Foram encontradas 80 questões.

Provas
Uma equipe de pesquisadores do Instituto de Química da Universidade de Brasília desenvolve marcadores visuais que permitem identificar resíduos de pólvora em cenas de crime e rastrear a origem de uma bala e até a distância do tiro e o porte físico do atirador. Os marcadores são uma mistura de lantanídeos luminescentes que se destacam na luz ultravioleta.
Disponível em:<htto://www.ebiotecnologi.org/2013/01/
pesquisadores-da-unb-desenvolve-metodo> .
Acesso em: 15 abr. 2016, com adaptações.
Os lantanídeos luminescentes destacam-se na luz ultravioleta em razão da
Provas
Provas
Provas
Provas
- Química InorgânicaSoluções e Substâncias InorgânicasSubstâncias Inorgânicas: dissociação iônica e ionização, conceitos de ácido-base
- Química InorgânicaSoluções e Substâncias InorgânicasSoluções: características, tipos de concentração, diluição, mistura, titulação e soluções coloidais
Provas
- Gases
- Química CinéticaRepresentação das Transformações Químicas
- Química CinéticaTransformações Químicas
Considerando que a parafina é o principal componente de velas (cada vela contém aproximadamente 1,60 g de parafina), que tem fórmula C22H46 e massa molecular de 310 g mol -1, e que o aumento do volume do gás volume molar dos gases nas CNTP: 24 L mol-1 se deu apenas pela queima completa desse material, nesse caso hipotético, que quantidade de velas resultou na morte do referido homem?
Provas
- Química OrgânicaCadeias Carbônicas
- Química OrgânicaIsomeria Plana e Espacial
- Química OrgânicaPropriedades Químicas dos Compostos Orgânicos
- Química OrgânicaTipos de Reagentes e Mecanismos das Reações Orgânicas
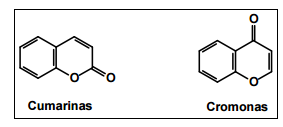
Representação molecular das cumarinas e cromonas As cumarinas são heterosídeos que apresentam diversas propriedades, entre elas a do dicumarol, que é anticoagulante. Atribuem-se às cumarinas muitas atividades farmacológicas, bioquímicas e terapêuticas, as quais dependem dos respectivos padrões de substituição. Elas possuem também isômeros naturais conhecidos como cromonas. PINEO, G.; HULL, R.D. Coumarin therapy in thrombosis. Hematology/ Oncology Clinics of North America, v. 17, p. 201-216, 2003, com adaptações.
Acerca dessas moléculas, assinale a alternativa correta.
Provas
Provas
|
Idade (x) |
Frequência (f) |
18 |
2 |
19 |
4 |
20 |
7 |
21 |
12 |
23 |
24 |
27 |
26 |
30 |
10 |
32 |
8 |
40 |
4 |
45 |
3 |
total |
100 |
Fonte: Fictícia.
Provas
Caderno Container