Foram encontradas 60 questões.
Cleaning up a spill
Written by Laura Hill
Water and oil don’t mix. We see this every day; just try washing olive oil off your hands without soap or washing your face in the morning with only water. It just doesn’t work!
When an oil spill occurs in the ocean, like the catastrophe in the Gulf of Mexico, what do scientists do to clean up the toxic mess? There are a number of options for an oil spill cleanup and most efforts use a combination of many techniques. The fact that oil and water don’t mix is a blessing and a curse. If oil mixed with water, it would be difficult to divide the two.
Crude oil is less dense than water; it spreads out to make a very thin layer (about one millimetre thick) that floats on top of the water. This is good because we can tell what is water and what is oil. It is also bad, because it means the oil can spread really quickly and cover a very large area, which becomes difficult to manage. Combined with wind, ocean currents and waves, oil spill cleanup starts to get really tricky.
Chemical dispersants can be used to break up big oil slicks into small oil droplets. They work like soaps by emulsifying the hydrophobic (waterrepelling) oil in the water. These small droplets can degrade in the ecosystem quicker than the big oil slick. But unfortunately, this means that marine life of all sizes ingest these toxic, broken-down particles and chemicals.
If the oil is thick enough, it could be set fire, a process called “in situ burning”. Because the oil is highly flammable and floats on top of the water, it is very easy to set it alight. It’s not environmentallyfriendly though; the combustion of oil releases thick smoke that contains greenhouse gases and other dangerous air pollutants.
Some techniques can contain and recapture spilled oil without changing its chemical composition. Booms float on top of the water and act as barriers to the movement of oil. Once the oil is controlled, it can be gathered using sorbents. “Sorbent” is a fancy word for sponge. These sponges absorb the oil and allow it to be collected by siphoning it off the water.
However, weather and sea conditions can prevent and obstruct the use of booms, sorbents and in situ burning. Imagine trying to perform these operations on the open sea with wind, waves and water currents moving the oil (and your boat!) around on the water.
What about the plants and animals? It’s easy to forget about the organisms in the sea that are under water. Out of sight, out of mind! There is not much we can do to help them. But when oil reaches the shore it impacts sensitive coastal environments including the many fish, bird, amphibian, reptilian, and crustaceanspecies that live there. We have easy access to these areas and there are some things we can do to clean up. For the plants, it is often a matter of setting them on fire, or leaving them to degrade the oil naturally. Sometimes, we can spray the oil with nutrients (phosphorus and nitrogen) that can encourage the growth of specialized microorganisms. For species that can tolerate our soaps, manpower is needed to wash every affected animal. Yet, if the animal has tried to lick itself clean, it can die from ingesting the toxic oil.
Unfortunately, there can be many negative economic and social impacts, in addition to the environmental impacts of oil spills and, as you’ve just read, the clean up techniques are far from perfect. Prevention is the very best cleanup technique we have. http://www.curiocity.ca/everyday-science/environme... -cleaning-up-a-spill.html, retrieved on Dec 10, 2010
In terms of meaning it is correct to say thatWritten by Laura Hill
Water and oil don’t mix. We see this every day; just try washing olive oil off your hands without soap or washing your face in the morning with only water. It just doesn’t work!
When an oil spill occurs in the ocean, like the catastrophe in the Gulf of Mexico, what do scientists do to clean up the toxic mess? There are a number of options for an oil spill cleanup and most efforts use a combination of many techniques. The fact that oil and water don’t mix is a blessing and a curse. If oil mixed with water, it would be difficult to divide the two.
Crude oil is less dense than water; it spreads out to make a very thin layer (about one millimetre thick) that floats on top of the water. This is good because we can tell what is water and what is oil. It is also bad, because it means the oil can spread really quickly and cover a very large area, which becomes difficult to manage. Combined with wind, ocean currents and waves, oil spill cleanup starts to get really tricky.
Chemical dispersants can be used to break up big oil slicks into small oil droplets. They work like soaps by emulsifying the hydrophobic (waterrepelling) oil in the water. These small droplets can degrade in the ecosystem quicker than the big oil slick. But unfortunately, this means that marine life of all sizes ingest these toxic, broken-down particles and chemicals.
If the oil is thick enough, it could be set fire, a process called “in situ burning”. Because the oil is highly flammable and floats on top of the water, it is very easy to set it alight. It’s not environmentallyfriendly though; the combustion of oil releases thick smoke that contains greenhouse gases and other dangerous air pollutants.
Some techniques can contain and recapture spilled oil without changing its chemical composition. Booms float on top of the water and act as barriers to the movement of oil. Once the oil is controlled, it can be gathered using sorbents. “Sorbent” is a fancy word for sponge. These sponges absorb the oil and allow it to be collected by siphoning it off the water.
However, weather and sea conditions can prevent and obstruct the use of booms, sorbents and in situ burning. Imagine trying to perform these operations on the open sea with wind, waves and water currents moving the oil (and your boat!) around on the water.
What about the plants and animals? It’s easy to forget about the organisms in the sea that are under water. Out of sight, out of mind! There is not much we can do to help them. But when oil reaches the shore it impacts sensitive coastal environments including the many fish, bird, amphibian, reptilian, and crustaceanspecies that live there. We have easy access to these areas and there are some things we can do to clean up. For the plants, it is often a matter of setting them on fire, or leaving them to degrade the oil naturally. Sometimes, we can spray the oil with nutrients (phosphorus and nitrogen) that can encourage the growth of specialized microorganisms. For species that can tolerate our soaps, manpower is needed to wash every affected animal. Yet, if the animal has tried to lick itself clean, it can die from ingesting the toxic oil.
Unfortunately, there can be many negative economic and social impacts, in addition to the environmental impacts of oil spills and, as you’ve just read, the clean up techniques are far from perfect. Prevention is the very best cleanup technique we have. http://www.curiocity.ca/everyday-science/environme... -cleaning-up-a-spill.html, retrieved on Dec 10, 2010
Provas
Questão presente nas seguintes provas
Cleaning up a spill
Written by Laura Hill
Water and oil don’t mix. We see this every day; just try washing olive oil off your hands without soap or washing your face in the morning with only water. It just doesn’t work!
When an oil spill occurs in the ocean, like the catastrophe in the Gulf of Mexico, what do scientists do to clean up the toxic mess? There are a number of options for an oil spill cleanup and most efforts use a combination of many techniques. The fact that oil and water don’t mix is a blessing and a curse. If oil mixed with water, it would be difficult to divide the two.
Crude oil is less dense than water; it spreads out to make a very thin layer (about one millimetre thick) that floats on top of the water. This is good because we can tell what is water and what is oil. It is also bad, because it means the oil can spread really quickly and cover a very large area, which becomes difficult to manage. Combined with wind, ocean currents and waves, oil spill cleanup starts to get really tricky.
Chemical dispersants can be used to break up big oil slicks into small oil droplets. They work like soaps by emulsifying the hydrophobic (waterrepelling) oil in the water. These small droplets can degrade in the ecosystem quicker than the big oil slick. But unfortunately, this means that marine life of all sizes ingest these toxic, broken-down particles and chemicals.
If the oil is thick enough, it could be set fire, a process called “in situ burning”. Because the oil is highly flammable and floats on top of the water, it is very easy to set it alight. It’s not environmentallyfriendly though; the combustion of oil releases thick smoke that contains greenhouse gases and other dangerous air pollutants.
Some techniques can contain and recapture spilled oil without changing its chemical composition. Booms float on top of the water and act as barriers to the movement of oil. Once the oil is controlled, it can be gathered using sorbents. “Sorbent” is a fancy word for sponge. These sponges absorb the oil and allow it to be collected by siphoning it off the water.
However, weather and sea conditions can prevent and obstruct the use of booms, sorbents and in situ burning. Imagine trying to perform these operations on the open sea with wind, waves and water currents moving the oil (and your boat!) around on the water.
What about the plants and animals? It’s easy to forget about the organisms in the sea that are under water. Out of sight, out of mind! There is not much we can do to help them. But when oil reaches the shore it impacts sensitive coastal environments including the many fish, bird, amphibian, reptilian, and crustaceanspecies that live there. We have easy access to these areas and there are some things we can do to clean up. For the plants, it is often a matter of setting them on fire, or leaving them to degrade the oil naturally. Sometimes, we can spray the oil with nutrients (phosphorus and nitrogen) that can encourage the growth of specialized microorganisms. For species that can tolerate our soaps, manpower is needed to wash every affected animal. Yet, if the animal has tried to lick itself clean, it can die from ingesting the toxic oil.
Unfortunately, there can be many negative economic and social impacts, in addition to the environmental impacts of oil spills and, as you’ve just read, the clean up techniques are far from perfect. Prevention is the very best cleanup technique we have. http://www.curiocity.ca/everyday-science/environme... -cleaning-up-a-spill.html, retrieved on Dec 10, 2010
In “They work like soaps by emulsifying the hydrophobic (water-repelling) oil in the water." (lines 21-23), they refers toWritten by Laura Hill
Water and oil don’t mix. We see this every day; just try washing olive oil off your hands without soap or washing your face in the morning with only water. It just doesn’t work!
When an oil spill occurs in the ocean, like the catastrophe in the Gulf of Mexico, what do scientists do to clean up the toxic mess? There are a number of options for an oil spill cleanup and most efforts use a combination of many techniques. The fact that oil and water don’t mix is a blessing and a curse. If oil mixed with water, it would be difficult to divide the two.
Crude oil is less dense than water; it spreads out to make a very thin layer (about one millimetre thick) that floats on top of the water. This is good because we can tell what is water and what is oil. It is also bad, because it means the oil can spread really quickly and cover a very large area, which becomes difficult to manage. Combined with wind, ocean currents and waves, oil spill cleanup starts to get really tricky.
Chemical dispersants can be used to break up big oil slicks into small oil droplets. They work like soaps by emulsifying the hydrophobic (waterrepelling) oil in the water. These small droplets can degrade in the ecosystem quicker than the big oil slick. But unfortunately, this means that marine life of all sizes ingest these toxic, broken-down particles and chemicals.
If the oil is thick enough, it could be set fire, a process called “in situ burning”. Because the oil is highly flammable and floats on top of the water, it is very easy to set it alight. It’s not environmentallyfriendly though; the combustion of oil releases thick smoke that contains greenhouse gases and other dangerous air pollutants.
Some techniques can contain and recapture spilled oil without changing its chemical composition. Booms float on top of the water and act as barriers to the movement of oil. Once the oil is controlled, it can be gathered using sorbents. “Sorbent” is a fancy word for sponge. These sponges absorb the oil and allow it to be collected by siphoning it off the water.
However, weather and sea conditions can prevent and obstruct the use of booms, sorbents and in situ burning. Imagine trying to perform these operations on the open sea with wind, waves and water currents moving the oil (and your boat!) around on the water.
What about the plants and animals? It’s easy to forget about the organisms in the sea that are under water. Out of sight, out of mind! There is not much we can do to help them. But when oil reaches the shore it impacts sensitive coastal environments including the many fish, bird, amphibian, reptilian, and crustaceanspecies that live there. We have easy access to these areas and there are some things we can do to clean up. For the plants, it is often a matter of setting them on fire, or leaving them to degrade the oil naturally. Sometimes, we can spray the oil with nutrients (phosphorus and nitrogen) that can encourage the growth of specialized microorganisms. For species that can tolerate our soaps, manpower is needed to wash every affected animal. Yet, if the animal has tried to lick itself clean, it can die from ingesting the toxic oil.
Unfortunately, there can be many negative economic and social impacts, in addition to the environmental impacts of oil spills and, as you’ve just read, the clean up techniques are far from perfect. Prevention is the very best cleanup technique we have. http://www.curiocity.ca/everyday-science/environme... -cleaning-up-a-spill.html, retrieved on Dec 10, 2010
Provas
Questão presente nas seguintes provas
- Aspectos linguísticos | Linguistic aspects
- Gramática - Língua InglesaPalavras conectivas | Connective words
Cleaning up a spill
Written by Laura Hill
Water and oil don’t mix. We see this every day; just try washing olive oil off your hands without soap or washing your face in the morning with only water. It just doesn’t work!
When an oil spill occurs in the ocean, like the catastrophe in the Gulf of Mexico, what do scientists do to clean up the toxic mess? There are a number of options for an oil spill cleanup and most efforts use a combination of many techniques. The fact that oil and water don’t mix is a blessing and a curse. If oil mixed with water, it would be difficult to divide the two.
Crude oil is less dense than water; it spreads out to make a very thin layer (about one millimetre thick) that floats on top of the water. This is good because we can tell what is water and what is oil. It is also bad, because it means the oil can spread really quickly and cover a very large area, which becomes difficult to manage. Combined with wind, ocean currents and waves, oil spill cleanup starts to get really tricky.
Chemical dispersants can be used to break up big oil slicks into small oil droplets. They work like soaps by emulsifying the hydrophobic (waterrepelling) oil in the water. These small droplets can degrade in the ecosystem quicker than the big oil slick. But unfortunately, this means that marine life of all sizes ingest these toxic, broken-down particles and chemicals.
If the oil is thick enough, it could be set fire, a process called “in situ burning”. Because the oil is highly flammable and floats on top of the water, it is very easy to set it alight. It’s not environmentallyfriendly though; the combustion of oil releases thick smoke that contains greenhouse gases and other dangerous air pollutants.
Some techniques can contain and recapture spilled oil without changing its chemical composition. Booms float on top of the water and act as barriers to the movement of oil. Once the oil is controlled, it can be gathered using sorbents. “Sorbent” is a fancy word for sponge. These sponges absorb the oil and allow it to be collected by siphoning it off the water.
However, weather and sea conditions can prevent and obstruct the use of booms, sorbents and in situ burning. Imagine trying to perform these operations on the open sea with wind, waves and water currents moving the oil (and your boat!) around on the water.
What about the plants and animals? It’s easy to forget about the organisms in the sea that are under water. Out of sight, out of mind! There is not much we can do to help them. But when oil reaches the shore it impacts sensitive coastal environments including the many fish, bird, amphibian, reptilian, and crustaceanspecies that live there. We have easy access to these areas and there are some things we can do to clean up. For the plants, it is often a matter of setting them on fire, or leaving them to degrade the oil naturally. Sometimes, we can spray the oil with nutrients (phosphorus and nitrogen) that can encourage the growth of specialized microorganisms. For species that can tolerate our soaps, manpower is needed to wash every affected animal. Yet, if the animal has tried to lick itself clean, it can die from ingesting the toxic oil.
Unfortunately, there can be many negative economic and social impacts, in addition to the environmental impacts of oil spills and, as you’ve just read, the clean up techniques are far from perfect. Prevention is the very best cleanup technique we have. http://www.curiocity.ca/everyday-science/environme... -cleaning-up-a-spill.html, retrieved on Dec 10, 2010
The only sentence where the boldfaced word DOES NOT express an idea of contrast isWritten by Laura Hill
Water and oil don’t mix. We see this every day; just try washing olive oil off your hands without soap or washing your face in the morning with only water. It just doesn’t work!
When an oil spill occurs in the ocean, like the catastrophe in the Gulf of Mexico, what do scientists do to clean up the toxic mess? There are a number of options for an oil spill cleanup and most efforts use a combination of many techniques. The fact that oil and water don’t mix is a blessing and a curse. If oil mixed with water, it would be difficult to divide the two.
Crude oil is less dense than water; it spreads out to make a very thin layer (about one millimetre thick) that floats on top of the water. This is good because we can tell what is water and what is oil. It is also bad, because it means the oil can spread really quickly and cover a very large area, which becomes difficult to manage. Combined with wind, ocean currents and waves, oil spill cleanup starts to get really tricky.
Chemical dispersants can be used to break up big oil slicks into small oil droplets. They work like soaps by emulsifying the hydrophobic (waterrepelling) oil in the water. These small droplets can degrade in the ecosystem quicker than the big oil slick. But unfortunately, this means that marine life of all sizes ingest these toxic, broken-down particles and chemicals.
If the oil is thick enough, it could be set fire, a process called “in situ burning”. Because the oil is highly flammable and floats on top of the water, it is very easy to set it alight. It’s not environmentallyfriendly though; the combustion of oil releases thick smoke that contains greenhouse gases and other dangerous air pollutants.
Some techniques can contain and recapture spilled oil without changing its chemical composition. Booms float on top of the water and act as barriers to the movement of oil. Once the oil is controlled, it can be gathered using sorbents. “Sorbent” is a fancy word for sponge. These sponges absorb the oil and allow it to be collected by siphoning it off the water.
However, weather and sea conditions can prevent and obstruct the use of booms, sorbents and in situ burning. Imagine trying to perform these operations on the open sea with wind, waves and water currents moving the oil (and your boat!) around on the water.
What about the plants and animals? It’s easy to forget about the organisms in the sea that are under water. Out of sight, out of mind! There is not much we can do to help them. But when oil reaches the shore it impacts sensitive coastal environments including the many fish, bird, amphibian, reptilian, and crustaceanspecies that live there. We have easy access to these areas and there are some things we can do to clean up. For the plants, it is often a matter of setting them on fire, or leaving them to degrade the oil naturally. Sometimes, we can spray the oil with nutrients (phosphorus and nitrogen) that can encourage the growth of specialized microorganisms. For species that can tolerate our soaps, manpower is needed to wash every affected animal. Yet, if the animal has tried to lick itself clean, it can die from ingesting the toxic oil.
Unfortunately, there can be many negative economic and social impacts, in addition to the environmental impacts of oil spills and, as you’ve just read, the clean up techniques are far from perfect. Prevention is the very best cleanup technique we have. http://www.curiocity.ca/everyday-science/environme... -cleaning-up-a-spill.html, retrieved on Dec 10, 2010
Provas
Questão presente nas seguintes provas
O diretor, o gerente e quatro funcionários de uma empresa sentam-se em volta de uma mesa circular com 6 lugares para uma reunião. Sabendo-se que o diretor e o gerente não sentam juntos (um ao lado do outro), o número de maneiras diferentes em que essas seis pessoas podem ficar dispostas em volta da mesa é
Provas
Questão presente nas seguintes provas
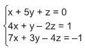
Considere o sistema a seguir.

Nesse sistema, o valor de x é

Nesse sistema, o valor de x é
Provas
Questão presente nas seguintes provas
Um retângulo tem dois vértices sobre o eixo X e dois vértices acima do eixo X sobre o gráfico da função y = 6 - x2 , conforme apresentado a seguir.

Dentre os valores abaixo, aquele que mais se aproxima da área máxima desse retângulo é

Dentre os valores abaixo, aquele que mais se aproxima da área máxima desse retângulo é
Provas
Questão presente nas seguintes provas
Considere a função f de variável real definida por f(x) = x3 - 4x2 + 2. O valor de
é
éProvas
Questão presente nas seguintes provas
Uma lanchonete dispõe de 8 tipos de frutas. Quando se pede uma “vitamina caótica", o computador seleciona, ao acaso, três dessas frutas que são misturadas em quantidades iguais no liquidificador.
Se laranja é uma das frutas disponíveis e se o pedido é de uma “vitamina caótica", a probabilidade de que a vitamina contenha laranja é
Se laranja é uma das frutas disponíveis e se o pedido é de uma “vitamina caótica", a probabilidade de que a vitamina contenha laranja é
Provas
Questão presente nas seguintes provas
Um ponto (x, y) do plano cartesiano move-se segundo as equações x = 2t 2 - t e y = t 3 + 2t. O valor de dy/dx quando t = 1 é
Provas
Questão presente nas seguintes provas
Considere o operador linear T noℝ2, tal que T(1,0) = (2,1) e T(1,1) = (1,2). Nessa situação, T(5,3) é
Provas
Questão presente nas seguintes provas
Cadernos
Caderno Container