Foram encontradas 1.033 questões.
1035628
Ano: 2016
Disciplina: Engenharia Eletrônica
Banca: CESPE / CEBRASPE
Orgão: Polícia Científica-PE
Disciplina: Engenharia Eletrônica
Banca: CESPE / CEBRASPE
Orgão: Polícia Científica-PE
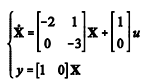
Um sistema linear é representado no espaço de estados pelas equações a seguir, em que u e y são, respectivamente, as variáveis escalares de entrada e saída e X é o vetor de estados do sistema.

Considerando essas informações, é correto afirmar que o sistema
Provas
Questão presente nas seguintes provas
1035627
Ano: 2016
Disciplina: Engenharia Eletrônica
Banca: CESPE / CEBRASPE
Orgão: Polícia Científica-PE
Disciplina: Engenharia Eletrônica
Banca: CESPE / CEBRASPE
Orgão: Polícia Científica-PE
O sistema linear a tempo discreto cuja função de transferência
é dada por
será instável se
será instável seProvas
Questão presente nas seguintes provas
1035626
Ano: 2016
Disciplina: Engenharia Eletrônica
Banca: CESPE / CEBRASPE
Orgão: Polícia Científica-PE
Disciplina: Engenharia Eletrônica
Banca: CESPE / CEBRASPE
Orgão: Polícia Científica-PE
Considerando-se que a função de transferência em malha aberta de
um sistema dinâmico linear seja dada por
, em
que K é um parâmetro real e positivo, é correto afirmar que
o sistema em malha fechada resultante de realimentação negativa
apresentará
, em
que K é um parâmetro real e positivo, é correto afirmar que
o sistema em malha fechada resultante de realimentação negativa
apresentaráProvas
Questão presente nas seguintes provas
1035625
Ano: 2016
Disciplina: Engenharia Eletrônica
Banca: CESPE / CEBRASPE
Orgão: Polícia Científica-PE
Disciplina: Engenharia Eletrônica
Banca: CESPE / CEBRASPE
Orgão: Polícia Científica-PE
Considere que um filtro discreto seja representado pela equação
, em que {x[n]} e {y[n]}
são, respectivamente, as sequências de entrada e saída do filtro.
Com relação a essas informações, assinale a opção correta acerca
da sequência {h[n]} de resposta do filtro a um pulso unitário
em n = 0.
, em que {x[n]} e {y[n]}
são, respectivamente, as sequências de entrada e saída do filtro.
Com relação a essas informações, assinale a opção correta acerca
da sequência {h[n]} de resposta do filtro a um pulso unitário
em n = 0.Provas
Questão presente nas seguintes provas
1035624
Ano: 2016
Disciplina: Engenharia Eletrônica
Banca: CESPE / CEBRASPE
Orgão: Polícia Científica-PE
Disciplina: Engenharia Eletrônica
Banca: CESPE / CEBRASPE
Orgão: Polícia Científica-PE
Considerando que a função de transferência de um sistema linear
seja dada por
, em que K e a são parâmetros reais
positivos, assinale a opção que apresenta corretamente, em graus,
a fase do sistema quando este é excitado por um sinal senoidal de
alta frequência.
, em que K e a são parâmetros reais
positivos, assinale a opção que apresenta corretamente, em graus,
a fase do sistema quando este é excitado por um sinal senoidal de
alta frequência.Provas
Questão presente nas seguintes provas
1035623
Ano: 2016
Disciplina: Engenharia Eletrônica
Banca: CESPE / CEBRASPE
Orgão: Polícia Científica-PE
Disciplina: Engenharia Eletrônica
Banca: CESPE / CEBRASPE
Orgão: Polícia Científica-PE

Provas
Questão presente nas seguintes provas
1035622
Ano: 2016
Disciplina: Engenharia Eletrônica
Banca: CESPE / CEBRASPE
Orgão: Polícia Científica-PE
Disciplina: Engenharia Eletrônica
Banca: CESPE / CEBRASPE
Orgão: Polícia Científica-PE

Provas
Questão presente nas seguintes provas
1035621
Ano: 2016
Disciplina: Engenharia Eletrônica
Banca: CESPE / CEBRASPE
Orgão: Polícia Científica-PE
Disciplina: Engenharia Eletrônica
Banca: CESPE / CEBRASPE
Orgão: Polícia Científica-PE

Provas
Questão presente nas seguintes provas
1035620
Ano: 2016
Disciplina: Engenharia Eletrônica
Banca: CESPE / CEBRASPE
Orgão: Polícia Científica-PE
Disciplina: Engenharia Eletrônica
Banca: CESPE / CEBRASPE
Orgão: Polícia Científica-PE

Provas
Questão presente nas seguintes provas
1035619
Ano: 2016
Disciplina: Engenharia Elétrica
Banca: CESPE / CEBRASPE
Orgão: Polícia Científica-PE
Disciplina: Engenharia Elétrica
Banca: CESPE / CEBRASPE
Orgão: Polícia Científica-PE

Provas
Questão presente nas seguintes provas
Cadernos
Caderno Container