Foram encontradas 1.033 questões.
1035638
Ano: 2016
Disciplina: Engenharia Eletrônica
Banca: CESPE / CEBRASPE
Orgão: Polícia Científica-PE
Disciplina: Engenharia Eletrônica
Banca: CESPE / CEBRASPE
Orgão: Polícia Científica-PE
Assinale a opção correta no que se refere a famílias de circuitos
lógicos.
Provas
Questão presente nas seguintes provas
1035637
Ano: 2016
Disciplina: Engenharia Eletrônica
Banca: CESPE / CEBRASPE
Orgão: Polícia Científica-PE
Disciplina: Engenharia Eletrônica
Banca: CESPE / CEBRASPE
Orgão: Polícia Científica-PE
Assinale a opção correta com referência aos conversores CA-CA
e CC-CA.
Provas
Questão presente nas seguintes provas
1035636
Ano: 2016
Disciplina: Engenharia Eletrônica
Banca: CESPE / CEBRASPE
Orgão: Polícia Científica-PE
Disciplina: Engenharia Eletrônica
Banca: CESPE / CEBRASPE
Orgão: Polícia Científica-PE
- Conversores Analógicos Digitais (AD) e Digitais Analógicos (DAC)
- Eletrônica Digital na Engenharia Eletrônica
Para se construir um multímetro digital, é correto utilizar um
conversor analógico-digital do tipo
Provas
Questão presente nas seguintes provas
1035635
Ano: 2016
Disciplina: Engenharia Eletrônica
Banca: CESPE / CEBRASPE
Orgão: Polícia Científica-PE
Disciplina: Engenharia Eletrônica
Banca: CESPE / CEBRASPE
Orgão: Polícia Científica-PE
A propósito de técnicas de modulação de onda contínua, assinale a
opção correta.
Provas
Questão presente nas seguintes provas
1035634
Ano: 2016
Disciplina: Engenharia Eletrônica
Banca: CESPE / CEBRASPE
Orgão: Polícia Científica-PE
Disciplina: Engenharia Eletrônica
Banca: CESPE / CEBRASPE
Orgão: Polícia Científica-PE
No que tange ao emprego de comutadores temporais em sistemas
de telefonia, assinale a opção correta.
Provas
Questão presente nas seguintes provas
1035633
Ano: 2016
Disciplina: Engenharia Eletrônica
Banca: CESPE / CEBRASPE
Orgão: Polícia Científica-PE
Disciplina: Engenharia Eletrônica
Banca: CESPE / CEBRASPE
Orgão: Polícia Científica-PE
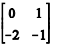
Considerando que um sistema linear seja representado pela equação ÿ(t) + ẏ(t) + 2y(t) = u(t), em que u(t) e y(t) correspondem,
respectivamente, à entrada e à saída do sistema, assinale a opção
que apresenta corretamente uma possível matriz de estados ao se
representar o sistema no espaço de estados.
Provas
Questão presente nas seguintes provas
1035632
Ano: 2016
Disciplina: Engenharia Eletrônica
Banca: CESPE / CEBRASPE
Orgão: Polícia Científica-PE
Disciplina: Engenharia Eletrônica
Banca: CESPE / CEBRASPE
Orgão: Polícia Científica-PE
Assinale a opção correta, relativamente às tecnologias e aos
princípios das comunicações digitais.
Provas
Questão presente nas seguintes provas
1035631
Ano: 2016
Disciplina: Engenharia Eletrônica
Banca: CESPE / CEBRASPE
Orgão: Polícia Científica-PE
Disciplina: Engenharia Eletrônica
Banca: CESPE / CEBRASPE
Orgão: Polícia Científica-PE
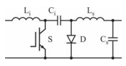
Conversores CC-CC são normalmente constituídos por dispositivos
semicondutores de potência que operam como chave, por elementos
passivos, indutores e capacitores. No que concerne a esse assunto,
assinale a opção correta acerca das características de conversores
CC-CC.
Provas
Questão presente nas seguintes provas
1035630
Ano: 2016
Disciplina: Engenharia Eletrônica
Banca: CESPE / CEBRASPE
Orgão: Polícia Científica-PE
Disciplina: Engenharia Eletrônica
Banca: CESPE / CEBRASPE
Orgão: Polícia Científica-PE
Assinale a opção correta acerca de diodos de silício.
Provas
Questão presente nas seguintes provas
1035629
Ano: 2016
Disciplina: Engenharia Eletrônica
Banca: CESPE / CEBRASPE
Orgão: Polícia Científica-PE
Disciplina: Engenharia Eletrônica
Banca: CESPE / CEBRASPE
Orgão: Polícia Científica-PE
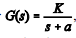
Considerando um sistema linear cuja função de transferência seja
dada por
, assinale a opção que apresenta o período de
tempo aproximado, em segundos, que o sistema leva para atingir
o regime permanente ao ser excitado por uma função degrau.
, assinale a opção que apresenta o período de
tempo aproximado, em segundos, que o sistema leva para atingir
o regime permanente ao ser excitado por uma função degrau.Provas
Questão presente nas seguintes provas
Cadernos
Caderno Container