Foram encontradas 50 questões.
Provas
Provas
Provas
Provas
Provas
Na sequência matemática a seguir, os dois próximos números são
65 536 ; 16 384 ; 4 096 ; 1 024 ; _________ ; ________
Provas
Considere um trem levando 500 passageiros, partindo da estação inicial completamente lotado e as seguintes situações:
- na primeira estação, desembarcam 35% dos passageiros;
- na segunda estação, desembarcam 20% dos passageiros restantes;
- na terceira estação, embarcam 15% a mais do que o número de passageiros restantes.
A quantidade de passageiros que chega à quarta estação é representada por um número
Provas
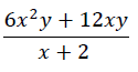
Simplificando a expressão, obtém-se:

Provas
O valor de x para que o retângulo ABCD seja semelhante ao retângulo BCEF é:

Provas
Provas
Caderno Container