Foram encontradas 705 questões.
A tabela a seguir mostra a pressão admissível de alguns tipos de solo, medida de forma empírica, em Mpa.
|
Areias grossas, bem graduadas, compactadas |
0,8 |
|
Areias grossas, bem graduadas, fofas |
0,4 |
|
Areias finas/médias, muito compactadas |
0,6 |
|
Areias finas/médias, compactadas |
0,4 |
|
Areias finas/médias, pouco compactadas |
0,2 |
|
Solos siltosos/argilosos, consistência dura |
0,4 |
|
Solos siltosos/argilosos, consistência rija |
0,2 |
|
Solos siltosos/argilosos, consistência média |
0,1 |
Se um bloco de fundação com base 1,0 m x 0,8 m e altura 0,5 m será assentado sobre um solo composto por 80% de areias finas/médias, muito compactadas, e 20% de solo argiloso, com consistência dura, a carga máxima que esse bloco deve suportar, antes da aplicação de um eventual fator de segurança, é de
Provas
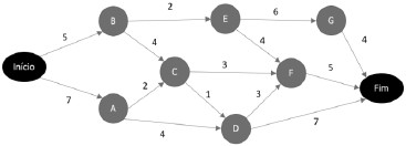
Apresenta-se a seguir a rede PERT/COM de um projeto que, desde a sua etapa de início e fim, deve passar por diversos estados, indicados pelos círculos com as letras. As setas indicam o tempo previsto, em quantidade de semanas, para realizar cada atividade que leva o projeto de um estado para outro.

Assinale a alternativa que indica dois estados que pertencem ao caminho crítico dessa rede.
Provas
Segundo a Lei nº 8.666/93, que institui normas para licitações e contratos da Administração Pública, a modalidade de licitação que inclui interessados previamente cadastrados, observada a necessária qualificação, é denominada de
Provas
A figura a seguir ilustra um teodolito, aparelho comumente empregado em levantamentos topográficos.

(Fonte: adaptado de “L. A. Veiga, M. A. Zanetti, P. L. Faggion, Fundamentos de Topografia”, Univ. Federal do Paraná” 2012.)
O componente indicado pela seta é denominado
Provas
Os códigos de obras dos municípios como, por exemplo, o existente para o Município de Manaus, visam a estabelecer normas e procedimentos para a elaboração de projetos, licenciamento, execução, utilização e manutenção referentes a obras de diversas naturezas, entre as quais as listadas a seguir, exceto uma, que possui uma legislação específica, e está associada a
Provas
O reajustamento de preços é o mecanismo por meio do qual os valores dos serviços inicialmente contratados para uma obra devem ser majorados em função da desvalorização da moeda e/ou da inflação.
Conforme consta na Lei nº 8.666/1993, a incidência do reajuste do contrato administrativo em obras e serviços de engenharia deve ocorrer com uma periodicidade mínima de
Provas
Requisitou-se a realização de um orçamento para a realização de pequena obra de concretagem para execução de uma fundação.
Dentre os itens de custo relacionados a seguir, o que pode ser considerado como custo indireto é
Provas
Uma empresa deve realizar um serviço de escavação de 2 m de profundidade, em um terreno retangular com dimensões 10 m x 5 m. Em seguida, deve transportar esse material para um bota-fora localizado a 10 km de distância.
Os custos unitários para os serviços relacionados a essa obra são mostrados na tabela a seguir.
| Item | Custo unitário |
|
Locação de obra com gabarito de madeira |
R$ 10,00 / m2 |
|
Escavação de material até 1,50m de profundidade |
R$ 12,00 / m3 |
|
Escavação de material de 1,50m até 3,0m de profundidade |
R$ 15,00 / m3 |
|
Transporte de material |
R$ 1,00 / (t x km) |
Sabendo-se que o peso específico do material a ser escavado é de 1,7t/m3, o orçamento total para esse serviço de:
Provas
Um banco emprestou R$ 100.000,00 no início de 2022 para uma empreiteira realizar uma obra, exigindo uma taxa interna de retorno de 10% a.a., descontada a inflação. Esse empréstimo será pago em 4 parcelas anuais, sendo a primeira no início de 2023, com amortizações constantes em cada ano.
Sob essas condições, e ignorando a inflação, o valor que a empreitaria deverá pagar no final de 2025 para quitar o empréstimo deverá ser de
Provas
Observe o texto a seguir, que descreve um tipo de custo que deve ser considerado nos estudos de viabilidade técnica-econômica de rodovias.
“custo do conjunto de intervenções, de caráter periódico, efetivado ao final de cada ciclo de vida útil da rodovia, para fornecer suporte estrutural, compatível com a estrutura existente e o tráfego esperado e tornar a rodovia apta a cumprir novo ciclo de vida.”
(DAER-RS, “Instrução de serviço para EVTEA”, pg. 24)
O texto se refere ao custo de
Provas
Caderno Container