Foram encontradas 470 questões.
3035100
Ano: 2023
Disciplina: Atualidades e Conhecimentos Gerais
Banca: Verbena
Orgão: MPE-AC
Disciplina: Atualidades e Conhecimentos Gerais
Banca: Verbena
Orgão: MPE-AC
Provas:
Em menos de 20 anos ocorreram seis secas na Amazônia,
sendo elas em 2005, 2010, 2015, 2016, 2022 e em 2023. Os
três principais fatores provocadores dessa mudança climática
são:
Provas
Questão presente nas seguintes provas
3035099
Ano: 2023
Disciplina: Atualidades e Conhecimentos Gerais
Banca: Verbena
Orgão: MPE-AC
Disciplina: Atualidades e Conhecimentos Gerais
Banca: Verbena
Orgão: MPE-AC
Provas:
Leia o texto a seguir.
A fama da riqueza de héveas no Purus começava a atrair os pioneiros não mais com o espírito de aventura ou curiosidade, que caracterizou o desbravamento inicial, porém com o objetivo econômico definido. Já agora a colonização se fazia dentro do preceito sociológico que exprime o estado d’alma do legítimo imigrante: “o espírito de aventura, quando tem como sustentáculo uma fusão de sentimentos teológicos, econômicos e políticos, encaminha a ação humana a realizações extraordinárias.
TOCANTINS, Leandro. Formação Histórica do Acre. Governo do Estado do Acre. Editora Civilização Brasileira. Rio de Janeiro, 1979
O texto se refere a um aspecto da formação do Estado do Acre, no qual se destaca
A fama da riqueza de héveas no Purus começava a atrair os pioneiros não mais com o espírito de aventura ou curiosidade, que caracterizou o desbravamento inicial, porém com o objetivo econômico definido. Já agora a colonização se fazia dentro do preceito sociológico que exprime o estado d’alma do legítimo imigrante: “o espírito de aventura, quando tem como sustentáculo uma fusão de sentimentos teológicos, econômicos e políticos, encaminha a ação humana a realizações extraordinárias.
TOCANTINS, Leandro. Formação Histórica do Acre. Governo do Estado do Acre. Editora Civilização Brasileira. Rio de Janeiro, 1979
O texto se refere a um aspecto da formação do Estado do Acre, no qual se destaca
Provas
Questão presente nas seguintes provas
3035098
Ano: 2023
Disciplina: Atualidades e Conhecimentos Gerais
Banca: Verbena
Orgão: MPE-AC
Disciplina: Atualidades e Conhecimentos Gerais
Banca: Verbena
Orgão: MPE-AC
Provas:
Leia o texto a seguir.
I Zoonose presente em todos os Estados brasileiros;
II Transmitida pela picada de diferentes tipos de flebotomídeos infectados;
III Comum em ambiente de mata e circula em moradias das bordas da floresta;
IV Favorecida em áreas de floresta tropical úmida.
O texto acima aborda as características de uma epidemia comum no Estado do Acre. A epidemia relatada se trata
I Zoonose presente em todos os Estados brasileiros;
II Transmitida pela picada de diferentes tipos de flebotomídeos infectados;
III Comum em ambiente de mata e circula em moradias das bordas da floresta;
IV Favorecida em áreas de floresta tropical úmida.
O texto acima aborda as características de uma epidemia comum no Estado do Acre. A epidemia relatada se trata
Provas
Questão presente nas seguintes provas
3035097
Ano: 2023
Disciplina: Atualidades e Conhecimentos Gerais
Banca: Verbena
Orgão: MPE-AC
Disciplina: Atualidades e Conhecimentos Gerais
Banca: Verbena
Orgão: MPE-AC
Provas:
Leia o texto a seguir.
Vi ontem um bicho
Na imundície do pátio
Catando comida entre os detritos.
Quando achava alguma coisa,
Não examinava nem cheirava:
Engolia com voracidade.
O bicho não era um cão,
Não era um gato,
Não era um rato.
O bicho, meu Deus, era um homem.
BANDEIRA, Manuel. Belo belo. São Paulo: Editora Global, 1948.
O poema acima retrata um problema social importante que aflige milhares de pessoas no mundo. Trata-se
Vi ontem um bicho
Na imundície do pátio
Catando comida entre os detritos.
Quando achava alguma coisa,
Não examinava nem cheirava:
Engolia com voracidade.
O bicho não era um cão,
Não era um gato,
Não era um rato.
O bicho, meu Deus, era um homem.
BANDEIRA, Manuel. Belo belo. São Paulo: Editora Global, 1948.
O poema acima retrata um problema social importante que aflige milhares de pessoas no mundo. Trata-se
Provas
Questão presente nas seguintes provas
Um triângulo retângulo tem catetos medindo 1 e 2 cm. Um
outro triângulo retângulo deverá ser construído levando-se
em conta as regras a seguir.
1) A área desse segundo triângulo deve ser igual à área do primeiro.
2) O segundo triângulo deve ser isósceles.
Quanto vale a hipotenusa do segundo triângulo?
1) A área desse segundo triângulo deve ser igual à área do primeiro.
2) O segundo triângulo deve ser isósceles.
Quanto vale a hipotenusa do segundo triângulo?
Provas
Questão presente nas seguintes provas
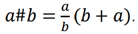
Dados dois números reais diferentes de zero, a e b, a
operação “#” é definida como
Qual é o
valor de
?
Provas
Questão presente nas seguintes provas
Dois alunos, A e B, fizeram uma aposta relativa à nota final
em uma determinada matéria na escola. Vencerá a aposta
aquele que obtiver a maior nota final. O aluno A obteve notas
iguais a 5,0; 7,0 e 5,0 nas três primeiras provas, e fará a
quarta prova posteriormente, pois estava doente. O aluno B
obteve as seguintes notas nas quatro provas: 6,0; 6,0; 7,0 e
7,0. A nota final nessa matéria é obtida por meio da média
aritmética das notas obtidas nas quatro provas. Quanto o
aluno A deverá tirar, no mínimo, na quarta prova, de forma
a vencer a aposta?
Provas
Questão presente nas seguintes provas
Um aquário em formato de paralelepípedo reto-retângulo
tem comprimento igual a 200cm, largura igual a 50cm e
altura igual a 60cm. Para encher esse aquário totalmente,
será usada uma torneira cuja vazão é de 20 litros por minuto.
Sabendo-se que 1m3
= 1.000L, qual é o tempo necessário,
em minutos, para enchê-lo totalmente?
Provas
Questão presente nas seguintes provas
O dia 01 de janeiro de um determinado ano foi uma
segunda-feira. Nesse dia, uma pessoa correu 1.000m. No
dia seguinte, correu 1.500m e, na quarta-feira, correu
2.000m. Mantendo este padrão, quantos quilômetros essa
pessoa correu em 17 de fevereiro desse mesmo ano?
Provas
Questão presente nas seguintes provas
Considerando-se os aspectos verbal, nominal e pronominal
com pronomes de tratamento, é correta a concordância em:
“Vossa Senhoria
Provas
Questão presente nas seguintes provas
Cadernos
Caderno Container