Foram encontradas 50 questões.
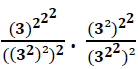
A expressão numérica abaixo apresenta como resultado

Provas
Provas
Provas
Provas
Provas
Texto para a questão a seguir.
Formação
Têm sido propostos vários mecanismos para explicar a formação da Lua, a qual ocorreu há 4,527 bilhões de anos e entre 30 e 50 milhões de anos após a origem do Sistema Solar. Uma pesquisa recente propõe uma idade ligeiramente mais jovem, entre 4,4 e 4,45 bilhões de anos. Entre os mecanismos propostos estão a fissão da Lua a partir da crosta terrestre através de força centrífuga (o que exigiria uma imensa força de rotação da Terra), a captura gravitacional de uma lua pré-formada (o que exigiria uma improvável atmosfera alargada da Terra capaz de dissipar a energia da passagem da Lua) e a formação simultânea da Terra e da Lua no disco de acreção primordial (que não explica o esgotamento de ferro metálico na Lua). Estas hipóteses também não conseguem explicar o elevado momento angular do sistema Terra-Lua.
A hipótese que hoje em dia prevalece é a de que o sistema Terra-Lua se formou em resultado de um gigantesco impacto, durante qual um corpo do tamanho de Marte, denominado Theia, colidiu com a recém-formada protoTerra, projetando material para a sua órbita que se aglutinou até formar a Lua. Dezoito meses antes de uma conferência sobre a possível origem da Lua em outubro de 1984, Bill Hartmann, Roger Phillips e Jeff Taylor desafiaram os colegas cientistas ao dizer: “Vocês têm 18 meses. Voltem para os dados da Apollo, voltem para os computadores, façam o que tiverem que fazer, mas decidam-se. Não venham para a conferência a menos que tenham algo a dizer sobre o nascimento da Lua”. Na conferência de 1984 em Kona, no Havaí, a hipótese do grande impacto emergiu como a mais popular. “Antes da conferência havia partidários das três teorias ‘tradicionais’, além de algumas pessoas que estavam começando a considerar o impacto gigante como uma possibilidade séria e havia um enorme grupo apático que achava que o debate jamais seria resolvido. Posteriormente, havia essencialmente apenas dois grupos: os defensores do grande impacto e os agnósticos”.
Pensa-se que os impactos gigantes tenham sido comuns nos primórdios do Sistema Solar. As simulações em computador do modelo do grande impacto são consistentes com as medições do momento angular do sistema Terra-Lua e com o pequeno tamanho do núcleo lunar. Estas simulações mostram também que a maior parte da Lua tem origem no corpo que embateu, e não na proto-Terra. No entanto, há testes mais recentes que sugerem que a maior parte da Lua se formou a partir da Terra, e não do impacto.
Os meteoritos mostram que os outros corpos do Sistema Solar interior, como Marte e Vesta, têm composições isotópicas de oxigênio e tungstênio muito diferentes das encontradas na Terra, enquanto a Terra e a Lua têm composições isotópicas praticamente idênticas. A mistura de material vaporizado entre a Terra e a Lua em formação após o impacto poderia ter equilibrado as suas composições isotópicas, embora isto ainda seja debatido.
(Disponível em https://pt.wikipedia.org/wiki/Lua. Acesso em 29 out. 2016.)
Provas
Texto para a questão a seguir.
Formação
Têm sido propostos vários mecanismos para explicar a formação da Lua, a qual ocorreu há 4,527 bilhões de anos e entre 30 e 50 milhões de anos após a origem do Sistema Solar. Uma pesquisa recente propõe uma idade ligeiramente mais jovem, entre 4,4 e 4,45 bilhões de anos. Entre os mecanismos propostos estão a fissão da Lua a partir da crosta terrestre através de força centrífuga (o que exigiria uma imensa força de rotação da Terra), a captura gravitacional de uma lua pré-formada (o que exigiria uma improvável atmosfera alargada da Terra capaz de dissipar a energia da passagem da Lua) e a formação simultânea da Terra e da Lua no disco de acreção primordial (que não explica o esgotamento de ferro metálico na Lua). Estas hipóteses também não conseguem explicar o elevado momento angular do sistema Terra-Lua.
A hipótese que hoje em dia prevalece é a de que o sistema Terra-Lua se formou em resultado de um gigantesco impacto, durante qual um corpo do tamanho de Marte, denominado Theia, colidiu com a recém-formada protoTerra, projetando material para a sua órbita que se aglutinou até formar a Lua. Dezoito meses antes de uma conferência sobre a possível origem da Lua em outubro de 1984, Bill Hartmann, Roger Phillips e Jeff Taylor desafiaram os colegas cientistas ao dizer: “Vocês têm 18 meses. Voltem para os dados da Apollo, voltem para os computadores, façam o que tiverem que fazer, mas decidam-se. Não venham para a conferência a menos que tenham algo a dizer sobre o nascimento da Lua”. Na conferência de 1984 em Kona, no Havaí, a hipótese do grande impacto emergiu como a mais popular. “Antes da conferência havia partidários das três teorias ‘tradicionais’, além de algumas pessoas que estavam começando a considerar o impacto gigante como uma possibilidade séria e havia um enorme grupo apático que achava que o debate jamais seria resolvido. Posteriormente, havia essencialmente apenas dois grupos: os defensores do grande impacto e os agnósticos”.
Pensa-se que os impactos gigantes tenham sido comuns nos primórdios do Sistema Solar. As simulações em computador do modelo do grande impacto são consistentes com as medições do momento angular do sistema Terra-Lua e com o pequeno tamanho do núcleo lunar. Estas simulações mostram também que a maior parte da Lua tem origem no corpo que embateu, e não na proto-Terra. No entanto, há testes mais recentes que sugerem que a maior parte da Lua se formou a partir da Terra, e não do impacto.
Os meteoritos mostram que os outros corpos do Sistema Solar interior, como Marte e Vesta, têm composições isotópicas de oxigênio e tungstênio muito diferentes das encontradas na Terra, enquanto a Terra e a Lua têm composições isotópicas praticamente idênticas. A mistura de material vaporizado entre a Terra e a Lua em formação após o impacto poderia ter equilibrado as suas composições isotópicas, embora isto ainda seja debatido.
(Disponível em https://pt.wikipedia.org/wiki/Lua. Acesso em 29 out. 2016.)
Provas
Texto para a questão a seguir.
Formação
Têm sido propostos vários mecanismos para explicar a formação da Lua, a qual ocorreu há 4,527 bilhões de anos e entre 30 e 50 milhões de anos após a origem do Sistema Solar. Uma pesquisa recente propõe uma idade ligeiramente mais jovem, entre 4,4 e 4,45 bilhões de anos. Entre os mecanismos propostos estão a fissão da Lua a partir da crosta terrestre através de força centrífuga (o que exigiria uma imensa força de rotação da Terra), a captura gravitacional de uma lua pré-formada (o que exigiria uma improvável atmosfera alargada da Terra capaz de dissipar a energia da passagem da Lua) e a formação simultânea da Terra e da Lua no disco de acreção primordial (que não explica o esgotamento de ferro metálico na Lua). Estas hipóteses também não conseguem explicar o elevado momento angular do sistema Terra-Lua.
A hipótese que hoje em dia prevalece é a de que o sistema Terra-Lua se formou em resultado de um gigantesco impacto, durante qual um corpo do tamanho de Marte, denominado Theia, colidiu com a recém-formada protoTerra, projetando material para a sua órbita que se aglutinou até formar a Lua. Dezoito meses antes de uma conferência sobre a possível origem da Lua em outubro de 1984, Bill Hartmann, Roger Phillips e Jeff Taylor desafiaram os colegas cientistas ao dizer: “Vocês têm 18 meses. Voltem para os dados da Apollo, voltem para os computadores, façam o que tiverem que fazer, mas decidam-se. Não venham para a conferência a menos que tenham algo a dizer sobre o nascimento da Lua”. Na conferência de 1984 em Kona, no Havaí, a hipótese do grande impacto emergiu como a mais popular. “Antes da conferência havia partidários das três teorias ‘tradicionais’, além de algumas pessoas que estavam começando a considerar o impacto gigante como uma possibilidade séria e havia um enorme grupo apático que achava que o debate jamais seria resolvido. Posteriormente, havia essencialmente apenas dois grupos: os defensores do grande impacto e os agnósticos”.
Pensa-se que os impactos gigantes tenham sido comuns nos primórdios do Sistema Solar. As simulações em computador do modelo do grande impacto são consistentes com as medições do momento angular do sistema Terra-Lua e com o pequeno tamanho do núcleo lunar. Estas simulações mostram também que a maior parte da Lua tem origem no corpo que embateu, e não na proto-Terra. No entanto, há testes mais recentes que sugerem que a maior parte da Lua se formou a partir da Terra, e não do impacto.
Os meteoritos mostram que os outros corpos do Sistema Solar interior, como Marte e Vesta, têm composições isotópicas de oxigênio e tungstênio muito diferentes das encontradas na Terra, enquanto a Terra e a Lua têm composições isotópicas praticamente idênticas. A mistura de material vaporizado entre a Terra e a Lua em formação após o impacto poderia ter equilibrado as suas composições isotópicas, embora isto ainda seja debatido.
(Disponível em https://pt.wikipedia.org/wiki/Lua. Acesso em 29 out. 2016.)
Provas
Texto para a questão a seguir.
Formação
Têm sido propostos vários mecanismos para explicar a formação da Lua, a qual ocorreu há 4,527 bilhões de anos e entre 30 e 50 milhões de anos após a origem do Sistema Solar. Uma pesquisa recente propõe uma idade ligeiramente mais jovem, entre 4,4 e 4,45 bilhões de anos. Entre os mecanismos propostos estão a fissão da Lua a partir da crosta terrestre através de força centrífuga (o que exigiria uma imensa força de rotação da Terra), a captura gravitacional de uma lua pré-formada (o que exigiria uma improvável atmosfera alargada da Terra capaz de dissipar a energia da passagem da Lua) e a formação simultânea da Terra e da Lua no disco de acreção primordial (que não explica o esgotamento de ferro metálico na Lua). Estas hipóteses também não conseguem explicar o elevado momento angular do sistema Terra-Lua.
A hipótese que hoje em dia prevalece é a de que o sistema Terra-Lua se formou em resultado de um gigantesco impacto, durante qual um corpo do tamanho de Marte, denominado Theia, colidiu com a recém-formada protoTerra, projetando material para a sua órbita que se aglutinou até formar a Lua. Dezoito meses antes de uma conferência sobre a possível origem da Lua em outubro de 1984, Bill Hartmann, Roger Phillips e Jeff Taylor desafiaram os colegas cientistas ao dizer: “Vocês têm 18 meses. Voltem para os dados da Apollo, voltem para os computadores, façam o que tiverem que fazer, mas decidam-se. Não venham para a conferência a menos que tenham algo a dizer sobre o nascimento da Lua”. Na conferência de 1984 em Kona, no Havaí, a hipótese do grande impacto emergiu como a mais popular. “Antes da conferência havia partidários das três teorias ‘tradicionais’, além de algumas pessoas que estavam começando a considerar o impacto gigante como uma possibilidade séria e havia um enorme grupo apático que achava que o debate jamais seria resolvido. Posteriormente, havia essencialmente apenas dois grupos: os defensores do grande impacto e os agnósticos”.
Pensa-se que os impactos gigantes tenham sido comuns nos primórdios do Sistema Solar. As simulações em computador do modelo do grande impacto são consistentes com as medições do momento angular do sistema Terra-Lua e com o pequeno tamanho do núcleo lunar. Estas simulações mostram também que a maior parte da Lua tem origem no corpo que embateu, e não na proto-Terra. No entanto, há testes mais recentes que sugerem que a maior parte da Lua se formou a partir da Terra, e não do impacto.
Os meteoritos mostram que os outros corpos do Sistema Solar interior, como Marte e Vesta, têm composições isotópicas de oxigênio e tungstênio muito diferentes das encontradas na Terra, enquanto a Terra e a Lua têm composições isotópicas praticamente idênticas. A mistura de material vaporizado entre a Terra e a Lua em formação após o impacto poderia ter equilibrado as suas composições isotópicas, embora isto ainda seja debatido.
(Disponível em https://pt.wikipedia.org/wiki/Lua. Acesso em 29 out. 2016.)
Provas
Texto para a questão a seguir.
Formação
Têm sido propostos vários mecanismos para explicar a formação da Lua, a qual ocorreu há 4,527 bilhões de anos e entre 30 e 50 milhões de anos após a origem do Sistema Solar. Uma pesquisa recente propõe uma idade ligeiramente mais jovem, entre 4,4 e 4,45 bilhões de anos. Entre os mecanismos propostos estão a fissão da Lua a partir da crosta terrestre através de força centrífuga (o que exigiria uma imensa força de rotação da Terra), a captura gravitacional de uma lua pré-formada (o que exigiria uma improvável atmosfera alargada da Terra capaz de dissipar a energia da passagem da Lua) e a formação simultânea da Terra e da Lua no disco de acreção primordial (que não explica o esgotamento de ferro metálico na Lua). Estas hipóteses também não conseguem explicar o elevado momento angular do sistema Terra-Lua.
A hipótese que hoje em dia prevalece é a de que o sistema Terra-Lua se formou em resultado de um gigantesco impacto, durante qual um corpo do tamanho de Marte, denominado Theia, colidiu com a recém-formada protoTerra, projetando material para a sua órbita que se aglutinou até formar a Lua. Dezoito meses antes de uma conferência sobre a possível origem da Lua em outubro de 1984, Bill Hartmann, Roger Phillips e Jeff Taylor desafiaram os colegas cientistas ao dizer: “Vocês têm 18 meses. Voltem para os dados da Apollo, voltem para os computadores, façam o que tiverem que fazer, mas decidam-se. Não venham para a conferência a menos que tenham algo a dizer sobre o nascimento da Lua”. Na conferência de 1984 em Kona, no Havaí, a hipótese do grande impacto emergiu como a mais popular. “Antes da conferência havia partidários das três teorias ‘tradicionais’, além de algumas pessoas que estavam começando a considerar o impacto gigante como uma possibilidade séria e havia um enorme grupo apático que achava que o debate jamais seria resolvido. Posteriormente, havia essencialmente apenas dois grupos: os defensores do grande impacto e os agnósticos”.
Pensa-se que os impactos gigantes tenham sido comuns nos primórdios do Sistema Solar. As simulações em computador do modelo do grande impacto são consistentes com as medições do momento angular do sistema Terra-Lua e com o pequeno tamanho do núcleo lunar. Estas simulações mostram também que a maior parte da Lua tem origem no corpo que embateu, e não na proto-Terra. No entanto, há testes mais recentes que sugerem que a maior parte da Lua se formou a partir da Terra, e não do impacto.
Os meteoritos mostram que os outros corpos do Sistema Solar interior, como Marte e Vesta, têm composições isotópicas de oxigênio e tungstênio muito diferentes das encontradas na Terra, enquanto a Terra e a Lua têm composições isotópicas praticamente idênticas. A mistura de material vaporizado entre a Terra e a Lua em formação após o impacto poderia ter equilibrado as suas composições isotópicas, embora isto ainda seja debatido.
(Disponível em https://pt.wikipedia.org/wiki/Lua. Acesso em 29 out. 2016.)
Provas
Caderno Container