largo, avistado ou diluso, cruzando na canoa, sem deixar ninguém se
chegar à pega ou à fala. Mesmo quando foi, não faz muito, dos homens do jornal, que
trouxeram a lancha e tencionavam tirar retrato dele, não venceram: nosso pai se
desaparecia para a outra banda, aproava a canoa no brejão, de léguas, que há, por entre
juncos e mato, e só ele conhecesse, a palmos, a escuridão, daquele.
A gente teve de se acostumar com aquilo. Às penas, que, com aquilo, a gente mesmo nunca
se acostumou, em si, na verdade. Tiro por mim, que, no que queria, e no que não queria, só
com nosso pai me achava: assunto que jogava para trás meus pensamentos. O severo que era, de não se entender, de maneira nenhuma, como ele aguentava. De dia e de noite, com
sol ou aguaceiros, calor, sereno, e nas friagens terríveis de meio-do-ano, sem arrumo, só com
o chapéu velho na cabeça, por todas as semanas, e meses, e os anos — sem fazer conta do seir do viver. Não pojava em nenhuma das duas beiras, nem nas ilhas e croas do rio, não pisou
mais em chão nem capim. Por certo, ao menos, que, para dormir seu tanto, ele fizesse
amarração da canoa, em alguma ponta-de-ilha, no esconso. Mas não armava um foguinho
em praia, nem dispunha de sua luz feita, nunca mais riscou um fósforo. O que consumia de
comer, era só um quase; mesmo do que a gente depositava, no entre as raízes da gameleira,
ou na lapinha de pedra do barranco, ele recolhia pouco, nem o bastável. Não adoecia? E a
constante força dos braços, para ter tento na canoa, resistido, mesmo na demasia das
enchentes, no subimento, aí quando no lanço da correnteza enorme do rio tudo rola o
perigoso, aqueles corpos de bichos mortos e paus-de-árvore descendo — de espanto de
esbarro. E nunca falou mais palavra, com pessoa alguma. Nós, também, não falávamos mais
nele. Só se pensava. Não, de nosso pai não se podia ter esquecimento; e, se, por um pouco, a
gente fazia que esquecia, era só para se despertar de novo, de repente, com a memória, no
passo de outros sobressaltos.
Minha irmã se casou; nossa mãe não quis festa. A gente imaginava nele, quando se comia
uma comida mais gostosa; assim como, no gasalhado da noite, no desamparo dessas noites
de muita chuva, fria, forte, nosso pai só com a mão e uma cabaça para ir esvaziando a canoa
da água do temporal. Às vezes, algum conhecido nosso achava que eu ia ficando mais
parecido com nosso pai. Mas eu sabia que ele agora virara cabeludo, barbudo, de unhas
grandes, mal e magro, ficado preto de sol e dos pêlos, com o aspecto de bicho, conforme
quase nu, mesmo dispondo das peças de roupas que a gente de tempos em tempos fornecia.
Nem queria saber de nós; não tinha afeto? Mas, por afeto mesmo, de respeito, sempre que
às vezes me louvavam, por causa de algum meu bom procedimento, eu falava: — "Foi pai
que um dia me ensinou a fazer assim..."; o que não era o certo, exato; mas, que era mentira
por verdade. Sendo que, se ele não se lembrava mais, nem queria saber da gente, por que,
então, não subia ou descia o rio, para outras paragens, longe, no não-encontrável? Só ele
soubesse. Mas minha irmã teve menino, ela mesma entestou que queria mostrar para ele o
neto. Viemos, todos, no barranco, foi num dia bonito, minha irmã de vestido branco, que
tinha sido o do casamento, ela erguia nos braços a criancinha, o marido dela segurou, para
defender os dois, o guarda-sol. A gente chamou, esperou. Nosso pai não apareceu. Minha
irmã chorou, nós todos aí choramos, abraçados.
Minha irmã se mudou, com o marido, para longe daqui. Meu irmão resolveu e se foi, para
uma cidade. Os tempos mudavam, no devagar depressa dos tempos. Nossa mãe terminou
indo também, de uma vez, residir com minha irmã, ela estava envelhecida. Eu fiquei aqui,
de resto. Eu nunca podia querer me casar. Eu permaneci, com as bagagens da vida. Nosso
pai carecia de mim, eu sei — na vagação, no rio no ermo — sem dar razão de seu feito. Seja
que, quando eu quis mesmo saber, e firme indaguei, me diz-que-disseram: que constava que
nosso pai, alguma vez, tivesse revelado a explicação, ao homem que para ele aprontara a
canoa. Mas, agora, esse homem já tinha morrido, ninguém soubesse, fizesse recordação, de nada mais. Só as falsas conversas, sem senso, como por ocasião, no começo, na vinda das
primeiras cheias do rio, com chuvas que não estiavam, todos temeram o fim-do-mundo,
diziam: que nosso pai fosse o avisado que nem Noé, que, por tanto, a canoa ele tinha
antecipado; pois agora me entrelembro. Meu pai, eu não podia malsinar. E apontavam já
em mim uns primeiros cabelos brancos.
Sou homem de tristes palavras. De que era que eu tinha tanta, tanta culpa? Se o meu pai,
sempre fazendo ausência: e o rio-rio-rio, o rio — pondo perpétuo. Eu sofria já o começo de
velhice — esta vida era só o demoramento. Eu mesmo tinha achaques, ânsias, cá de baixo,
cansaços, perrenguice de reumatismo. E ele? Por quê? Devia de padecer demais. De tão
idoso, não ia, mais dia menos dia, fraquejar do vigor, deixar que a canoa emborcasse, ou
que bubuiasse sem pulso, na levada do rio, para se despenhar horas abaixo, em tororoma e
no tombo da cachoeira, brava, com o fervimento e morte. Apertava o coração. Ele estava lá,
sem a minha tranquilidade. Sou o culpado do que nem sei, de dor em aberto, no meu foro.
Soubesse — se as coisas fossem outras. E fui tomando ideia.
Sem fazer véspera. Sou doido? Não. Na nossa casa, a palavra doido não se falava, nunca
mais se falou, os anos todos, não se condenava ninguém de doido. Ninguém é doido. Ou,
então, todos. Só fiz, que fui lá. Com um lenço, para o aceno ser mais. Eu estava muito no
meu sentido. Esperei. Ao por fim, ele apareceu, aí e lá, o vulto. Estava ali, sentado à popa.
Estava ali, de grito. Chamei, umas quantas vezes. E falei, o que me urgia, jurado e
declarado, tive que reforçar a voz: — "Pai, o senhor está velho, já fez o seu tanto... Agora, o
senhor vem, não carece mais... O senhor vem, e eu, agora mesmo, quando que seja, a ambas
vontades, eu tomo o seu lugar, do senhor, na canoa!..." E, assim dizendo, meu coração bateu
no compasso do mais certo.
Ele me escutou. Ficou em pé. Manejou remo n'água, proava para cá, concordado. E eu
tremi, profundo, de repente: porque, antes, ele tinha levantado o braço e feito um saudar de
gesto — o primeiro, depois de tamanhos anos decorridos! E eu não podia... Por pavor,
arrepiados os cabelos, corri, fugi, me tirei de lá, num procedimento desatinado. Porquanto
que ele me pareceu vir: da parte de além. E estou pedindo, pedindo, pedindo um perdão.
Sofri o grave frio dos medos, adoeci. Sei que ninguém soube mais dele. Sou homem, depois
desse falimento? Sou o que não foi, o que vai ficar calado. Sei que agora é tarde, e temo
abreviar com a vida, nos rasos do mundo. Mas, então, ao menos, que, no artigo da morte,
peguem em mim, e me depositem também numa canoinha de nada, nessa água que não
pára, de longas beiras: e, eu, rio abaixo, rio a fora, rio a dentro — o rio.
Provas
Questão presente nas seguintes provas
O texto seguinte servirá de base para responder à questão.
A terceira margem do rio
João Guimarães Rosa
Nosso pai era homem cumpridor, ordeiro, positivo; e sido assim desde mocinho e menino,
pelo que testemunharam as diversas sensatas pessoas, quando indaguei a informação. Do
que eu mesmo me alembro, ele não figurava mais estúrdio nem mais triste do que os outros,
conhecidos nossos. Só quieto. Nossa mãe era quem regia, e que ralhava no diário com a
gente — minha irmã, meu irmão e eu. Mas se deu que, certo dia, nosso pai mandou fazer
para si uma canoa.
Era a sério. Encomendou a canoa especial, de pau de vinhático, pequena, mal com a
tabuinha da popa, como para caber justo o remador. Mas teve de ser toda fabricada,
escolhida forte e arqueada em rijo, própria para dever durar na água por uns vinte ou
trinta anos. Nossa mãe jurou muito contra a idéia. Seria que, ele, que nessas artes não
vadiava, se ia propor agora para pescarias e caçadas? Nosso pai nada não dizia. Nossa casa,
no tempo, ainda era mais próxima do rio, obra de nem quarto de légua: o rio por aí se
estendendo grande, fundo, calado que sempre. Largo, de não se poder ver a forma da outra
beira. E esquecer não posso, do dia em que a canoa ficou pronta.
Sem alegria nem cuidado, nosso pai encalcou o chapéu e decidiu um adeus para a gente.
Nem falou outras palavras, não pegou matula e trouxa, não fez a alguma recomendação.
Nossa mãe, a gente achou que ela ia esbravejar, mas persistiu somente alva de pálida,
mascou o beiço e bramou: — "Cê vai, ocê fique, você nunca volte!". Nosso pai suspendeu a
resposta. Espiou manso para mim, me acenando de vir também, por uns passos. Temi a ira
de nossa mãe, mas obedeci, de vez de jeito. O rumo daquilo me animava, chega que um
propósito perguntei: — "Pai, o senhor me leva junto, nessa sua canoa?". Ele só retornou o
olhar em mim, e me botou a bênção, com gesto me mandando para trás. Fiz que vim, mas
ainda virei, na grota do mato, para saber. Nosso pai entrou na canoa e desamarrou, pelo remar. E a canoa saiu se indo — a sombra dela por igual, feito um jacaré, comprida longa.
Nosso pai não voltou. Ele não tinha ido a nenhuma parte. Só executava a invenção de se
permanecer naqueles espaços do rio, de meio a meio, sempre dentro da canoa, para dela não
saltar, nunca mais. A estranheza dessa verdade deu para estarrecer de todo a gente. Aquilo
que não havia, acontecia. Os parentes, vizinhos e conhecidos nossos, se reuniram, tomaram
juntamente conselho.
Nossa mãe, vergonhosa, se portou com muita cordura; por isso, todos pensaram de nosso
pai a razão em que não queriam falar: doideira. Só uns achavam o entanto de poder
também ser pagamento de promessa; ou que, nosso pai, quem sabe, por escrúpulo de estar
com alguma feia doença, que seja, a lepra, se desertava para outra sina de existir, perto e
longe de sua família dele. As vozes das notícias se dando pelas certas pessoas — passadores,
moradores das beiras, até do afastado da outra banda — descrevendo que nosso pai nunca
se surgia a tomar terra, em ponto nem canto, de dia nem de noite, da forma como cursava
no rio, solto solitariamente. Então, pois, nossa mãe e os aparentados nossos, assentaram:
que o mantimento que tivesse, ocultado na canoa, se gastava; e, ele, ou desembarcava e
viajava s'embora, para jamais, o que ao menos se condizia mais correto, ou se arrependia,
por uma vez, para casa.
No que num engano. Eu mesmo cumpria de trazer para ele, cada dia, um tanto de comida
furtada: a ideia que senti, logo na primeira noite, quando o pessoal nosso experimentou de
acender fogueiras em beirada do rio, enquanto que, no alumiado delas, se rezava e se
chamava. Depois, no seguinte, apareci, com rapadura, broa de pão, cacho de bananas.
Enxerguei nosso pai, no enfim de uma hora, tão custosa para sobrevir: só assim, ele no aolonge, sentado no fundo da canoa, suspendida no liso do rio. Me viu, não remou para cá,
não fez sinal. Mostrei o de comer, depositei num oco de pedra do barranco, a salvo de bicho
mexer e a seco de chuva e orvalho. Isso, que fiz, e refiz, sempre, tempos a fora. Surpresa que
mais tarde tive: que nossa mãe sabia desse meu encargo, só se encobrindo de não saber; ela
mesma deixava, facilitado, sobra de coisas, para o meu conseguir. Nossa mãe muito não se
demonstrava.
Mandou vir o tio nosso, irmão dela, para auxiliar na fazenda e nos negócios. Mandou vir o
mestre, para nós, os meninos. Incumbiu ao padre que um dia se revestisse, em praia de
margem, para esconjurar e clamar a nosso pai o dever de desistir da tristonha teima. De
outra, por arranjo dela, para medo, vieram os dois soldados. Tudo o que não valeu de nada.
Nosso pai passava ao largo, avistado ou diluso, cruzando na canoa, sem deixar ninguém se
chegar à pega ou à fala. Mesmo quando foi, não faz muito, dos homens do jornal, que
trouxeram a lancha e tencionavam tirar retrato dele, não venceram: nosso pai se
desaparecia para a outra banda, aproava a canoa no brejão, de léguas, que há, por entre
juncos e mato, e só ele conhecesse, a palmos, a escuridão, daquele.
A gente teve de se acostumar com aquilo. Às penas, que, com aquilo, a gente mesmo nunca
se acostumou, em si, na verdade. Tiro por mim, que, no que queria, e no que não queria, só
com nosso pai me achava: assunto que jogava para trás meus pensamentos. O severo que era, de não se entender, de maneira nenhuma, como ele aguentava. De dia e de noite, com
sol ou aguaceiros, calor, sereno, e nas friagens terríveis de meio-do-ano, sem arrumo, só com
o chapéu velho na cabeça, por todas as semanas, e meses, e os anos — sem fazer conta do seir do viver. Não pojava em nenhuma das duas beiras, nem nas ilhas e croas do rio, não pisou
mais em chão nem capim. Por certo, ao menos, que, para dormir seu tanto, ele fizesse
amarração da canoa, em alguma ponta-de-ilha, no esconso. Mas não armava um foguinho
em praia, nem dispunha de sua luz feita, nunca mais riscou um fósforo. O que consumia de
comer, era só um quase; mesmo do que a gente depositava, no entre as raízes da gameleira,
ou na lapinha de pedra do barranco, ele recolhia pouco, nem o bastável. Não adoecia? E a
constante força dos braços, para ter tento na canoa, resistido, mesmo na demasia das
enchentes, no subimento, aí quando no lanço da correnteza enorme do rio tudo rola o
perigoso, aqueles corpos de bichos mortos e paus-de-árvore descendo — de espanto de
esbarro. E nunca falou mais palavra, com pessoa alguma. Nós, também, não falávamos mais
nele. Só se pensava. Não, de nosso pai não se podia ter esquecimento; e, se, por um pouco, a
gente fazia que esquecia, era só para se despertar de novo, de repente, com a memória, no
passo de outros sobressaltos.
Minha irmã se casou; nossa mãe não quis festa. A gente imaginava nele, quando se comia
uma comida mais gostosa; assim como, no gasalhado da noite, no desamparo dessas noites
de muita chuva, fria, forte, nosso pai só com a mão e uma cabaça para ir esvaziando a canoa
da água do temporal. Às vezes, algum conhecido nosso achava que eu ia ficando mais
parecido com nosso pai. Mas eu sabia que ele agora virara cabeludo, barbudo, de unhas
grandes, mal e magro, ficado preto de sol e dos pêlos, com o aspecto de bicho, conforme
quase nu, mesmo dispondo das peças de roupas que a gente de tempos em tempos fornecia.
Nem queria saber de nós; não tinha afeto? Mas, por afeto mesmo, de respeito, sempre que
às vezes me louvavam, por causa de algum meu bom procedimento, eu falava: — "Foi pai
que um dia me ensinou a fazer assim..."; o que não era o certo, exato; mas, que era mentira
por verdade. Sendo que, se ele não se lembrava mais, nem queria saber da gente, por que,
então, não subia ou descia o rio, para outras paragens, longe, no não-encontrável? Só ele
soubesse. Mas minha irmã teve menino, ela mesma entestou que queria mostrar para ele o
neto. Viemos, todos, no barranco, foi num dia bonito, minha irmã de vestido branco, que
tinha sido o do casamento, ela erguia nos braços a criancinha, o marido dela segurou, para
defender os dois, o guarda-sol. A gente chamou, esperou. Nosso pai não apareceu. Minha
irmã chorou, nós todos aí choramos, abraçados.
Minha irmã se mudou, com o marido, para longe daqui. Meu irmão resolveu e se foi, para
uma cidade. Os tempos mudavam, no devagar depressa dos tempos. Nossa mãe terminou
indo também, de uma vez, residir com minha irmã, ela estava envelhecida. Eu fiquei aqui,
de resto. Eu nunca podia querer me casar. Eu permaneci, com as bagagens da vida. Nosso
pai carecia de mim, eu sei — na vagação, no rio no ermo — sem dar razão de seu feito. Seja
que, quando eu quis mesmo saber, e firme indaguei, me diz-que-disseram: que constava que
nosso pai, alguma vez, tivesse revelado a explicação, ao homem que para ele aprontara a
canoa. Mas, agora, esse homem já tinha morrido, ninguém soubesse, fizesse recordação, de nada mais. Só as falsas conversas, sem senso, como por ocasião, no começo, na vinda das
primeiras cheias do rio, com chuvas que não estiavam, todos temeram o fim-do-mundo,
diziam: que nosso pai fosse o avisado que nem Noé, que, por tanto, a canoa ele tinha
antecipado; pois agora me entrelembro. Meu pai, eu não podia malsinar. E apontavam já
em mim uns primeiros cabelos brancos.
Sou homem de tristes palavras. De que era que eu tinha tanta, tanta culpa? Se o meu pai,
sempre fazendo ausência: e o rio-rio-rio, o rio — pondo perpétuo. Eu sofria já o começo de
velhice — esta vida era só o demoramento. Eu mesmo tinha achaques, ânsias, cá de baixo,
cansaços, perrenguice de reumatismo. E ele? Por quê? Devia de padecer demais. De tão
idoso, não ia, mais dia menos dia, fraquejar do vigor, deixar que a canoa emborcasse, ou
que bubuiasse sem pulso, na levada do rio, para se despenhar horas abaixo, em tororoma e
no tombo da cachoeira, brava, com o fervimento e morte. Apertava o coração. Ele estava lá,
sem a minha tranquilidade. Sou o culpado do que nem sei, de dor em aberto, no meu foro.
Soubesse — se as coisas fossem outras. E fui tomando ideia.
Sem fazer véspera. Sou doido? Não. Na nossa casa, a palavra doido não se falava, nunca
mais se falou, os anos todos, não se condenava ninguém de doido. Ninguém é doido. Ou,
então, todos. Só fiz, que fui lá. Com um lenço, para o aceno ser mais. Eu estava muito no
meu sentido. Esperei. Ao por fim, ele apareceu, aí e lá, o vulto. Estava ali, sentado à popa.
Estava ali, de grito. Chamei, umas quantas vezes. E falei, o que me urgia, jurado e
declarado, tive que reforçar a voz: — "Pai, o senhor está velho, já fez o seu tanto... Agora, o
senhor vem, não carece mais... O senhor vem, e eu, agora mesmo, quando que seja, a ambas
vontades, eu tomo o seu lugar, do senhor, na canoa!..." E, assim dizendo, meu coração bateu
no compasso do mais certo.
Ele me escutou. Ficou em pé. Manejou remo n'água, proava para cá, concordado. E eu
tremi, profundo, de repente: porque, antes, ele tinha levantado o braço e feito um saudar de
gesto — o primeiro, depois de tamanhos anos decorridos! E eu não podia... Por pavor,
arrepiados os cabelos, corri, fugi, me tirei de lá, num procedimento desatinado. Porquanto
que ele me pareceu vir: da parte de além. E estou pedindo, pedindo, pedindo um perdão.
Sofri o grave frio dos medos, adoeci. Sei que ninguém soube mais dele. Sou homem, depois
desse falimento? Sou o que não foi, o que vai ficar calado. Sei que agora é tarde, e temo
abreviar com a vida, nos rasos do mundo. Mas, então, ao menos, que, no artigo da morte,
peguem em mim, e me depositem também numa canoinha de nada, nessa água que não
pára, de longas beiras: e, eu, rio abaixo, rio a fora, rio a dentro — o rio.
Provas
Questão presente nas seguintes provas
O texto seguinte servirá de base para responder à questão.
A terceira margem do rio
João Guimarães Rosa
Nosso pai era homem cumpridor, ordeiro, positivo; e sido assim desde mocinho e menino,
pelo que testemunharam as diversas sensatas pessoas, quando indaguei a informação. Do
que eu mesmo me alembro, ele não figurava mais estúrdio nem mais triste do que os outros,
conhecidos nossos. Só quieto. Nossa mãe era quem regia, e que ralhava no diário com a
gente — minha irmã, meu irmão e eu. Mas se deu que, certo dia, nosso pai mandou fazer
para si uma canoa.
Era a sério. Encomendou a canoa especial, de pau de vinhático, pequena, mal com a
tabuinha da popa, como para caber justo o remador. Mas teve de ser toda fabricada,
escolhida forte e arqueada em rijo, própria para dever durar na água por uns vinte ou
trinta anos. Nossa mãe jurou muito contra a idéia. Seria que, ele, que nessas artes não
vadiava, se ia propor agora para pescarias e caçadas? Nosso pai nada não dizia. Nossa casa,
no tempo, ainda era mais próxima do rio, obra de nem quarto de légua: o rio por aí se
estendendo grande, fundo, calado que sempre. Largo, de não se poder ver a forma da outra
beira. E esquecer não posso, do dia em que a canoa ficou pronta.
Sem alegria nem cuidado, nosso pai encalcou o chapéu e decidiu um adeus para a gente.
Nem falou outras palavras, não pegou matula e trouxa, não fez a alguma recomendação.
Nossa mãe, a gente achou que ela ia esbravejar, mas persistiu somente alva de pálida,
mascou o beiço e bramou: — "Cê vai, ocê fique, você nunca volte!". Nosso pai suspendeu a
resposta. Espiou manso para mim, me acenando de vir também, por uns passos. Temi a ira
de nossa mãe, mas obedeci, de vez de jeito. O rumo daquilo me animava, chega que um
propósito perguntei: — "Pai, o senhor me leva junto, nessa sua canoa?". Ele só retornou o
olhar em mim, e me botou a bênção, com gesto me mandando para trás. Fiz que vim, mas
ainda virei, na grota do mato, para saber. Nosso pai entrou na canoa e desamarrou, pelo remar. E a canoa saiu se indo — a sombra dela por igual, feito um jacaré, comprida longa.
Nosso pai não voltou. Ele não tinha ido a nenhuma parte. Só executava a invenção de se
permanecer naqueles espaços do rio, de meio a meio, sempre dentro da canoa, para dela não
saltar, nunca mais. A estranheza dessa verdade deu para estarrecer de todo a gente. Aquilo
que não havia, acontecia. Os parentes, vizinhos e conhecidos nossos, se reuniram, tomaram
juntamente conselho.
Nossa mãe, vergonhosa, se portou com muita cordura; por isso, todos pensaram de nosso
pai a razão em que não queriam falar: doideira. Só uns achavam o entanto de poder
também ser pagamento de promessa; ou que, nosso pai, quem sabe, por escrúpulo de estar
com alguma feia doença, que seja, a lepra, se desertava para outra sina de existir, perto e
longe de sua família dele. As vozes das notícias se dando pelas certas pessoas — passadores,
moradores das beiras, até do afastado da outra banda — descrevendo que nosso pai nunca
se surgia a tomar terra, em ponto nem canto, de dia nem de noite, da forma como cursava
no rio, solto solitariamente. Então, pois, nossa mãe e os aparentados nossos, assentaram:
que o mantimento que tivesse, ocultado na canoa, se gastava; e, ele, ou desembarcava e
viajava s'embora, para jamais, o que ao menos se condizia mais correto, ou se arrependia,
por uma vez, para casa.
No que num engano. Eu mesmo cumpria de trazer para ele, cada dia, um tanto de comida
furtada: a ideia que senti, logo na primeira noite, quando o pessoal nosso experimentou de
acender fogueiras em beirada do rio, enquanto que, no alumiado delas, se rezava e se
chamava. Depois, no seguinte, apareci, com rapadura, broa de pão, cacho de bananas.
Enxerguei nosso pai, no enfim de uma hora, tão custosa para sobrevir: só assim, ele no aolonge, sentado no fundo da canoa, suspendida no liso do rio. Me viu, não remou para cá,
não fez sinal. Mostrei o de comer, depositei num oco de pedra do barranco, a salvo de bicho
mexer e a seco de chuva e orvalho. Isso, que fiz, e refiz, sempre, tempos a fora. Surpresa que
mais tarde tive: que nossa mãe sabia desse meu encargo, só se encobrindo de não saber; ela
mesma deixava, facilitado, sobra de coisas, para o meu conseguir. Nossa mãe muito não se
demonstrava.
Mandou vir o tio nosso, irmão dela, para auxiliar na fazenda e nos negócios. Mandou vir o
mestre, para nós, os meninos. Incumbiu ao padre que um dia se revestisse, em praia de
margem, para esconjurar e clamar a nosso pai o dever de desistir da tristonha teima. De
outra, por arranjo dela, para medo, vieram os dois soldados. Tudo o que não valeu de nada.
Nosso pai passava ao largo, avistado ou diluso, cruzando na canoa, sem deixar ninguém se
chegar à pega ou à fala. Mesmo quando foi, não faz muito, dos homens do jornal, que
trouxeram a lancha e tencionavam tirar retrato dele, não venceram: nosso pai se
desaparecia para a outra banda, aproava a canoa no brejão, de léguas, que há, por entre
juncos e mato, e só ele conhecesse, a palmos, a escuridão, daquele.
A gente teve de se acostumar com aquilo. Às penas, que, com aquilo, a gente mesmo nunca
se acostumou, em si, na verdade. Tiro por mim, que, no que queria, e no que não queria, só
com nosso pai me achava: assunto que jogava para trás meus pensamentos. O severo que era, de não se entender, de maneira nenhuma, como ele aguentava. De dia e de noite, com
sol ou aguaceiros, calor, sereno, e nas friagens terríveis de meio-do-ano, sem arrumo, só com
o chapéu velho na cabeça, por todas as semanas, e meses, e os anos — sem fazer conta do seir do viver. Não pojava em nenhuma das duas beiras, nem nas ilhas e croas do rio, não pisou
mais em chão nem capim. Por certo, ao menos, que, para dormir seu tanto, ele fizesse
amarração da canoa, em alguma ponta-de-ilha, no esconso. Mas não armava um foguinho
em praia, nem dispunha de sua luz feita, nunca mais riscou um fósforo. O que consumia de
comer, era só um quase; mesmo do que a gente depositava, no entre as raízes da gameleira,
ou na lapinha de pedra do barranco, ele recolhia pouco, nem o bastável. Não adoecia? E a
constante força dos braços, para ter tento na canoa, resistido, mesmo na demasia das
enchentes, no subimento, aí quando no lanço da correnteza enorme do rio tudo rola o
perigoso, aqueles corpos de bichos mortos e paus-de-árvore descendo — de espanto de
esbarro. E nunca falou mais palavra, com pessoa alguma. Nós, também, não falávamos mais
nele. Só se pensava. Não, de nosso pai não se podia ter esquecimento; e, se, por um pouco, a
gente fazia que esquecia, era só para se despertar de novo, de repente, com a memória, no
passo de outros sobressaltos.
Minha irmã se casou; nossa mãe não quis festa. A gente imaginava nele, quando se comia
uma comida mais gostosa; assim como, no gasalhado da noite, no desamparo dessas noites
de muita chuva, fria, forte, nosso pai só com a mão e uma cabaça para ir esvaziando a canoa
da água do temporal. Às vezes, algum conhecido nosso achava que eu ia ficando mais
parecido com nosso pai. Mas eu sabia que ele agora virara cabeludo, barbudo, de unhas
grandes, mal e magro, ficado preto de sol e dos pêlos, com o aspecto de bicho, conforme
quase nu, mesmo dispondo das peças de roupas que a gente de tempos em tempos fornecia.
Nem queria saber de nós; não tinha afeto? Mas, por afeto mesmo, de respeito, sempre que
às vezes me louvavam, por causa de algum meu bom procedimento, eu falava: — "Foi pai
que um dia me ensinou a fazer assim..."; o que não era o certo, exato; mas, que era mentira
por verdade. Sendo que, se ele não se lembrava mais, nem queria saber da gente, por que,
então, não subia ou descia o rio, para outras paragens, longe, no não-encontrável? Só ele
soubesse. Mas minha irmã teve menino, ela mesma entestou que queria mostrar para ele o
neto. Viemos, todos, no barranco, foi num dia bonito, minha irmã de vestido branco, que
tinha sido o do casamento, ela erguia nos braços a criancinha, o marido dela segurou, para
defender os dois, o guarda-sol. A gente chamou, esperou. Nosso pai não apareceu. Minha
irmã chorou, nós todos aí choramos, abraçados.
Minha irmã se mudou, com o marido, para longe daqui. Meu irmão resolveu e se foi, para
uma cidade. Os tempos mudavam, no devagar depressa dos tempos. Nossa mãe terminou
indo também, de uma vez, residir com minha irmã, ela estava envelhecida. Eu fiquei aqui,
de resto. Eu nunca podia querer me casar. Eu permaneci, com as bagagens da vida. Nosso
pai carecia de mim, eu sei — na vagação, no rio no ermo — sem dar razão de seu feito. Seja
que, quando eu quis mesmo saber, e firme indaguei, me diz-que-disseram: que constava que
nosso pai, alguma vez, tivesse revelado a explicação, ao homem que para ele aprontara a
canoa. Mas, agora, esse homem já tinha morrido, ninguém soubesse, fizesse recordação, de nada mais. Só as falsas conversas, sem senso, como por ocasião, no começo, na vinda das
primeiras cheias do rio, com chuvas que não estiavam, todos temeram o fim-do-mundo,
diziam: que nosso pai fosse o avisado que nem Noé, que, por tanto, a canoa ele tinha
antecipado; pois agora me entrelembro. Meu pai, eu não podia malsinar. E apontavam já
em mim uns primeiros cabelos brancos.
Sou homem de tristes palavras. De que era que eu tinha tanta, tanta culpa? Se o meu pai,
sempre fazendo ausência: e o rio-rio-rio, o rio — pondo perpétuo. Eu sofria já o começo de
velhice — esta vida era só o demoramento. Eu mesmo tinha achaques, ânsias, cá de baixo,
cansaços, perrenguice de reumatismo. E ele? Por quê? Devia de padecer demais. De tão
idoso, não ia, mais dia menos dia, fraquejar do vigor, deixar que a canoa emborcasse, ou
que bubuiasse sem pulso, na levada do rio, para se despenhar horas abaixo, em tororoma e
no tombo da cachoeira, brava, com o fervimento e morte. Apertava o coração. Ele estava lá,
sem a minha tranquilidade. Sou o culpado do que nem sei, de dor em aberto, no meu foro.
Soubesse — se as coisas fossem outras. E fui tomando ideia.
Sem fazer véspera. Sou doido? Não. Na nossa casa, a palavra doido não se falava, nunca
mais se falou, os anos todos, não se condenava ninguém de doido. Ninguém é doido. Ou,
então, todos. Só fiz, que fui lá. Com um lenço, para o aceno ser mais. Eu estava muito no
meu sentido. Esperei. Ao por fim, ele apareceu, aí e lá, o vulto. Estava ali, sentado à popa.
Estava ali, de grito. Chamei, umas quantas vezes. E falei, o que me urgia, jurado e
declarado, tive que reforçar a voz: — "Pai, o senhor está velho, já fez o seu tanto... Agora, o
senhor vem, não carece mais... O senhor vem, e eu, agora mesmo, quando que seja, a ambas
vontades, eu tomo o seu lugar, do senhor, na canoa!..." E, assim dizendo, meu coração bateu
no compasso do mais certo.
Ele me escutou. Ficou em pé. Manejou remo n'água, proava para cá, concordado. E eu
tremi, profundo, de repente: porque, antes, ele tinha levantado o braço e feito um saudar de
gesto — o primeiro, depois de tamanhos anos decorridos! E eu não podia... Por pavor,
arrepiados os cabelos, corri, fugi, me tirei de lá, num procedimento desatinado. Porquanto
que ele me pareceu vir: da parte de além. E estou pedindo, pedindo, pedindo um perdão.
Sofri o grave frio dos medos, adoeci. Sei que ninguém soube mais dele. Sou homem, depois
desse falimento? Sou o que não foi, o que vai ficar calado. Sei que agora é tarde, e temo
abreviar com a vida, nos rasos do mundo. Mas, então, ao menos, que, no artigo da morte,
peguem em mim, e me depositem também numa canoinha de nada, nessa água que não
pára, de longas beiras: e, eu, rio abaixo, rio a fora, rio a dentro — o rio.
Provas
Questão presente nas seguintes provas
O texto seguinte servirá de base para responder à questão.
A terceira margem do rio
João Guimarães Rosa
Nosso pai era homem cumpridor, ordeiro, positivo; e sido assim desde mocinho e menino,
pelo que testemunharam as diversas sensatas pessoas, quando indaguei a informação. Do
que eu mesmo me alembro, ele não figurava mais estúrdio nem mais triste do que os outros,
conhecidos nossos. Só quieto. Nossa mãe era quem regia, e que ralhava no diário com a
gente — minha irmã, meu irmão e eu. Mas se deu que, certo dia, nosso pai mandou fazer
para si uma canoa.
Era a sério. Encomendou a canoa especial, de pau de vinhático, pequena, mal com a
tabuinha da popa, como para caber justo o remador. Mas teve de ser toda fabricada,
escolhida forte e arqueada em rijo, própria para dever durar na água por uns vinte ou
trinta anos. Nossa mãe jurou muito contra a idéia. Seria que, ele, que nessas artes não
vadiava, se ia propor agora para pescarias e caçadas? Nosso pai nada não dizia. Nossa casa,
no tempo, ainda era mais próxima do rio, obra de nem quarto de légua: o rio por aí se
estendendo grande, fundo, calado que sempre. Largo, de não se poder ver a forma da outra
beira. E esquecer não posso, do dia em que a canoa ficou pronta.
Sem alegria nem cuidado, nosso pai encalcou o chapéu e decidiu um adeus para a gente.
Nem falou outras palavras, não pegou matula e trouxa, não fez a alguma recomendação.
Nossa mãe, a gente achou que ela ia esbravejar, mas persistiu somente alva de pálida,
mascou o beiço e bramou: — "Cê vai, ocê fique, você nunca volte!". Nosso pai suspendeu a
resposta. Espiou manso para mim, me acenando de vir também, por uns passos. Temi a ira
de nossa mãe, mas obedeci, de vez de jeito. O rumo daquilo me animava, chega que um
propósito perguntei: — "Pai, o senhor me leva junto, nessa sua canoa?". Ele só retornou o
olhar em mim, e me botou a bênção, com gesto me mandando para trás. Fiz que vim, mas
ainda virei, na grota do mato, para saber. Nosso pai entrou na canoa e desamarrou, pelo remar. E a canoa saiu se indo — a sombra dela por igual, feito um jacaré, comprida longa.
Nosso pai não voltou. Ele não tinha ido a nenhuma parte. Só executava a invenção de se
permanecer naqueles espaços do rio, de meio a meio, sempre dentro da canoa, para dela não
saltar, nunca mais. A estranheza dessa verdade deu para estarrecer de todo a gente. Aquilo
que não havia, acontecia. Os parentes, vizinhos e conhecidos nossos, se reuniram, tomaram
juntamente conselho.
Nossa mãe, vergonhosa, se portou com muita cordura; por isso, todos pensaram de nosso
pai a razão em que não queriam falar: doideira. Só uns achavam o entanto de poder
também ser pagamento de promessa; ou que, nosso pai, quem sabe, por escrúpulo de estar
com alguma feia doença, que seja, a lepra, se desertava para outra sina de existir, perto e
longe de sua família dele. As vozes das notícias se dando pelas certas pessoas — passadores,
moradores das beiras, até do afastado da outra banda — descrevendo que nosso pai nunca
se surgia a tomar terra, em ponto nem canto, de dia nem de noite, da forma como cursava
no rio, solto solitariamente. Então, pois, nossa mãe e os aparentados nossos, assentaram:
que o mantimento que tivesse, ocultado na canoa, se gastava; e, ele, ou desembarcava e
viajava s'embora, para jamais, o que ao menos se condizia mais correto, ou se arrependia,
por uma vez, para casa.
No que num engano. Eu mesmo cumpria de trazer para ele, cada dia, um tanto de comida
furtada: a ideia que senti, logo na primeira noite, quando o pessoal nosso experimentou de
acender fogueiras em beirada do rio, enquanto que, no alumiado delas, se rezava e se
chamava. Depois, no seguinte, apareci, com rapadura, broa de pão, cacho de bananas.
Enxerguei nosso pai, no enfim de uma hora, tão custosa para sobrevir: só assim, ele no aolonge, sentado no fundo da canoa, suspendida no liso do rio. Me viu, não remou para cá,
não fez sinal. Mostrei o de comer, depositei num oco de pedra do barranco, a salvo de bicho
mexer e a seco de chuva e orvalho. Isso, que fiz, e refiz, sempre, tempos a fora. Surpresa que
mais tarde tive: que nossa mãe sabia desse meu encargo, só se encobrindo de não saber; ela
mesma deixava, facilitado, sobra de coisas, para o meu conseguir. Nossa mãe muito não se
demonstrava.
Mandou vir o tio nosso, irmão dela, para auxiliar na fazenda e nos negócios. Mandou vir o
mestre, para nós, os meninos. Incumbiu ao padre que um dia se revestisse, em praia de
margem, para esconjurar e clamar a nosso pai o dever de desistir da tristonha teima. De
outra, por arranjo dela, para medo, vieram os dois soldados. Tudo o que não valeu de nada.
Nosso pai passava ao largo, avistado ou diluso, cruzando na canoa, sem deixar ninguém se
chegar à pega ou à fala. Mesmo quando foi, não faz muito, dos homens do jornal, que
trouxeram a lancha e tencionavam tirar retrato dele, não venceram: nosso pai se
desaparecia para a outra banda, aproava a canoa no brejão, de léguas, que há, por entre
juncos e mato, e só ele conhecesse, a palmos, a escuridão, daquele.
A gente teve de se acostumar com aquilo. Às penas, que, com aquilo, a gente mesmo nunca
se acostumou, em si, na verdade. Tiro por mim, que, no que queria, e no que não queria, só
com nosso pai me achava: assunto que jogava para trás meus pensamentos. O severo que era, de não se entender, de maneira nenhuma, como ele aguentava. De dia e de noite, com
sol ou aguaceiros, calor, sereno, e nas friagens terríveis de meio-do-ano, sem arrumo, só com
o chapéu velho na cabeça, por todas as semanas, e meses, e os anos — sem fazer conta do seir do viver. Não pojava em nenhuma das duas beiras, nem nas ilhas e croas do rio, não pisou
mais em chão nem capim. Por certo, ao menos, que, para dormir seu tanto, ele fizesse
amarração da canoa, em alguma ponta-de-ilha, no esconso. Mas não armava um foguinho
em praia, nem dispunha de sua luz feita, nunca mais riscou um fósforo. O que consumia de
comer, era só um quase; mesmo do que a gente depositava, no entre as raízes da gameleira,
ou na lapinha de pedra do barranco, ele recolhia pouco, nem o bastável. Não adoecia? E a
constante força dos braços, para ter tento na canoa, resistido, mesmo na demasia das
enchentes, no subimento, aí quando no lanço da correnteza enorme do rio tudo rola o
perigoso, aqueles corpos de bichos mortos e paus-de-árvore descendo — de espanto de
esbarro. E nunca falou mais palavra, com pessoa alguma. Nós, também, não falávamos mais
nele. Só se pensava. Não, de nosso pai não se podia ter esquecimento; e, se, por um pouco, a
gente fazia que esquecia, era só para se despertar de novo, de repente, com a memória, no
passo de outros sobressaltos.
Minha irmã se casou; nossa mãe não quis festa. A gente imaginava nele, quando se comia
uma comida mais gostosa; assim como, no gasalhado da noite, no desamparo dessas noites
de muita chuva, fria, forte, nosso pai só com a mão e uma cabaça para ir esvaziando a canoa
da água do temporal. Às vezes, algum conhecido nosso achava que eu ia ficando mais
parecido com nosso pai. Mas eu sabia que ele agora virara cabeludo, barbudo, de unhas
grandes, mal e magro, ficado preto de sol e dos pêlos, com o aspecto de bicho, conforme
quase nu, mesmo dispondo das peças de roupas que a gente de tempos em tempos fornecia.
Nem queria saber de nós; não tinha afeto? Mas, por afeto mesmo, de respeito, sempre que
às vezes me louvavam, por causa de algum meu bom procedimento, eu falava: — "Foi pai
que um dia me ensinou a fazer assim..."; o que não era o certo, exato; mas, que era mentira
por verdade. Sendo que, se ele não se lembrava mais, nem queria saber da gente, por que,
então, não subia ou descia o rio, para outras paragens, longe, no não-encontrável? Só ele
soubesse. Mas minha irmã teve menino, ela mesma entestou que queria mostrar para ele o
neto. Viemos, todos, no barranco, foi num dia bonito, minha irmã de vestido branco, que
tinha sido o do casamento, ela erguia nos braços a criancinha, o marido dela segurou, para
defender os dois, o guarda-sol. A gente chamou, esperou. Nosso pai não apareceu. Minha
irmã chorou, nós todos aí choramos, abraçados.
Minha irmã se mudou, com o marido, para longe daqui. Meu irmão resolveu e se foi, para
uma cidade. Os tempos mudavam, no devagar depressa dos tempos. Nossa mãe terminou
indo também, de uma vez, residir com minha irmã, ela estava envelhecida. Eu fiquei aqui,
de resto. Eu nunca podia querer me casar. Eu permaneci, com as bagagens da vida. Nosso
pai carecia de mim, eu sei — na vagação, no rio no ermo — sem dar razão de seu feito. Seja
que, quando eu quis mesmo saber, e firme indaguei, me diz-que-disseram: que constava que
nosso pai, alguma vez, tivesse revelado a explicação, ao homem que para ele aprontara a
canoa. Mas, agora, esse homem já tinha morrido, ninguém soubesse, fizesse recordação, de nada mais. Só as falsas conversas, sem senso, como por ocasião, no começo, na vinda das
primeiras cheias do rio, com chuvas que não estiavam, todos temeram o fim-do-mundo,
diziam: que nosso pai fosse o avisado que nem Noé, que, por tanto, a canoa ele tinha
antecipado; pois agora me entrelembro. Meu pai, eu não podia malsinar. E apontavam já
em mim uns primeiros cabelos brancos.
Sou homem de tristes palavras. De que era que eu tinha tanta, tanta culpa? Se o meu pai,
sempre fazendo ausência: e o rio-rio-rio, o rio — pondo perpétuo. Eu sofria já o começo de
velhice — esta vida era só o demoramento. Eu mesmo tinha achaques, ânsias, cá de baixo,
cansaços, perrenguice de reumatismo. E ele? Por quê? Devia de padecer demais. De tão
idoso, não ia, mais dia menos dia, fraquejar do vigor, deixar que a canoa emborcasse, ou
que bubuiasse sem pulso, na levada do rio, para se despenhar horas abaixo, em tororoma e
no tombo da cachoeira, brava, com o fervimento e morte. Apertava o coração. Ele estava lá,
sem a minha tranquilidade. Sou o culpado do que nem sei, de dor em aberto, no meu foro.
Soubesse — se as coisas fossem outras. E fui tomando ideia.
Sem fazer véspera. Sou doido? Não. Na nossa casa, a palavra doido não se falava, nunca
mais se falou, os anos todos, não se condenava ninguém de doido. Ninguém é doido. Ou,
então, todos. Só fiz, que fui lá. Com um lenço, para o aceno ser mais. Eu estava muito no
meu sentido. Esperei. Ao por fim, ele apareceu, aí e lá, o vulto. Estava ali, sentado à popa.
Estava ali, de grito. Chamei, umas quantas vezes. E falei, o que me urgia, jurado e
declarado, tive que reforçar a voz: — "Pai, o senhor está velho, já fez o seu tanto... Agora, o
senhor vem, não carece mais... O senhor vem, e eu, agora mesmo, quando que seja, a ambas
vontades, eu tomo o seu lugar, do senhor, na canoa!..." E, assim dizendo, meu coração bateu
no compasso do mais certo.
Ele me escutou. Ficou em pé. Manejou remo n'água, proava para cá, concordado. E eu
tremi, profundo, de repente: porque, antes, ele tinha levantado o braço e feito um saudar de
gesto — o primeiro, depois de tamanhos anos decorridos! E eu não podia... Por pavor,
arrepiados os cabelos, corri, fugi, me tirei de lá, num procedimento desatinado. Porquanto
que ele me pareceu vir: da parte de além. E estou pedindo, pedindo, pedindo um perdão.
Sofri o grave frio dos medos, adoeci. Sei que ninguém soube mais dele. Sou homem, depois
desse falimento? Sou o que não foi, o que vai ficar calado. Sei que agora é tarde, e temo
abreviar com a vida, nos rasos do mundo. Mas, então, ao menos, que, no artigo da morte,
peguem em mim, e me depositem também numa canoinha de nada, nessa água que não
pára, de longas beiras: e, eu, rio abaixo, rio a fora, rio a dentro — o rio.
Provas
Questão presente nas seguintes provas
O texto seguinte servirá de base para responder à questão.
A terceira margem do rio
João Guimarães Rosa
Nosso pai era homem cumpridor, ordeiro, positivo; e sido assim desde mocinho e menino,
pelo que testemunharam as diversas sensatas pessoas, quando indaguei a informação. Do
que eu mesmo me alembro, ele não figurava mais estúrdio nem mais triste do que os outros,
conhecidos nossos. Só quieto. Nossa mãe era quem regia, e que ralhava no diário com a
gente — minha irmã, meu irmão e eu. Mas se deu que, certo dia, nosso pai mandou fazer
para si uma canoa.
Era a sério. Encomendou a canoa especial, de pau de vinhático, pequena, mal com a
tabuinha da popa, como para caber justo o remador. Mas teve de ser toda fabricada,
escolhida forte e arqueada em rijo, própria para dever durar na água por uns vinte ou
trinta anos. Nossa mãe jurou muito contra a idéia. Seria que, ele, que nessas artes não
vadiava, se ia propor agora para pescarias e caçadas? Nosso pai nada não dizia. Nossa casa,
no tempo, ainda era mais próxima do rio, obra de nem quarto de légua: o rio por aí se
estendendo grande, fundo, calado que sempre. Largo, de não se poder ver a forma da outra
beira. E esquecer não posso, do dia em que a canoa ficou pronta.
Sem alegria nem cuidado, nosso pai encalcou o chapéu e decidiu um adeus para a gente.
Nem falou outras palavras, não pegou matula e trouxa, não fez a alguma recomendação.
Nossa mãe, a gente achou que ela ia esbravejar, mas persistiu somente alva de pálida,
mascou o beiço e bramou: — "Cê vai, ocê fique, você nunca volte!". Nosso pai suspendeu a
resposta. Espiou manso para mim, me acenando de vir também, por uns passos. Temi a ira
de nossa mãe, mas obedeci, de vez de jeito. O rumo daquilo me animava, chega que um
propósito perguntei: — "Pai, o senhor me leva junto, nessa sua canoa?". Ele só retornou o
olhar em mim, e me botou a bênção, com gesto me mandando para trás. Fiz que vim, mas
ainda virei, na grota do mato, para saber. Nosso pai entrou na canoa e desamarrou, pelo remar. E a canoa saiu se indo — a sombra dela por igual, feito um jacaré, comprida longa.
Nosso pai não voltou. Ele não tinha ido a nenhuma parte. Só executava a invenção de se
permanecer naqueles espaços do rio, de meio a meio, sempre dentro da canoa, para dela não
saltar, nunca mais. A estranheza dessa verdade deu para estarrecer de todo a gente. Aquilo
que não havia, acontecia. Os parentes, vizinhos e conhecidos nossos, se reuniram, tomaram
juntamente conselho.
Nossa mãe, vergonhosa, se portou com muita cordura; por isso, todos pensaram de nosso
pai a razão em que não queriam falar: doideira. Só uns achavam o entanto de poder
também ser pagamento de promessa; ou que, nosso pai, quem sabe, por escrúpulo de estar
com alguma feia doença, que seja, a lepra, se desertava para outra sina de existir, perto e
longe de sua família dele. As vozes das notícias se dando pelas certas pessoas — passadores,
moradores das beiras, até do afastado da outra banda — descrevendo que nosso pai nunca
se surgia a tomar terra, em ponto nem canto, de dia nem de noite, da forma como cursava
no rio, solto solitariamente. Então, pois, nossa mãe e os aparentados nossos, assentaram:
que o mantimento que tivesse, ocultado na canoa, se gastava; e, ele, ou desembarcava e
viajava s'embora, para jamais, o que ao menos se condizia mais correto, ou se arrependia,
por uma vez, para casa.
No que num engano. Eu mesmo cumpria de trazer para ele, cada dia, um tanto de comida
furtada: a ideia que senti, logo na primeira noite, quando o pessoal nosso experimentou de
acender fogueiras em beirada do rio, enquanto que, no alumiado delas, se rezava e se
chamava. Depois, no seguinte, apareci, com rapadura, broa de pão, cacho de bananas.
Enxerguei nosso pai, no enfim de uma hora, tão custosa para sobrevir: só assim, ele no aolonge, sentado no fundo da canoa, suspendida no liso do rio. Me viu, não remou para cá,
não fez sinal. Mostrei o de comer, depositei num oco de pedra do barranco, a salvo de bicho
mexer e a seco de chuva e orvalho. Isso, que fiz, e refiz, sempre, tempos a fora. Surpresa que
mais tarde tive: que nossa mãe sabia desse meu encargo, só se encobrindo de não saber; ela
mesma deixava, facilitado, sobra de coisas, para o meu conseguir. Nossa mãe muito não se
demonstrava.
Mandou vir o tio nosso, irmão dela, para auxiliar na fazenda e nos negócios. Mandou vir o
mestre, para nós, os meninos. Incumbiu ao padre que um dia se revestisse, em praia de
margem, para esconjurar e clamar a nosso pai o dever de desistir da tristonha teima. De
outra, por arranjo dela, para medo, vieram os dois soldados. Tudo o que não valeu de nada.
Nosso pai passava ao largo, avistado ou diluso, cruzando na canoa, sem deixar ninguém se
chegar à pega ou à fala. Mesmo quando foi, não faz muito, dos homens do jornal, que
trouxeram a lancha e tencionavam tirar retrato dele, não venceram: nosso pai se
desaparecia para a outra banda, aproava a canoa no brejão, de léguas, que há, por entre
juncos e mato, e só ele conhecesse, a palmos, a escuridão, daquele.
A gente teve de se acostumar com aquilo. Às penas, que, com aquilo, a gente mesmo nunca
se acostumou, em si, na verdade. Tiro por mim, que, no que queria, e no que não queria, só
com nosso pai me achava: assunto que jogava para trás meus pensamentos. O severo que era, de não se entender, de maneira nenhuma, como ele aguentava. De dia e de noite, com
sol ou aguaceiros, calor, sereno, e nas friagens terríveis de meio-do-ano, sem arrumo, só com
o chapéu velho na cabeça, por todas as semanas, e meses, e os anos — sem fazer conta do seir do viver. Não pojava em nenhuma das duas beiras, nem nas ilhas e croas do rio, não pisou
mais em chão nem capim. Por certo, ao menos, que, para dormir seu tanto, ele fizesse
amarração da canoa, em alguma ponta-de-ilha, no esconso. Mas não armava um foguinho
em praia, nem dispunha de sua luz feita, nunca mais riscou um fósforo. O que consumia de
comer, era só um quase; mesmo do que a gente depositava, no entre as raízes da gameleira,
ou na lapinha de pedra do barranco, ele recolhia pouco, nem o bastável. Não adoecia? E a
constante força dos braços, para ter tento na canoa, resistido, mesmo na demasia das
enchentes, no subimento, aí quando no lanço da correnteza enorme do rio tudo rola o
perigoso, aqueles corpos de bichos mortos e paus-de-árvore descendo — de espanto de
esbarro. E nunca falou mais palavra, com pessoa alguma. Nós, também, não falávamos mais
nele. Só se pensava. Não, de nosso pai não se podia ter esquecimento; e, se, por um pouco, a
gente fazia que esquecia, era só para se despertar de novo, de repente, com a memória, no
passo de outros sobressaltos.
Minha irmã se casou; nossa mãe não quis festa. A gente imaginava nele, quando se comia
uma comida mais gostosa; assim como, no gasalhado da noite, no desamparo dessas noites
de muita chuva, fria, forte, nosso pai só com a mão e uma cabaça para ir esvaziando a canoa
da água do temporal. Às vezes, algum conhecido nosso achava que eu ia ficando mais
parecido com nosso pai. Mas eu sabia que ele agora virara cabeludo, barbudo, de unhas
grandes, mal e magro, ficado preto de sol e dos pêlos, com o aspecto de bicho, conforme
quase nu, mesmo dispondo das peças de roupas que a gente de tempos em tempos fornecia.
Nem queria saber de nós; não tinha afeto? Mas, por afeto mesmo, de respeito, sempre que
às vezes me louvavam, por causa de algum meu bom procedimento, eu falava: — "Foi pai
que um dia me ensinou a fazer assim..."; o que não era o certo, exato; mas, que era mentira
por verdade. Sendo que, se ele não se lembrava mais, nem queria saber da gente, por que,
então, não subia ou descia o rio, para outras paragens, longe, no não-encontrável? Só ele
soubesse. Mas minha irmã teve menino, ela mesma entestou que queria mostrar para ele o
neto. Viemos, todos, no barranco, foi num dia bonito, minha irmã de vestido branco, que
tinha sido o do casamento, ela erguia nos braços a criancinha, o marido dela segurou, para
defender os dois, o guarda-sol. A gente chamou, esperou. Nosso pai não apareceu. Minha
irmã chorou, nós todos aí choramos, abraçados.
Minha irmã se mudou, com o marido, para longe daqui. Meu irmão resolveu e se foi, para
uma cidade. Os tempos mudavam, no devagar depressa dos tempos. Nossa mãe terminou
indo também, de uma vez, residir com minha irmã, ela estava envelhecida. Eu fiquei aqui,
de resto. Eu nunca podia querer me casar. Eu permaneci, com as bagagens da vida. Nosso
pai carecia de mim, eu sei — na vagação, no rio no ermo — sem dar razão de seu feito. Seja
que, quando eu quis mesmo saber, e firme indaguei, me diz-que-disseram: que constava que
nosso pai, alguma vez, tivesse revelado a explicação, ao homem que para ele aprontara a
canoa. Mas, agora, esse homem já tinha morrido, ninguém soubesse, fizesse recordação, de nada mais. Só as falsas conversas, sem senso, como por ocasião, no começo, na vinda das
primeiras cheias do rio, com chuvas que não estiavam, todos temeram o fim-do-mundo,
diziam: que nosso pai fosse o avisado que nem Noé, que, por tanto, a canoa ele tinha
antecipado; pois agora me entrelembro. Meu pai, eu não podia malsinar. E apontavam já
em mim uns primeiros cabelos brancos.
Sou homem de tristes palavras. De que era que eu tinha tanta, tanta culpa? Se o meu pai,
sempre fazendo ausência: e o rio-rio-rio, o rio — pondo perpétuo. Eu sofria já o começo de
velhice — esta vida era só o demoramento. Eu mesmo tinha achaques, ânsias, cá de baixo,
cansaços, perrenguice de reumatismo. E ele? Por quê? Devia de padecer demais. De tão
idoso, não ia, mais dia menos dia, fraquejar do vigor, deixar que a canoa emborcasse, ou
que bubuiasse sem pulso, na levada do rio, para se despenhar horas abaixo, em tororoma e
no tombo da cachoeira, brava, com o fervimento e morte. Apertava o coração. Ele estava lá,
sem a minha tranquilidade. Sou o culpado do que nem sei, de dor em aberto, no meu foro.
Soubesse — se as coisas fossem outras. E fui tomando ideia.
Sem fazer véspera. Sou doido? Não. Na nossa casa, a palavra doido não se falava, nunca
mais se falou, os anos todos, não se condenava ninguém de doido. Ninguém é doido. Ou,
então, todos. Só fiz, que fui lá. Com um lenço, para o aceno ser mais. Eu estava muito no
meu sentido. Esperei. Ao por fim, ele apareceu, aí e lá, o vulto. Estava ali, sentado à popa.
Estava ali, de grito. Chamei, umas quantas vezes. E falei, o que me urgia, jurado e
declarado, tive que reforçar a voz: — "Pai, o senhor está velho, já fez o seu tanto... Agora, o
senhor vem, não carece mais... O senhor vem, e eu, agora mesmo, quando que seja, a ambas
vontades, eu tomo o seu lugar, do senhor, na canoa!..." E, assim dizendo, meu coração bateu
no compasso do mais certo.
Ele me escutou. Ficou em pé. Manejou remo n'água, proava para cá, concordado. E eu
tremi, profundo, de repente: porque, antes, ele tinha levantado o braço e feito um saudar de
gesto — o primeiro, depois de tamanhos anos decorridos! E eu não podia... Por pavor,
arrepiados os cabelos, corri, fugi, me tirei de lá, num procedimento desatinado. Porquanto
que ele me pareceu vir: da parte de além. E estou pedindo, pedindo, pedindo um perdão.
Sofri o grave frio dos medos, adoeci. Sei que ninguém soube mais dele. Sou homem, depois
desse falimento? Sou o que não foi, o que vai ficar calado. Sei que agora é tarde, e temo
abreviar com a vida, nos rasos do mundo. Mas, então, ao menos, que, no artigo da morte,
peguem em mim, e me depositem também numa canoinha de nada, nessa água que não
pára, de longas beiras: e, eu, rio abaixo, rio a fora, rio a dentro — o rio.
Provas
Questão presente nas seguintes provas
Cadernos
Caderno Container