Foram encontradas 80 questões.
A variância amostral é uma medida de dispersão que mostra o quão dispersos são os dados da amostra em relação à sua média. Com base nessa informação, a variância amostral para a amostra 3, 6, 8, 7, 6 e 12 é igual a
Provas
Questão presente nas seguintes provas
- Gestão de ProcessosOrganizações, Sistemas e Métodos
- PODC: Processo OrganizacionalProcesso Administrativo: OrganizaçãoEstrutura OrganizacionalDepartamentalização
No que se refere à organização e a sistema e métodos em administração, assinale a alternativa correta.
Provas
Questão presente nas seguintes provas
Entre 15 papiloscopistas da Polícia Civil do Distrito Federal (PCDF) previamente selecionados, 8 homens e 7 mulheres, serão escolhidos 5, 3 homens e 2 mulheres, para proceder a estudo visando ao aprimoramento do sistema de identificação de pessoas. Nesse caso, a quantidade de maneiras distintas de se escolher esses 5 papiloscopistas é
Provas
Questão presente nas seguintes provas
Dos 200 papiloscopistas aprovados no concurso, 120 são homens e 80 são mulheres. Dos 200, sabe-se que 130 são bacharéis em química, 100 são bacharéis em física e 60 têm as duas formações. Das mulheres, 40 são bacharéis em química, 30 são bacharéis em física e 15 têm as duas formações. Nesse caso, é correto afirmar que a quantidade de papiloscopistas homens que não têm nenhuma dessas duas formações é igual a
Provas
Questão presente nas seguintes provas
Considerando os conceitos básicos de lógica, assinale a alternativa correta.
Provas
Questão presente nas seguintes provas
No que se refere aos componentes do citoesqueleto, uma complexa rede de proteínas que compõe o “esqueleto” celular, assinale a alternativa correta.
Provas
Questão presente nas seguintes provas
Com relação aos compostos químicos e às biomoléculas que fazem parte da composição química da célula, assinale a alternativa correta.
Provas
Questão presente nas seguintes provas

Tendo a figura acima, que ilustra os níveis de organização na estrutura das proteínas, como referência, assinale a alternativa correta.
Provas
Questão presente nas seguintes provas

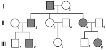
A figura acima ilustra um heredograma de uma família com indivíduos afetados (símbolos escuros) e não afetados (símbolos claros). O padrão de herança mendeliana apresentado nesse heredograma é característico de herança
Provas
Questão presente nas seguintes provas
- GenéticaHereditariedade
- Identidade dos Seres Vivos
- Reino AnimalZoologiaZoologia InvertebradosEsponjas e Cnidários
- Mutações e alterações cromossômicas
As anomalias cromossômicas podem ser tanto numéricas quanto estruturais, afetando cromossomos sexuais, um ou mais autossomos ou, em alguns casos, os dois tipos de cromossomos. Acerca desse assunto, assinale a alternativa correta.
Provas
Questão presente nas seguintes provas
Cadernos
Caderno Container