Foram encontradas 739 questões.

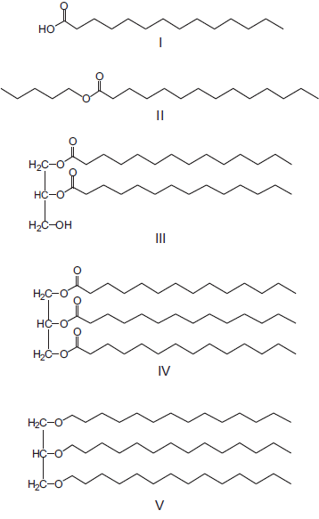
Além da sua utilização na indústria alimentícia, os óleos vegetais são de suma importância para a indústria, pois são matérias-primas para a produção de ácidos graxos, glicerina, lubrificantes, carburantes, biodiesel, entre outros. Considerando-se que os óleos vegetais são constituídos apenas por triglicerídeos ou triacilgliceróis, qual das substâncias acima representa um óleo vegetal?
Provas
Considere os seguintes óxidos de nitrogênio:
NO, NO2, N2O, N2O3 e N2O5. Desses, os classificados como anidridos são
Provas

O produto natural esqualeno, representado acima, é encontrado em pequenas quantidades nos óleos vegetais brutos e é utilizado como aditivo nas vacinas contra os vírus da gripe H1N1, já que ocorre um aumento na resposta imune do organismo. Analise as afirmativas a seguir relativas ao esqualeno.
I – Possui fórmula molecular C30H50.
II – É um hidrocarboneto de cadeia saturada e ramificada.
III – Tem 6 carbonos terciários.
IV – Suas duplas ligações são conjugadas.
Está correto APENAS o que se afirma em
Provas
Uma amostra de aço foi tratada com ácido nítrico concentrado, convertendo todo o ferro contido na amostra em íons Fe2+, formando uma solução. Para determinar a quantidade de íons Fe2+ presente na solução, foi realizada uma titulação contra uma solução padrão de permanganato de potássio. Nessa reação, que ocorre em meio ácido, os íons Fe2+ são oxidados a íons Fe3+, enquanto que o permanganato é reduzido a íons Mn2+. Considerando-se que a reação tenha um rendimento de 100 %, a quantidade de matéria de íons Fe2+, em mol, necessária para consumir 1,0 mol de permanganato é de
Provas
Disciplina: Segurança e Saúde no Trabalho (SST)
Banca: CESGRANRIO
Orgão: PBIO
São atribuições do Presidente e do Vice-Presidente da CIPA, em conjunto, EXCETO
Provas
Para um motor síncrono de 20 HP, 230 V, 60 Hz, foram medidas as potências de perdas a plena carga, para efeito de cálculo do rendimento desse motor, obtendo-se os valores: perdas rotacionais 1.760 W; perdas no cobre do estator 920 W; perdas no cobre do rotor 845 W e perdas suplementares 205 W. Qual é o rendimento (r) desse motor a plena carga?
Adote: (1 HP = 746 W).
Provas

Considere um motor monofásico de 1 / 4 de HP, 110 V, conforme figura acima. Na partida, seu enrolamento de partida (XP) consome uma corrente !$ I_S = 5/ \underline{-30^{ \circ}}A !$, Considere um motor monofásico de 1 / 4 de HP, 110 V, conforme figura acima. Na partida, seu enrolamento de partida (XP) consome uma corrente !$ I_D = 6/ \underline{-60^{ \circ}}A !$ . No instante da partida, qual é o valor da corrente total It e do fator de potência fp desse motor?
Adotar: ( cos 30º= 0,866; sen 60º = 0,866)
Provas

Uma indústria possui uma carga que deve ser acionada por um motor de indução (M.In). Esse motor consome uma potência de 40 kW com fator de potência (fp) igual a 0,8 atrasado. Um motor síncrono (M.S) é, então, ligado, em paralelo com o motor de indução, através de uma chave (Ch), conforme figura acima, consumindo uma potência de 28 kW. Se o fator de potência total (fptot) correspondente aos dois motores operando em paralelo é de 0,85 atrasado, qual é a potência reativa (Q), em kVAr, do motor síncrono?
Dado: !$ ( cos\,\theta = 0,85; \rightarrow \theta = 31,78^{ \circ}; sen\,\theta = 0,526) !$
Provas
Considere um motor de indução do tipo gaiola, de 10 HP, 220 V, 60 Hz, operando com um escorregamento de 5% e com tensão e frequência nominais. Nessa situação, qual é a rotação (n) a plena carga e qual é o conjugado eletromagnético Tm?
Dado: !$ ( 1 HP = 746\,W; T_m = { \large 60.P \over 2.\pi.n}; P\,em\,Watts; \pi = 3,14) !$
Provas
Em uma instalação industrial, há um motor de indução monofásico, bipolar, 110 V. Ao se ligar esse motor à rede elétrica, ocorre(m)
Provas
Caderno Container