Foram encontradas 80 questões.
Texto I
Por ser um grande exportador de matérias-primas e importador de produtos manufaturados, Mato Grosso necessita de uma infraestrutura de transporte capaz de suportar a demanda crescente de veículos e de carga, que garanta a entrada de produtos e o escoamento da produção. Porém, no estado a malha viária está muito aquém das necessidades, sendo um dos fatores responsáveis pela perda de competitividade da produção, além de insuficiente, a maior parte desta malha não apresenta a infraestrutura adequada de funcionamento. O estado conta com cinco eixos rodoviários federais e oito eixos rodoviários estaduais.
(MORENO, Gislaine. Geografia de Mato Grosso: território, sociedade, ambiente. Cuiabá: Entrelinhas, 2005. Adaptado).
Texto II
O deputado estadual Eduardo Botelho afirmou que a construção da 1ª Ferrovia Estadual vai possibilitar o crescimento da industrialização na Região Metropolitana de Cuiabá, por meio da implantação de um terminal na Capital, cujas obras já são consideradas a realização de um “sonho”. A construção da ferrovia estadual prevê 730 quilômetros de linha férrea que vão interligar os municípios de Rondonópolis a Cuiabá, além de Rondonópolis com Nova Mutum e Lucas do Rio Verde, e que vão se conectar à malha nacional, em direção ao Porto de Santos (SP). “A baixada cuiabana tem vocação para a agricultura familiar, para força de trabalho e esperamos a industrialização para gerar emprego e renda para nosso povo. Se Deus quiser essa ferrovia vai alavancar a economia da baixada cuiabana e de todo o Estado de Mato Grosso”, disse Eduardo Botelho.
(Disponível em: http://www.sinfra.mt.gov.br/-/17981944-eduardo-botelho-a-ferrovia-vai-alavancar-a-industrializacao-de-cuiaba-e-de-todoestado-. Acessado em: 16/12/2021)
I- O eixo ferroviário entre Rondonópolis e Cuiabá tem previsão de conclusão de obras e respectivo funcionamento no ano de 2025. Conta com previsão de início das obras para o ano de 2022, sendo executadas pela empresa Rumo S/A e ao menos 26 municípios que estão às margens do traçado da ferrovia serão beneficiados diretamente com a implantação da malha ferroviária.
II- Atualmente no estado existem duas empresas que possuem autorização para a prestação de serviço de transporte hidroviário. São as empresas Doerner & Cia. Ltda. e Centro Oeste Navegações Ltda., que juntas operam um total de 13 travessias, utilizando os rios Arinos, Juruena, Rio Verde, Apiacás, Roosevelt e Teles Pires, principalmente.
III- O principal modal de escoamento de grãos de Mato Grosso se dá pelas rodovias BR-163 (Cuiabá-Santarém) e BR-364 (Cuiabá-Porto Velho). No ano de 2021 a BR-364 completou 48 anos de existência, e conforme dados da empresa Rota do Oeste, a BR-163 apresenta um fluxo de 70 mil veículos circulando diariamente nesta rodovia, sendo 70% veículos de carga.
IV- A hidrovia Paraguai-Paraná está inserida nas bacias dos rios Cuiabá, Paraguai, Taquari, Negro e Miranda, sendo, desde o século XIX, uma via fluvial de transporte de grande papel na integração sul-americana. Porém, foi desativada no início do século XX, em função da implantação da estrada de ferro Noroeste do Brasil (NOB), ligando o sul de Mato Grosso à região sudeste do país.
Está correto o que se afirma em
Provas
Provas
Provas
Gino da Silva Prudente, cidadão devidamente identificado, apresentou pedido de acesso à informação, mediante protocolo de requerimento dirigido à Perícia Oficial e Identificação Técnica do Estado de Mato Grosso (POLITEC/MT), com fundamento na Lei nº 12.527/2011, a fim de obter cópia de laudo de perícia grafotécnica, que integra procedimento de investigação criminal.
De acordo com os ditames da referida Lei, que regula o acesso a informações, qual procedimento deverá ser adotado pela autoridade pública responsável em resposta ao requerente?
Provas
Provas
Provas
1. Carga elétrica 2. Tamanho 3. Densidade 4. Solubilidade 5. Afinidade
( ) Uma membrana semipermeável, contendo a mistura de proteínas, é introduzida em uma solução aquosa hipotônica e mantida sob agitação até o equilíbrio osmótico. ( ) O sobrenadante proteico, contendo proteínas solúveis, é centrifugado várias vezes com aumento progressivo de tempo e velocidade do processo. ( ) Durante o preparo da amostra, as proteínas são carregadas negativamente pela interação com um detergente aniônico, e migram por um gel polimérico impulsionadas por uma diferença de potencial. ( ) A fase estacionária é constituída por um ligante específico, formando um complexo ligante-proteínas, cujas interações são posteriormente rompidas, adicionando-se excesso de ligante ou pela alteração do pH do meio. ( ) As proteínas migram por um gel polimérico contendo um gradiente de pH. ( ) É possível observar um comportamento de salting in ou salting out da proteína diante de diferentes concentrações de sal em um meio aquoso.
Assinale a sequência correta.
Provas
I- A primeira etapa da PCR consiste na desnaturação do DNA pela elevação de temperatura, que mimetiza a ação da enzima helicase, induzido o rompimento das interações por pontes de hidrogênio entre as fitas poliméricas.
II- Sem a adição de pequenas sequências de RNA, denominadas primers, que servem como iniciadores para a ação da enzima polimerase, a amplificação do material genético não ocorre, mesmo estando o DNA extraído em perfeitas condições biológicas.
III- Na etapa de anelamento, ocorre o resfriamento do sistema, realizado com o objetivo de possibilitar a ligação dos primers ou iniciadores às fitas simples de ácidos nucleicos, que ocorre por meio de pontes de hidrogênio.
IV- Os primers utilizados na PCR devem ser extraídos de bactérias termófilas, pois precisam resistir a elevadas temperaturas durante o ensaio.
V- Na PCR em tempo real, o anelamento dos primers permite a detecção de sequências específicas de DNA, uma vez que esses fragmentos podem ser ligados a moléculas fluorescentes.
VI- A RT-PCR permite a amplificação de sequências de RNA em uma amostra biológica, porém é dependente da presença de uma RNA polimerase denominada transcriptase reversa.
Estão corretas as afirmativas
Provas

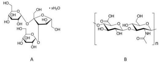
Sobre os carboidratos representados, marque a afirmativa correta.
Provas

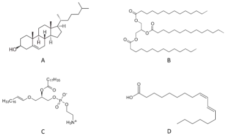
As estruturas A, B, C e D representam, respectivamente:
Provas
Caderno Container