Foram encontradas 120 questões.


No trecho “Quando me lembro dessa noite” (ℓ.21), a correção gramatical seria mantida caso o pronome “me” fosse deslocado para imediatamente após a forma verbal “lembro”, da seguinte forma: Quando lembro-me dessa noite.
Provas
Questão presente nas seguintes provas
- MorfologiaVerbosConjugaçãoFlexão Verbal de Modo
- MorfologiaVerbosConjugaçãoFlexão Verbal de Tempo
- MorfologiaVerbosLocução Verbal
- SemânticaSinônimos e Antônimos
- Interpretação de TextosCoesão e Coerência
- Interpretação de TextosSubstituição/Reescritura de Texto


Os sentidos e a correção gramatical do texto seriam preservados se as locuções verbais “tinha levado” (ℓ.27) e “tinha pensado” (ℓ.28) fossem substituídas pelas formas verbais levara e pensara, respectivamente.
Provas
Questão presente nas seguintes provas


O emprego de “princesa” (ℓ. 8 e 19) no tratamento que Fernando dispensa à narradora comprova que ele a ama, embora aja de maneira grosseira algumas vezes.
Provas
Questão presente nas seguintes provas
Determinado cidadão norte-americano em férias em Brasília cometeu o crime de homicídio ao fugir da cena de crime de tráfico ilícito de entorpecentes, supostamente por ele praticado. Após o crime, ele fugiu para o hotel onde se encontrava hospedado desde que chegou ao Brasil. Cinco minutos após ter adentrado em seu quarto, a polícia invadiu o local e conseguiu prendê-lo.
Considerando a jurisprudência do STF, julgue o item a seguir, a partir da situação hipotética precedente.
Se for comprovado que o referido cidadão norte-americano praticou o crime de tráfico ilícito de entorpecentes, ele poderá ser extraditado para o seu país de origem.
Considerando a jurisprudência do STF, julgue o item a seguir, a partir da situação hipotética precedente.
Se for comprovado que o referido cidadão norte-americano praticou o crime de tráfico ilícito de entorpecentes, ele poderá ser extraditado para o seu país de origem.
Provas
Questão presente nas seguintes provas
O mal infligido pela autoridade pública, sem condenação
pública anterior, não deve ser classificado como punição, mas
como ato hostil. Porque o ato devido ao qual se aplica a alguém
uma punição deve primeiro ser considerado pela autoridade
pública como transgressão da lei.
Thomas Hobbes. O Leviatã (1651). São Paulo: Martins Fontes, 2003. p. 264 (com adaptações).
Tendo o fragmento do texto precedente como referência, julgue o item a seguir.
O texto apresentado faz referência ao princípio da irretroatividade da lei penal.
Thomas Hobbes. O Leviatã (1651). São Paulo: Martins Fontes, 2003. p. 264 (com adaptações).
Tendo o fragmento do texto precedente como referência, julgue o item a seguir.
O texto apresentado faz referência ao princípio da irretroatividade da lei penal.
Provas
Questão presente nas seguintes provas
A respeito de segurança e proteção na Internet, julgue o item que se segue.
Firewall de proxy é um aplicativo de segurança que monitora e controla o tráfico de dados de uma rede interna para a rede externa e impede o ataque externo.
Firewall de proxy é um aplicativo de segurança que monitora e controla o tráfico de dados de uma rede interna para a rede externa e impede o ataque externo.
Provas
Questão presente nas seguintes provas
Determinado cidadão norte-americano em férias em Brasília cometeu o crime de homicídio ao fugir da cena de crime de tráfico ilícito de entorpecentes, supostamente por ele praticado. Após o crime, ele fugiu para o hotel onde se encontrava hospedado desde que chegou ao Brasil. Cinco minutos após ter adentrado em seu quarto, a polícia invadiu o local e conseguiu prendê-lo.
Considerando a jurisprudência do STF, julgue o item a seguir, a partir da situação hipotética precedente.
Nessa situação, o autor dos crimes não poderia alegar que a polícia violou o seu domicílio, uma vez que a garantia constitucional da inviolabilidade domiciliar pode ser estendida a quartos de hotel.
Considerando a jurisprudência do STF, julgue o item a seguir, a partir da situação hipotética precedente.
Nessa situação, o autor dos crimes não poderia alegar que a polícia violou o seu domicílio, uma vez que a garantia constitucional da inviolabilidade domiciliar pode ser estendida a quartos de hotel.
Provas
Questão presente nas seguintes provas
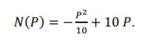
Dos 3.250 candidatos inscritos em um concurso público com 160 vagas e apenas a aplicação de uma prova objetiva, 1,6% não compareceram para realizar a prova. Com base em eventos anteriores, os organizadores do certame conseguiram modelar o número N de candidatos que acertam o percentual P de questões da prova objetiva pela função

Com base nessas informações, julgue o item que se segue.
De acordo com o modelo estabelecido, a quantidade de candidatos que acertará 80% das questões da prova objetiva é igual ao número de vagas oferecidas.

Com base nessas informações, julgue o item que se segue.
De acordo com o modelo estabelecido, a quantidade de candidatos que acertará 80% das questões da prova objetiva é igual ao número de vagas oferecidas.
Provas
Questão presente nas seguintes provas
- OrtografiaProblemas da Norma Culta
- MorfologiaPronomesPronomes Relativos
- SemânticaSinônimos e Antônimos
- Interpretação de TextosCoesão e Coerência
- Interpretação de TextosSubstituição/Reescritura de Texto

Sem prejuízo da correção gramatical e dos sentidos originais do texto, o trecho “Outra medida que teve papel importantíssimo foi a implementação de cortes (tribunais), nos anos 90, para tratar de crimes menores, mediar conflitos comunitários e casos de violência doméstica e para lidar com usuários de drogas.” (ℓ. 25 a 29) poderia ser reescrito da seguinte forma: Outra medida cujo papel foi muito importante foi a implantação, nos anos 90, de cortes (tribunais) para tratar de crimes menores, mediar conflitos nas comunidades e casos de violência doméstica e lidar com usuários de drogas.
Provas
Questão presente nas seguintes provas

No último período do texto, a oração “que a nominação de seu desaparecimento seja uma operação de resistência” exerce a função de complemento da forma verbal “acredita”, cujo sujeito é indeterminado, conforme comprova o emprego da partícula “se”.
Provas
Questão presente nas seguintes provas
Cadernos
Caderno Container