Foram encontradas 1.190 questões.
A partir de um sistema definido pelas seguintes equações no espaço de estados:

Conclui-se que a função de transferência equivalente do sistema é
Provas

Um engenheiro de equipamentos precisa projetar um circuito eletrônico para atuar como um compensador em um sistema de controle. Sabe-se que o engenheiro tomou como base para seu projeto o circuito ilustrado na Figura acima, fazendo R1 C1 < R2 C2 .
Qual o tipo de compensador que foi projetado por esse engenheiro de equipamentos?
Provas
Para analisar o comportamento de um sistema representado pela função de transferência
um engenheiro
está interessado em determinar as margens de ganho e fase do sistema, utilizando os diagramas de Bode ilustrados
na Figura abaixo.

Qual a margem de fase aproximada desse sistema, em graus?
Provas
O mapa de Karnaugh, apresentado na Figura a seguir, mostra o comportamento de um circuito digital com entradas A, B, C, D e saída W.

A expressão booleana que está representada através do mapa de Karnaugh é
Provas
Contadores são circuitos digitais amplamente utilizados para manipulação de dados e são construídos a partir da ligação de flip-flops em cascata. A Figura a seguir mostra um exemplo de contador.

Em relação a contadores digitais, considere as afirmativas a seguir:
I - O contador assíncrono tem um sinal de clock único externo aplicado a todos os estágios ao mesmo tempo.
II - O valor máximo de contagens que um contador que utiliza 4 flip-flops pode atingir é 32.
III - É possível fazer a contagem de valores que não sejam potências de 2 combinando contadores comuns com portas lógicas conhecidas.
É(São) correta(s) APENAS a(s) afirmativa(s):
Provas
Considere que duas antenas isotrópicas ideais estão afastadas por uma distância de 5m. Sabe-se que a perda teórica no espaço livre de uma antena desse tipo pode ser modelada por

onde L é a perda, Ptransmitida e Precebida são, respectivamente, a potência da antena de transmissão e a potência da antena de recepção, f é a frequência (em Hertz) da portadora utilizada, d é a distância (em metros) entre as antenas, e c é a velocidade da luz (3x108 m/s).
Sabe-se que
• log 4π = 1,1
• log 2 = 0,3
Sabendo-se que a potência mínima para a recepção adequada é de 4 dBW, qual deverá ser a potência mínima de transmissão, em Watts, considerando-se que ambas as antenas têm ganho igual a 1, e que a comunicação será realizada na frequência de 300 MHz?
Provas
Considere o sinal a seguir:
![]()
A inversa Z desse sinal é:
Provas
Provas
Parte de um sistema industrial possui a função de transferência mostrada abaixo.
![]()
O sistema representado pela função de transferência é um sistema BIBO
Dados:
√2 = 1,4
√10 = 3,16
Provas
A base de tempo do contador binário é definida através do sinal de relógio CLK, ilustrado no gráfico abaixo. Além disso, o contador inicia a sua operação em t = 0 s no estado X2 X1 X0 = 000.
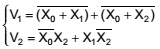
Para ajustar a quantidade desejada de cada reagente a ser despejada no Tanque 3, as válvulas V1 e V2 devem ser acionadas, conforme mostrado nos gráficos a seguir, onde o estado 1 (nível lógico alto) mantém a válvula aberta, e o estado 0 (nível lógico baixo) mantém a válvula fechada.
Dessa forma, quais são as funções lógicas booleanas que o circuito lógico deve realizar para controlar o acionamento das válvulas V1 e V2 conforme a especificação do projeto?
Provas
Caderno Container