Foram encontradas 3.569 questões.

Para o circuito da figura, o valor da tensão V1, em volts, é:
Provas

O circuito da figura mostra um conversor DC/DC que utiliza um diodo Zener de tensão nominal de 8,2V e um transistor com !$ \beta !$ = 100 e VBE = 0,7V. Os valores da tensão de saída Vo, em volts, e da corrente IZ no Zener, em mA, respectivamente, são:
Provas
Considerando os conceitos básicos de segurança, previstos nas normas, e supondo que todas as ações abaixo sejam possíveis, a primeira a ser realizada, ao se avistar um foco de incêndio, é:
Provas
A Associação Brasileira de Normas Técnicas (ABNT) é o órgão responsável pela normalização técnica no país, fornecendo a base necessária ao desenvolvimento tecnológico brasileiro. Considere as seguintes atividades:
I - acompanhamento de processos de Certificação;
II - elaboração de Normas Nacionais;
III - participação na elaboração de Normas Internacionais.
É(são) atividade(s) da ABNT:
Provas

A figura acima mostra um desenho de duas salas simétricas, cada uma contendo 10 luminárias. Para confeccionar este desenho utilizando o Auto CAD (14, 2000 ou 2005) , é correto afirmar que o(s) comando(s):
Provas

A figura acima apresenta o caminho da corrente elétrica no corpo humano em conseqüência da tensão de toque e da tensão de passo, que se verificam, por exemplo, quando acontece uma descarga elétrica para a terra pela barra metálica. O Equipamento de Proteção Individual (EPI) capaz de proteger contra o choque elétrico em ambas as situações é(são):
Provas

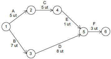
A figura acima apresenta um diagrama de rede PERT/CPM. As atividades a serem executadas são representadas por letras maiúsculas, juntamente com os seus tempos de execução (dados em unidades de tempo – ut). As atividades que, caso sofram atrasos, acarretarão também atrasos na conclusão do serviço são:
Provas
No contexto da NR 10/2004 - Segurança em Instalações e Serviços em Eletricidade - entende-se por aterramento temporário:
Provas
Observe a figura abaixo.

A respeito da figura, assinale a afirmação correta.
Provas
Ao realizar a manutenção de uma instalação elétrica de baixa tensão, o técnico não se preocupou em verificar se os circuitos dessa instalação estavam adequadamente distribuídos entre as fases. Após algum tempo de uso da instalação, ocorreu o rompimento do fio neutro do alimentador do quadro de onde saem os circuitos, provocando a queima de um equipamento. Uma possível causa desta queima é o surgimento de:
Provas
Caderno Container