Foram encontradas 60 questões.

Considerando o desfecho da história, a mensagem que a tira veicula é:
Provas
Questão presente nas seguintes provas
SURPRESA NA ENTRADA DA ALDEIA

Retornando à Reserva Indígena de Jaqueira, no extremo sul da Bahia, a turista Tânia Mara Scavello disse ter se surpreendido, já na portaria, ao ver a placa indicativa de aceitação de cartões de crédito. Essa é a reação mais comum de quem procura a reserva para comprar artesanato, de acordo com o índio pataxó Juraci, vice-presidente da Associação Pataxó de Ecoturismo.
– Há tantos lugares que não aceitam, e aqui já estão se modernizando – disse Tânia, cliente do índio Camaiurá, que foi à reserva com o marido, o italiano Mário Scavello, para levar um casal de amigos. Scavello considera positiva a implantação do sistema na aldeia:
– Eles já sobrevivem da tradição, está certo desfrutarem um pouco da tecnologia para ganhar dinheiro. Para o casal de turistas paulistas, Fabrício Lisboa e Camila Rodrigues, pela primeira vez na reserva, a disponibilidade do sistema também surpreendeu:
– Fiquei surpresa pelo fato de estar numa aldeia e ter o privilégio de poder contar com a modernização – disse Camila, que comprou peças do índio Aponen.
Implantado há mais de um mês, o cartão impulsionou as vendas locais.
– Outro dia, veio um turista e separou um monte de artesanato. Só levou tudo porque aceitamos cartão. Eles andam com pouco dinheiro. – contou a índia Mitynawã.
As peças de artesanato, produzidas com sementes e coco, variam de R$ 5 a R$ 15. Outra fonte de renda é o valor do ingresso, que custa R$ 35:
– Não somos assalariados, todo mundo é voluntário. A venda do artesanato é uma alternativa de sobrevivência, pois não caçamos mais, e a implantação do cartão colabora para o aumento da nossa renda. O Globo, 26 ago. 2008. (Adaptado)
O Texto I apresenta elementos de modernidade e tradição na cultura índigena. Nessa perspectiva, qual dos elementos a seguir
NÃO pertence à atualidade da tribo citada no texto?
Retornando à Reserva Indígena de Jaqueira, no extremo sul da Bahia, a turista Tânia Mara Scavello disse ter se surpreendido, já na portaria, ao ver a placa indicativa de aceitação de cartões de crédito. Essa é a reação mais comum de quem procura a reserva para comprar artesanato, de acordo com o índio pataxó Juraci, vice-presidente da Associação Pataxó de Ecoturismo.
– Há tantos lugares que não aceitam, e aqui já estão se modernizando – disse Tânia, cliente do índio Camaiurá, que foi à reserva com o marido, o italiano Mário Scavello, para levar um casal de amigos. Scavello considera positiva a implantação do sistema na aldeia:
– Eles já sobrevivem da tradição, está certo desfrutarem um pouco da tecnologia para ganhar dinheiro. Para o casal de turistas paulistas, Fabrício Lisboa e Camila Rodrigues, pela primeira vez na reserva, a disponibilidade do sistema também surpreendeu:
– Fiquei surpresa pelo fato de estar numa aldeia e ter o privilégio de poder contar com a modernização – disse Camila, que comprou peças do índio Aponen.
Implantado há mais de um mês, o cartão impulsionou as vendas locais.
– Outro dia, veio um turista e separou um monte de artesanato. Só levou tudo porque aceitamos cartão. Eles andam com pouco dinheiro. – contou a índia Mitynawã.
As peças de artesanato, produzidas com sementes e coco, variam de R$ 5 a R$ 15. Outra fonte de renda é o valor do ingresso, que custa R$ 35:
– Não somos assalariados, todo mundo é voluntário. A venda do artesanato é uma alternativa de sobrevivência, pois não caçamos mais, e a implantação do cartão colabora para o aumento da nossa renda. O Globo, 26 ago. 2008. (Adaptado)
Provas
Questão presente nas seguintes provas
SURPRESA NA ENTRADA DA ALDEIA

Retornando à Reserva Indígena de Jaqueira, no extremo sul da Bahia, a turista Tânia Mara Scavello disse ter se surpreendido, já na portaria, ao ver a placa indicativa de aceitação de cartões de crédito. Essa é a reação mais comum de quem procura a reserva para comprar artesanato, de acordo com o índio pataxó Juraci, vice-presidente da Associação Pataxó de Ecoturismo.
– Há tantos lugares que não aceitam, e aqui já estão se modernizando – disse Tânia, cliente do índio Camaiurá, que foi à reserva com o marido, o italiano Mário Scavello, para levar um casal de amigos. Scavello considera positiva a implantação do sistema na aldeia:
– Eles já sobrevivem da tradição, está certo desfrutarem um pouco da tecnologia para ganhar dinheiro. Para o casal de turistas paulistas, Fabrício Lisboa e Camila Rodrigues, pela primeira vez na reserva, a disponibilidade do sistema também surpreendeu:
– Fiquei surpresa pelo fato de estar numa aldeia e ter o privilégio de poder contar com a modernização – disse Camila, que comprou peças do índio Aponen.
Implantado há mais de um mês, o cartão impulsionou as vendas locais.
– Outro dia, veio um turista e separou um monte de artesanato. Só levou tudo porque aceitamos cartão. Eles andam com pouco dinheiro. – contou a índia Mitynawã.
As peças de artesanato, produzidas com sementes e coco, variam de R$ 5 a R$ 15. Outra fonte de renda é o valor do ingresso, que custa R$ 35:
– Não somos assalariados, todo mundo é voluntário. A venda do artesanato é uma alternativa de sobrevivência, pois não caçamos mais, e a implantação do cartão colabora para o aumento da nossa renda. O Globo, 26 ago. 2008. (Adaptado)
Na matéria, percebe-se que a implantação do cartão impulsionou as vendas da aldeia. Considerando-se a fala da índia Mitynawã (L. 25-27), o argumento que justifica esse sucesso nas vendas é:
Retornando à Reserva Indígena de Jaqueira, no extremo sul da Bahia, a turista Tânia Mara Scavello disse ter se surpreendido, já na portaria, ao ver a placa indicativa de aceitação de cartões de crédito. Essa é a reação mais comum de quem procura a reserva para comprar artesanato, de acordo com o índio pataxó Juraci, vice-presidente da Associação Pataxó de Ecoturismo.
– Há tantos lugares que não aceitam, e aqui já estão se modernizando – disse Tânia, cliente do índio Camaiurá, que foi à reserva com o marido, o italiano Mário Scavello, para levar um casal de amigos. Scavello considera positiva a implantação do sistema na aldeia:
– Eles já sobrevivem da tradição, está certo desfrutarem um pouco da tecnologia para ganhar dinheiro. Para o casal de turistas paulistas, Fabrício Lisboa e Camila Rodrigues, pela primeira vez na reserva, a disponibilidade do sistema também surpreendeu:
– Fiquei surpresa pelo fato de estar numa aldeia e ter o privilégio de poder contar com a modernização – disse Camila, que comprou peças do índio Aponen.
Implantado há mais de um mês, o cartão impulsionou as vendas locais.
– Outro dia, veio um turista e separou um monte de artesanato. Só levou tudo porque aceitamos cartão. Eles andam com pouco dinheiro. – contou a índia Mitynawã.
As peças de artesanato, produzidas com sementes e coco, variam de R$ 5 a R$ 15. Outra fonte de renda é o valor do ingresso, que custa R$ 35:
– Não somos assalariados, todo mundo é voluntário. A venda do artesanato é uma alternativa de sobrevivência, pois não caçamos mais, e a implantação do cartão colabora para o aumento da nossa renda. O Globo, 26 ago. 2008. (Adaptado)
Provas
Questão presente nas seguintes provas

Provas
Questão presente nas seguintes provas
As unidades da grandeza condutividade térmica expressas em termos das unidades de base do Sistema Internacional são:
Provas
Questão presente nas seguintes provas
- Química OrgânicaPolímeros
- Química OrgânicaReações OrgânicasReações Orgânicas: Oxidação, Redução e Polimerização
A figura abaixo representa um esquema simplificado de produção da resina polietileno tereftalato (PET).

Nesse esquema,

Nesse esquema,
Provas
Questão presente nas seguintes provas
A cadeia de produção do setor petroquímico é dividida em indústrias de primeira, segunda e terceira gerações. Os objetivos dessas indústrias são:
Provas
Questão presente nas seguintes provas
- Química OrgânicaPolímeros
- Química OrgânicaReações OrgânicasReações Orgânicas: Oxidação, Redução e Polimerização
Relacione os tipos de processos de polimerização às respectivas características.
I – Em massa
II – Em solução
III – Em suspensão
Q – homogênea, sem uso de solvente.
R – homogênea, com uso de solvente
S – heterogênea, com o monômero e o iniciador insolúveis no meio dispersante (em geral, a água).
T – heterogênea, com o iniciador solúvel em água e o monômero apenas parcialmente solúvel.
A associação correta é:
I – Em massa
II – Em solução
III – Em suspensão
Q – homogênea, sem uso de solvente.
R – homogênea, com uso de solvente
S – heterogênea, com o monômero e o iniciador insolúveis no meio dispersante (em geral, a água).
T – heterogênea, com o iniciador solúvel em água e o monômero apenas parcialmente solúvel.
A associação correta é:
Provas
Questão presente nas seguintes provas

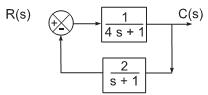
Para o diagrama de blocos, representado na figura acima, a função de transferência C(s) / R(s) é
Provas
Questão presente nas seguintes provas

Se um sistema de primeira ordem, representado pelo diagrama de blocos acima, sofre uma perturbação degrau de 2 unidades em X, a resposta, no domínio do tempo de Y, é
Provas
Questão presente nas seguintes provas
Cadernos
Caderno Container