Foram encontradas 616 questões.
De acordo com informações apresentadas no site do Instituto Brasileiro de Geografia e Estatística (IBGE), conclui-se que, em 2021, a razão entre o número de estabelecimentos de ensino fundamental e o número de estabelecimentos de ensino médio, no município de Araçatuba, era representada pela fração !$ \dfrac{9}{4} !$. Sabendo-se que o número de estabelecimentos de ensino fundamental excedia em 45 o número de estabelecimentos de ensino médio, o número de estabelecimentos de ensino fundamental era igual a
Provas
- Estatística DescritivaMedidas de Tendência CentralMédiasMédia AritméticaMédia Simples (Não Agrupados)
A tabela apresenta a distribuição do número de pessoas de um grupo pelas suas idades.
DISTRIBUIÇÃO DO NÚMERO DE PESSOAS, PELAS SUAS IDADES | |
Idade | Número de pessoas |
25 anos | 10 |
28 anos | 5 |
30 anos | 5 |
A média aritmética simples das idades dessas pessoas é igual a
Provas
Em uma escola, adicionados os números de turmas do ensino fundamental I e do ensino fundamental II, tem-se 26 turmas, e, subtraído o número de turmas do ensino fundamental II do número de turmas do ensino fundamental I, têm-se 4 turmas. Se cada turma do ensino fundamental I tem, no máximo, 25 alunos, então o número máximo de alunos matriculados nessa etapa de ensino é igual a
Provas
Leia a tira.

(Mort Walker, “Recruta Zero”.
https://cultura.estadao.com.br/quadrinhos, 06.11.2022. Adaptado)
Em conformidade com a norma-padrão, as lacunas da tira devem ser preenchidas, respectivamente, com:
Provas
Leia o texto para responder às questões de números 02 a 09.
A comadre Beth Carvalho
O jogador de futebol Alcir Portella deixou a quadra do Cacique de Ramos, achou um orelhão, que por sorte estava funcionando e ligou para Beth Carvalho: “Tudo bem, comadre? Queria que você desse um pulo aqui na rua Uranos para conhecer um negócio. Ninguém vai pedir para você cantar nada. Tem uma comida de que você vai gostar. Vamos jogar um buraco...”.
Alcir queria que Beth conferisse uma reunião informal, sempre às quartas-feiras, uma pelada entre amigos, uma galinhada com cerveja e depois uma roda de samba intimista, com o pessoal tocando banjo, tantã e repique de mão, cantando e improvisando versos debaixo de uma enorme tamarineira.
Ali nasceu, em meados dos anos 1970, o que mais tarde o mercado fonográfico batizaria de “pagode carioca”, tendo à frente o grupo Fundo de Quintal e os compositores e cantores Zeca Pagodinho, Arlindo Cruz, Jorge Aragão, Almir Guineto, Luiz Carlos da Vila, Jovelina Pérola Negra. Mas era muito mais do que isso, verdadeira revolução no gênero.
O historiador e sambista Nei Lopes afirma: “O movimento que surgiu no Cacique de Ramos tem o mesmo peso da revolução da bossa nova. E vai além, porque inovou reverenciando a tradição, trazendo para os holofotes a arte e a inteligência do partido alto”.
Beth não saiu mais do Cacique, a ponto de Bira, o presidente do clube e do bloco de embalo, sugerir a construção na quadra de um banheiro feminino, que se chamaria Beth Carvalho. A cantora, educadamente, recusou a homenagem. Mas levou aquela vitalidade sonora para seu disco de 1978, “De Pé no Chão”, cuja história acaba de ser contada em um livro recém-lançado do jornalista Leonardo Bruno.
(Alvaro Costa e Silva, A comadre Beth Carvalho.
https://www.folha.uol.com.br, 09.12.2022. Adaptado)
O sinal indicativo da crase está empregado em conformidade com a norma-padrão em:
Provas
Ao elaborar um programa de manutenção, em áreas molhadas internas e externas, piscinas, reservatórios, coberturas, jardins, espelhos d’água, sugere-se que a impermeabilização seja verificada a cada
Provas
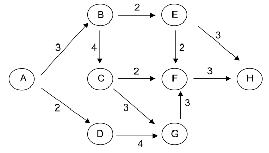
No planejamento e programação de um serviço de engenharia, elaborou-se o diagrama da figura. Os eventos estão representados nos círculos por letras e a duração das atividades, em semanas, junto das setas entre os eventos.

O tempo mínimo para execução deste serviço de engenharia é de
Provas
Nas instalações elétricas de baixa tensão, a seção mínima dos condutores de cobre de aterramento enterrados no solo, protegidos contra corrosão e contra danos mecânicos é
Provas
No sistema construtivo estruturado em perfis leves de aço conhecido como steel framing, a chapa constituída por tiras de madeira, unidas com resinas resistentes à água, orientadas em camadas perpendiculares entre si e prensadas sob alta pressão e temperatura é denominada
Provas
Com relação às pressões mínimas e máximas na rede predial de distribuição de água potável, é correto afirmar que
Provas
Caderno Container