Magna Concursos

Foram encontradas 445 questões.

Quanto à realização de tratamento, procedimento, hospitalização e pesquisa científica relacionados à pessoa com deficiência, a Lei n° 13.146/2015 estabelece que
 

Provas

Questão presente nas seguintes provas
Fulana, pessoa com deficiência, foi atendida em hospital particular com vários hematomas em seu corpo, levando o agente de saúde a suspeitar que ela teria sido vítima de violência. Nessa situação, a Lei n° 13.146/2015 estabelece que
 

Provas

Questão presente nas seguintes provas
821698 Ano: 2016
Disciplina: Engenharia Química
Banca: VUNESP
Orgão: MPE-SP
Provas:
A velocidade de degradação da substância A obedece a uma expressão de primeira ordem, sendo:
CA a concentração da substância A a qualquer tempo t; CA0 a concentração da substância A no tempo inicial t0; K a constante de velocidade.
É possível calcular a concentração de A, após um determinado tempo de reação, por meio da equação:
 

Provas

Questão presente nas seguintes provas
821697 Ano: 2016
Disciplina: Engenharia Química
Banca: VUNESP
Orgão: MPE-SP
Provas:
As atuais concepções de layout das unidades (reatores) de tratamento de esgotos sanitários, no nível secundário, conjugam tratamentos biológicos anaeróbios e aeróbios associados, visando à redução do custo energético e da disposição final de lodo biológico, bem como a melhoria no processo de tratamento na Estação de Tratamento de Esgotos (ETE). No layout da ETE a seguir, identifique as respectivas unidades conforme as atuais concepções desenvolvidas para tratamento de esgoto sanitário e assinale a alternativa correta.
enunciado 821697-1
 

Provas

Questão presente nas seguintes provas
821696 Ano: 2016
Disciplina: Engenharia Química
Banca: VUNESP
Orgão: MPE-SP
Provas:
Assinale a alternativa que se relaciona corretamente ao sentido do escoamento de água em uma tubulação circular, tendo acoplado a ela um manômetro tipo “tubo em U”. Para isso, considere a figura e os seguintes valores na resolução: densidade da água = 1000 kg/m3 ; h = 25 cm; densidade do fluido manométrico: ρF = 13600 kg/m3 ; aceleração gravitacional = 9,8 m/s2
enunciado 821696-1
 

Provas

Questão presente nas seguintes provas
821695 Ano: 2016
Disciplina: Engenharia Química
Banca: VUNESP
Orgão: MPE-SP
Provas:
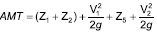
Considere o esquema de sistema de bombeamento da figura a seguir.
enunciado 821695-1
O diâmetro do sistema antes da bomba é D1 , com velocidade de escoamento V1 e, após a bomba, é D2 , com velocidade de escoamento V2 . A pressão do fluido no plano horizontal de referência, PHR, no interior do tubo é P1 e, na saída do sistema, é a pressão atmosférica local, Patm. Considere desprezível a variação da pressão atmosférica para a diferença de altitude comtemplada nesse esquema. O fluido é a água, a temperatura de todo o sistema é T e seu peso específico é γ. Os comprimentos de cada trecho são indicados por Zi , ou seja, o comprimento do trecho 1 é Z1 , do trecho 2 é Z2 , e assim sucessivamente. A altura manométrica total, AMT, aplicada ao sistema para o cálculo de bombeamento, desprezando-se as perdas de carga, é dada pela expressão:

 

Provas

Questão presente nas seguintes provas
821694 Ano: 2016
Disciplina: Engenharia Química
Banca: VUNESP
Orgão: MPE-SP
Provas:
A expressão de grau de cobertura de um catalisador foi dada como: enunciado 821694-1 sendo:
KA – Constante. PA – Pressão parcial do componente A. θC – Grau de cobertura.
Portando, a expressão da derivada enunciado 821694-2 é dada por:
 

Provas

Questão presente nas seguintes provas
821693 Ano: 2016
Disciplina: Engenharia Química
Banca: VUNESP
Orgão: MPE-SP
Provas:
O fluxograma a seguir representa um processo de tratamento de esgoto sanitário. Durante esse processo, o esgoto bruto passa por três etapas de transformação, que têm a finalidade de diminuir seu potencial poluidor até valores adequados para ser lançado no corpo d’água.
Fluxograma de uma estação de tratamento de esgoto
enunciado 821693-1
Com relação ao processo esquematizado na figura, assinale a alternativa correta.
 

Provas

Questão presente nas seguintes provas
821692 Ano: 2016
Disciplina: Engenharia Química
Banca: VUNESP
Orgão: MPE-SP
Provas:

A destilação é uma operação unitária que tem por objetivo separar os constituintes de uma mistura líquida por meio da diferença de volatilidade. No desenvolvimento de projetos de colunas de destilação para a separação de compostos binários (A e B), a figura a seguir é bastante prática e amplamente utilizada.

Diagrama isobárico da temperatura em função da fração molar do componente

Aenunciado 821692-1

Com relação à figura apresentada, é correto afirmar que

 

Provas

Questão presente nas seguintes provas
821690 Ano: 2016
Disciplina: Engenharia Química
Banca: VUNESP
Orgão: MPE-SP
Provas:
Uma das maneiras de enunciar a 1ª Lei da Termodinâmica é: “a variação da energia do sistema tem que ser igual à energia transferida através das suas fronteiras com as vizinhanças”. Assim, para um sistema fechado sem reação química, ela pode ser expressa pela equação:
∆U + ∆Ek + ∆Ep = Q + W
Sendo: ∆U: variação da energia interna (propriedade termodinâmica da substância); ∆Ek e ∆Ep : variações das energias cinética e potencial, respectivamente; Q: calor; W: trabalho que acompanha a variação no volume do sistema.
Aplicando-se a 1ª Lei da Termodinâmica e conhecendo-se as propriedades termodinâmicas da água (Tabela a seguir), pode-se estimar a quantidade de trabalho realizado e o calor necessário para uma massa de 1,0 kg de água líquida a 100 ºC, contida em um cilindro por um êmbolo a uma pressão de 0,7 MPa, que é aquecida lentamente até ocupar todo o volume do cilindro. Neste momento, o sistema é uma mistura de líquido mais vapor. Transfere-se, então, mais calor ao sistema, até a água tornar-se vapor saturado a 180 ºC.
Propriedades Termodinâmicas da Água Saturada
enunciado 821690-1
Assinale a alternativa que representa, correta e respectivamente, o valor do trabalho realizado e o calor recebido pelo sistema.
 

Provas

Questão presente nas seguintes provas