Foram encontradas 80 questões.
A probabilidade de sortearmos uma bola branca de uma que contém 5 bolas azuis numeradas de 1 a 5; 6 bolas brancas numeradas de 1 a 6 e 9 bolas pretas numeradas de 1 a 9, sabendo que ela é Impar é de:
Provas
Utilizando o método dos mínimos quadrados para ajustar a reta de regressão linear em relação as variáveis X e V, supondo que o coeficiente angular da reta é igual a 0,08, a média da variável V é igual a 50 e a média da variável X é igual a 120, encontramos:
Provas
A distribuição de frequência, conforme tabela abaixo, representa os valores de imposto pagos pelos funcionários de uma empresa, em certo mês
| Imposto pago (em reais) | Número de empregados |
| [800; 1 200[ | 25 |
| [1 200; 1 600[ | 16 |
| [1 600; 2 000[ | 6 |
| [2 000; 2 400[ | 3 |
o valor médio do imposto pago pelos funcionários , nesse mês, foi de:
Provas
Provas
O histograma abaixo representa o percentual de recursos alocados em aplicações de risco por clientes de certo investidor.

Observe os itens
I. Número total de clientes selecionados.
II. Porcentagem de clientes que alocaram um percentual de recursos inferior a 8 em aplicações de risco.
A alternativa correta com relação aos itens I e II abaixo é:
Provas
Provas

Provas
Os valores da hora de trabalho, em reais, de oito funcionários de uma empresa estão descritos no quadro abaixo:
| Funcionário | A | B | C | D | E | F | G | H |
| Valor hora | 25 | 35 | 45 | 55 | 60 | 70 | 80 | 90 |
O valor da hora média, o valor da hora modal e o valor da hora mediana, em reais, são respectivamente:
Provas
Provas
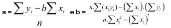
A equação de regressão linear simples pelo método dos mínimos quadrados é determinada pelas seguintes fórmulas: 
O tempo de espera de ligações em função do atendimento em um Call Center é dado pela equação de regressão linear. !$ \hat {y} = 8 + 0,25x !$ Nessas condições, o tempo de espera de ligações em função de 15 atendimentos no Call Center e soma de atendimentos igual a 80 é igual a:
Provas
Caderno Container